研报&论文

风险平价组合与其他资产配置方法的比较探索

由small_q创建,最终由small_q 被浏览 33 用户

文献摘要

Shiller P/E与宏观经济环境

由于在较长的时间跨度中存在均值回归情况,Shiller P/E(也称为Cyclically-Adjusted PE(周期调整市盈率),CAPE)在全世界都能够强有力地预测市场长期回报。但同时,Shiller P/E对短期回报的预测也是出名的差,这是由于宏观经济环境的不同会导致Shiller P/E比率会有较大变化。Leibowitz & Bova (2007)发现,在适度的实际利率环境下,市场估值一般会较高;而在非常低或者非常高的实际利率环境中,P/E一般会有所降低。本文在这个发现上进行了拓展:如果假设P/E会向特定宏观环境下的P/E均值而不是长期P/E均值回归,那么P/E就能够强有力的预测短期回报。

风险平价组合与其他资产配置方法的比较探索

这篇论文深入分析了风险平价模型在实战中的有效性,发现风险平价模型在风险均衡、不同历史周期表现都具有极强的稳健性;但该模型对资产类别的选择相对敏感,如果资产本身sharp不高,很可能对风险平价模型最后的回测效果造成比其他模型更大的冲击。很大程度上,过去20年风险平价策略在美国市场的优异表现与债券资产长期牛市密切相关。

Shiller P/E与宏观经济环境

文献来源: Arnott R D, Chaves D B, Chow T. King of the Mountain: Shiller P/E and Macroeconomic Conditions[J]. Social Science Electronic Publishing, 2015, 44(1):55-68.

推荐原因:由于在较长的时间跨度中存在均值回归情况,Shiller P/E(也称为Cyclically-AdjustedPE(周期调整市盈率),CAPE)在全世界都能够强有力地预测市场长期回报。但同时,Shiller P/E对短期回报的预测也是出名的差,这是由于宏观经济环境的不同会导致Shiller P/E比率会有较大变化。Leibowitz & Bova(2007)发现,在适度的实际利率环境下,市场估值一般会较高;而在非常低或者非常高的实际利率环境中,P/E一般会有所降低。本文在这个发现上进行了拓展:如果假设P/E会向特定宏观环境下的P/E均值而不是长期P/E均值回归,那么P/E就能够强有力的预测短期回报。

\

简介

由于在较长的时间跨度中存在均值回归情况,Shiller P/E(也称为Cyclically-AdjustedPE(周期调整市盈率),CAPE)在全世界都能够强有力地预测市场长期回报。但同时,Shiller P/E对短期回报的预测也是出名的差,这是由于宏观经济环境的不同会导致Shiller P/E比率会有较大变化。

Leibowitz & Bova(2007)发现,在适度的实际利率环境下,市场估值一般会较高;而在非常低或者非常高的实际利率环境中,P/E一般会有所降低。本文在这个发现上进行了拓展:如果假设P/E会向特定宏观环境下的P/E均值而不是长期P/E均值回归,那么P/E就能够强有力的预测短期回报。

\

Shiller P/E 与宏观经济环境

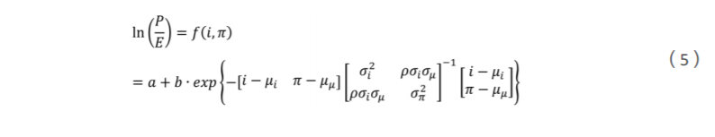
Shiller P/E (CAPE),是由Robert Shiller & John Campbell构建的。CAPE将许多市场指数(比如S&P 500)的当前价格除以过去十年的平均利润(其中利润是经过通胀调整的)来得到。这样短期的高利润就不会使投资者产生一个低P/E比率的幻觉,一段时间较低的利润也不会过分抬高P/E比率。在全世界范围内,CAPE都是一个预测长期市场回报的有力指标。毕竟,只要市场在长期确实有回归历史CAPE均值的情况,上述结果的出现应该是不让人意外的。

在Leibowitz & Bova (2007)工作的基础上,文章发现平均CAPE比率(下面简称P/E)与通货膨胀率和实际利率水平都有关系。适度水平的通货膨胀率和实际利率对应着最高的平均估值倍数,而异常高或异常低的实际利率(或者通货膨胀率)对应着相对低的多的估值倍数,两者结合,产生了一个估值高峰。

\

估值水平在哪种宏观经济环境下更高?

