研报&论文

“学海拾珠”系列之九十三:如何构建更稳健的风险平价投资组合?

由small_q创建,最终由small_q 被浏览 61 用户

报告摘要

主要观点

本篇是“学海拾珠”系列第九十三篇。本文对传统的风险平价模型进行改进,从而使得组合能免受估计资产风险贡献过程中的噪声所带来的影响。具体而言,本文引入一个围绕着资产协方差矩阵的不确定性结构,其中不确定性定义为协方差估计上的扰动,这使我们能在估计整体组合风险和单一资产的边际风险贡献上更稳健。结果表明,基于稳健性框架的风险平价组合能够在市场困境期间表现出显著优势。更令人惊讶的是,稳健型组合能够在看涨期间同样保持其相对优势。

回到国内市场,风险平价是较为常用的资产配置模型,正如作者所述,参数估计是一个绕不过的坎,借鉴本文提出的稳健性框架或是一个不错的改进思路。

稳健模型比基准模型产生更高的风险调整后的回报率

实证部分测试了稳健型风险平价组合与基准组合以及“最坏情况方差”(Worst Case Model)组合的绩效表现。从测试结果看,与基准组合相比,稳健性的代价是换手率的增加和无法做到完全的风险分散化。但结果表明,稳健的风险平价组合可以带来更高的样本外风险调整回报,这种优势在市场低迷时期尤其明显,同时组合也能保持足够的风险分散化。

用于构建稳健模型的不确定性结构

在构建风险平价问题的投资组合时,唯一需要估计的参数是风险。因此,作者只关注资产协方差矩阵中的不确定性。通过在协方差矩阵的每个元素上放置一组约束,作者以一种简单直接的方式构造不确定性集,将估计误差量化为估计上的扰动。

\

简介

自马科维茨(1952)引入现代投资组合理论以来,最优投资组合构建已经成为学术性框架。均值方差优化(MVO)能产生风险最小化的投资组合,同时追求目标预期回报。然而,在实践中,这些最优的投资组合有着相当大的缺点。首先,最优解决方案往往产生过度集中和违反直觉的投资组合(Chopra和Ziemba,1993年)。第二个问题是关于最优解对由数据不确定性引起的估计误差的敏感性。朴素优化方法假设数据和任何相应的估计参数是确定的。然而,众所周知,在许多实际应用中,数据只能提供某些潜在参数的部分证据。在传统的投资组合优化的情况下,参数是资产预期收益和协方差矩阵,它们分别量化了组合的回报和风险。

不考虑数据不确定性的朴素方法可能导致对预期收益和协方差矩阵的不可靠估计。此外,朴素优化组合方法对输入参数的误差高度敏感。因此,使用不可靠的参数可能导致被称为“误差最大化”的问题(Chopra和Ziemba1993;米肖德1989)。在投资组合优化中对估计误差的敏感性已经在文献中得到了广泛的探讨(Best和Grauer1991;Broadie1993;默顿1980)。特别是Chopra和Ziemba(1993)发现预期收益中的估计误差比MVO中协方差矩阵误差的影响大十倍。在投资组合构建过程中,由参数估计引起的不确定性是一个众所周知的问题,有多种方法来减轻或绕过它。例如,如果我们采用经典的“1/n”资产配置策略(DeMigueletal.2009),我们可以完全避免参数估计,在该策略中,资金在所有资产中平均分配。

另一个用于解决不确定性问题的策略是通过应用稳健优化方法。这些方法通过构建一个与原始问题相对应的稳健性方法来运作,其中参数不确定性被明确量化,并以确定性的方式纳入优化模型。在投资组合优化的背景下,稳健性是通过定义关于噪声输入参数的不确定性集,即从期望收益和协方差矩阵来引入的。这些不确定性集将“真实的”(但潜在的)参数限制在与其估计的给定距离内,使用线性(即“框”)或椭球不确定性集。Guastaroba等人(2011)提供了广泛的分析,在投资组合优化的背景下比较了线性和椭球稳健公式。或者,Goldfarb和Iyengar(2003)提出了一个基于因子模型的估计误差的稳健公式,即,量化回归系数的误差,并使用这一信息来定义关于预期收益和协方差矩阵的不确定性集。更一般的方法包括采用稳健分布的方法,其中的假设是投资者甚至不确定控制资产回报的概率分布(Delage和Ye2010)。一种稳健MVO的实用方法,依赖于重复优化的重采样方法,在Michaud和Michaud(2007)中提出。

与以前的稳健模型不同,一种旨在减少估计误差并构建分散化投资组合的现代做法是引入风险平价投资组合,也被称为同等风险贡献(ERC)投资组合。这些投资组合没有设定预期投资组合收益或风险的目标,而是只根据风险度量分配资源,使每种资产的风险贡献相同(Maillardetal.2010)。因此,根据设计,风险均等投资组合的构建不需要估计预期收益,从而减少了估计噪声的最重要来源。此外,由于每种资产都必须承担相同水平的风险,由此产生的投资组合往往是分散化的。