许多投资者、评论家以及政策制定者似乎认为非常低的通货膨胀率和利率水平为股价上升提供了最好的条件。这个逻辑很简单,考虑下面这个教科书上的估值公式,Pt是投资组合或者个股的价格,Dt是未来分红的折现后加总的价值:

{w:100} {w:100}但这种简单的逻辑并没有得到数据的验证,在混乱的真实世界中,市场参与者们似乎更喜欢用“金发姑娘”原则来衡量股票的价值:较高的估值需要恰到好处的通货膨胀率和实际利率水平来支撑。当这两个指标偏离了这个最佳区间,不论向哪个方向,估值都倾向于下降。

{w:100}回归结果显示:由于二次项的存在,非常低的通货膨胀率对应着利润的快速下降,而这在之前的(1)式中会使股票的价格降低而不是上升。在现实中,通货膨胀非常低甚至为负数的时间里,市场参与者应该会更加担心经济状况并降低他们对于实际盈利增长的预期。而(3)式结果中的负的二次项系数使利润增长((1)式中的分子)和通货膨胀呈现倒U型的关系,继而导致股价与通货膨胀也呈现类似的关系。

{w:100}回归结果显示:由于二次项的系数为正且较大,过低或者过高的实际利率都会导致价格上较高的不确定性,所以市场参与者提高风险溢价是非常有道理的,并且同样,实际利率与股票价格也会形成一个类似U型的关系。

在发现上述关系后,本文提出利用高斯函数来拟合三者的关系。这种方法,相对于传统的直方图,能够消除很多噪音,使得准确率能够更高。

\

提供P/E的短期预测水平

数据来源

所有数据均来源于Global Financial Data,且均以美元作为单位,下图显示了各个国家数据的总结。其中美国的数据开始于1880年,国际上其他国家的数据开始于1972年,其中1972年的数据可获取的至少有加拿大、日本和英国,其他国家的数据开始年份靠后一些。

衡量名义利率水平时,使用的是各国十年期国债收益率;衡量通货膨胀率水平的指标是一年期的CPI;但计算实际利率的时候减去的是最近3年的通货膨胀率水平。由于不希望估值倍数被短期利润波动所影响,所以采用Shiller P/E,这个指标的计算方法是当前价格除以10年实际收益的移动平均。

{w:100}

来自美国市场的证据

美国通货膨胀率、利率和估值之间的关系

Leibowitz & Bova(2007)利用1978至2004年的数据,发现P/E当实际利率在2-3%左右会达到高峰。本文利用时间更长的样本(134年)发现了类似的结果(见下图)。下图的结果显示,当实际利率在3-4%时,美国市场的估值水平会在最高点,而在这个区间外,无论实际利率变大还是变小,P/E的中位数都降低的很快。

每个条形图上方的图显示了P/E中位数加减一倍标准差后的情形,重叠的数据使用了Newey-West方法进行了调整。不同区间的P/E中位数在统计上是显著不同的:最高点的P/E(19.6)与最右侧的P/E(10.5)的t统计量是4.10,与最左侧的P/E(10.7)的t统计量是3.34。

{w:100}图3显示了P/E中位数与通货膨胀率的关系,这和上图中的关系很像。股票市场的“甜区”对应的通货膨胀率水平在2-3%,此时P/E的中位数为20.3。有趣的是,似乎2-3%右边区间的P/E下降更快一些,这个事实与一些高通货膨胀率环境为股价提供了有效保护的说法截然相反。同样,不同区间的P/E中位数在统计上是显著不同的:各区间P/E中位数的最高值(20.3)与最右边P/E中位数(9.2)的t统计量为5.74,与最左侧P/E的中位数(16.0)的t统计量为1.78。

{w:100}图4是P/E与实际利率和通货膨胀率二者的关系,由于右边的3-D图像在其远端有些信息不好展示,所以同时还在左上角提供了热力图,左下角是历史上对应情况发生的次数。P/E对应在各区间中位数的最高值为22.5,对应的通货膨胀率水平为1-3%、实际收益水平为3-5%,均在比较正常的区间内。

{w:100}

构建拟合模型

在寻找能够有效描述数据的函数中,本文在模型的简易程度与描述数据的能力之间权衡。多项式非常简易,但是却有一个重要的缺点:当实际利率与通货膨胀率水平到了非常极端的值时,P/E也会出现极端值。换句话说,即使能够找到能很好描述样本内的数据的多项式,但一旦新的数据不在样本数据所在的区间,这个多项式很有可能就失效了。因此,本文提出使用二维高斯函数来对In(P/E)拟合:

{w:100}下表显示了样本内的参数估计情况。

{w:100}下图是P/E的等高线图。P/E的最高点对应着2.99%的实际利率以及1.35%的通货膨胀率。

{w:100} {w:100} {w:100}可以发现,三个线性回归的结果都不是很好,调整后R2均远小于使用高斯函数拟合的结果。且Regression2和Regression3的系数均为正数,这意味这当实际利率增加的时候,股票的估值倍数会上升而不是下降,显然,这和之前的结论是背离的。

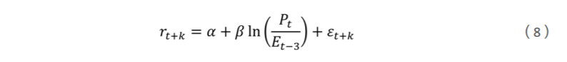
提升 Shiller P/E 预测效果

作为参照,本文用文献中常见方法在1个月到十年的时间跨度里对P/E的自然对数进行回归:

{w:100}由于所有数据都是月频的,本文提供了两组t统计量来修正异方差和残差中的序列相关性,后者是由重叠的利润数据导致的。第一组使用了Newey & West (1987)发明的方法。第二组使用与原先OLS回归相同的系数,但在计算标准差的时候用的没有重合数据的样本。这种方法消除了残差中的序列相关性并且得到了更显著的t统计量,尤其是在较长的时间段内。

图8显示所有的系数均为负数;更低的估值倍数(P/E)对应着被低估的价格,而这意味着之后能得到更高的回报。这个结果与已有文献的结果相符合,t统计量和R2都随着时间长度的增加而增加。比如把时间从一个月拉长到10年,R2从不到1%上升到了超过30%,且t统计量从1.79上升到了2.07。

{w:100}在此基础上,本文提出了一个改进思路:

传统预测P/E收益的方法,比如式(7),把目前的P/E与单一的全历史样本P/E均值作比较。但现在考虑到宏观经济变量对P/E有如此重要的影响,可以把目前的P/E与高斯模型拟合的、在历史上与目前相同的通货膨胀率、实际利率相同时的P/E作比较。比如,当实际利率和通货膨胀率都非常低的时候(图6的左下角),那么P/E = 10应该是比较正常的。如果目前的P/E > 10,那么这意味未来的回报可能会比较低(但如果比对的是传统方法中的全样本均值,那么我们可能会认为未来的回报会很高)。用以下回归来表达这个逻辑(收益滞后3个月以反映实际情况):

{w:100}图九显示了式(9)的回归结果。其中最引人注意的是短期预测能力较图八中的结果有大幅提升:系数几乎是图8中的两倍,且t统计量有提高。

{w:100}但有趣的是,在长期,这些结果逆转了:系数变小且P/E的统计学上的显著性消失了。这种情况并不让人吃惊:当前实际利率和通货膨胀率蕴含P/E在最近应该是什么样的信息。随着时间变化,这两个宏观经济变量也会有所变化,所以用当前的情况去预测长期就会产生非常严重的错误。总之,用本文这种方法,三年以上的情况可能会很不适用,而Shiller P/E的表现则会好很多。

来自全球发达国家市场的证据

图10,与图2惊人的相似,展示了全球发达国家市场的P/E与实际利率与美国市场相同。

{w:100}图11显示的是P/E与通货膨胀率之间的关系。国际发达市场情况与美国市场的情况不太相同,原因是1972年以来国际上发生非常低的通货膨胀率的情况很少,大多数的观测值都在0%以上。

{w:100}由于在1980年后期日本的股市大泡沫中P/E非常高(超过100)且同时伴随非常低的通货膨胀率,所以图12中的中间到左侧的部分可能被高估了。即使使用了In(P/E),也很难避免这个对整体的影响。

{w:100}即使原始数据中没有通货膨胀率和实际利率都很低时的数据,但拟合出来的图13也基本与图6的结果相似,P/E中位数的最高值也落在了一个比较合理的通货膨胀率和实际利率区间中。

{w:100}利用其他发达国家的数据估计的参数也与美国的比较相似。图14中的a相对高一些,但b的值几乎是一样的,P/E的中位数最高处为24。而国际数据中P/E中位数最高处的位置(实际利率与通货膨胀率分别为3.11%和1.24%)也几乎与美国的数据相同(实际利率与通货膨胀率分别为2.99%与1.35%)。

{w:100}高斯模型在国际市场上的拟合效果不如在美国市场上的好,图15显示调整后R2只有29.9%,比美国市场上的50.7%小一些。但并没有必要太为这个担心,因为这里一个模型需要解释超过20个国家的数据,而其中很多国家的会计准则等等都不尽相同,比如加拿大和日本,所以拟合效果差一些是可以理解的。

{w:100}当用线性回归来解释P/E时,能够观测到一些类似的结果,但这里面也有些差异。与美国数据不同,实际利率的系数与预期一样为负数,但是调整后R2小于1,说明拟合效果非常差。但当把通货膨胀率纳入进来的时候情况就不是这样的了,调整后的R2到了23%(单变量)和25%(多变量),两倍于美国样本数据回归的结果。本文认为这些相对高的结果是因为缺少在低通货膨胀率时期的样本观测数据,所以当再次使用无重叠的数据回归时,模型在右侧拟合的效果还不错。

图16和图17是对收益预测的结果,与美国的结果相同,P/E的短期预测能力都有提高。短期情况下的t统计量变为十分显著,且R2几乎翻倍。在预测下个月收益的回归中,效果提升显著:系数从-0.10变为-0.21,R2从0.5变为1.1。但在长期中,P/E的预测能力在两个回归中的差异不大。

{w:100} {w:100}

结论

不管是长期还是短期,估值都很重要。与其他许多人一样,本文一直认为估值是未来实际资产类别回报的重要决定因素,但其与短期回报的较弱的联系一直是其显著缺陷。

Shiller P/E一直是估值界的最爱,因为它能展现出市场长期回报之间的相关性。本文在此基础上引入宏观经济变量,并在此基础上使P/E均值向特定宏观经济条件下的历史均值回归,发现能够显著提高P/E预测短期资本市场回报的效果。

标签

资产配置均值回归风险平价
{link}