风险平价投资组合优化所需的唯一输入参数是对风险度量的估计,如估计的协方差矩阵。由此可见,风险测度是该优化模型中唯一的不确定性来源。一种可能的方法来减轻不确定性的影响和模型风险与参数错误说明是使用不同的参数估计方法。例如,可以使用因子模型、协方差压缩或Engle(2002)提出的动态条件相关来估计资产协方差矩阵。nefeli(2018)研究了压缩后作为协方差估计方法对基于风险的投资组合的影响,他发现压缩可以提高协方差的估计。然而,它也表明风险平价投资组合对协方差误描述不是很敏感。这一发现在Ardia等人(2017)中得到了呼应,表明与其他基于风险的投资策略相比,在多个参数估计方法下,风险平价投资组合对资产协方差和资产相关性错误描述都相对稳健。Nakagawa等人(2018)也讨论了风险平价投资组合固有的稳健性,其中使用不同方法估计协方差矩阵构建的风险平价投资组合显示出了类似的表现。换句话说,他们的发现重申了风险平价对于估计协方差矩阵中的错误估计是相当稳健的。然而,这并不意味着风险平价投资组合不能从更准确的协方差矩阵估计中受益。例如,Costa和Kwon(2019)表明,当市场信息通过因子模型转换到估计的协方差矩阵时,风险平价投资组合可以有更好的风险调整后的样本外表现。

不管用什么统计方法来估计资产协方差矩阵,从数据中得到的任何估计都会有一定程度的估计误差。由此可见,估计的不确定性通常可以被统计量化,并且可以在后续的优化步骤中利用这些信息。本文提出的稳健风险平价框架接受估计误差作为二级输入参数。这个强大的框架是专门针对风险平价而设计的。从风险平价的角度来看,作者的目标是均衡资产风险贡献。因此,本文不仅关心整体的投资组合风险,而且还关心对单一风险贡献的度量。本文的贡献是设计一个优化模型,使用风险度量的估计误差来引入关于资产边际风险贡献的稳健性。

本文使用组合方差作为风险度量,这是讨论单个资产风险贡献时使用的典型风险度量。Ji和Lejeune(2018)以及Mausser和Romanko(2018)讨论了涉及风险贡献的替代性风险度量。我们注意到,本文提出的稳健风险平价模型能够适应协方差矩阵的任何一般估计过程,只要这允许我们指定协方差的名义估计及其相应的不确定性集。在估计协方差矩阵并量化其估计误差之后,根据Bertsimas和Sim(2006)中描述的方法开发了一个稳健的优化框架。名义风险平价模型被表述为一个二阶锥规划(SOCP)。因此,正如Bertsimas和Sim(2006)所述,能够制定一个稳健的优化框架,它保留了与原始模型相同的复杂性水平。计算结果表明,相对于初始模型,该稳健模型能够提高投资组合收益和风险调整收益。

02

风险平价投资组合

风险平价投资组合原则是通过分配资金,使每一项资产对整个投资组合风险的贡献相等来确定资产配置。从根本上说,这一概念反映了经典的1/n投资组合,即资金在所有资产中平均分配。因此,风险均等投资组合有时被称为ERC投资组合。

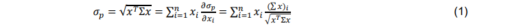
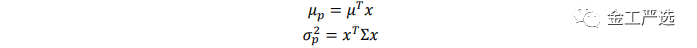
按同等风险贡献分配财富完全取决于所选风险的度量。典型的选择是使用投资组合方差,这与Markowitz(1952)提出的MVO框架一致。对于一个有n个资产的投资组合,其预期收益和方差为:

图片{w:100}{w:100}

μp是投资组合的预期收益率,μ是资产预期收益的向量,x是资产权重的向量(即财富投资于每个资产的比例),σp2是组合方差,∑是资产的协方差矩阵。每项资产的个体风险贡献可以通过组合标准差的欧拉分解得到。如Maillard等人(2010)提出的,每项资产的风险贡献如下。

图片{w:100}{w:100}

(1)中分块部分的标准差的和有一个对所有部分一致的公分母。此外,这个分母等于投资组合标准差,使我们可以将投资组合方差表示为:

图片{w:100}{w:100}

Ri是资产i对整个投资组合的方差的个体风险贡献。使用任何替代的可分解风险指标也是可以接受的。在本文的其余部分,考虑的唯一风险度量是投资组合方差。因此,将Ri和(∑x)i作为资产i的风险贡献和边际风险贡献。

通常会对权重分配变量x施加一组限制。这些限制可能包括对某些行业或资产的分配限制,或投资组合规模的基数限制。因此,考虑一个可接受权重的凸集X。如Maillard所说的,在风险平价投资组合中允许做空可能会影响模型的易处理性,其中对于同一篮子资产可能存在多个最优解决方案。这些多个解决方案都被认为是全局的,因为它们符合风险均等条件。然而,这意味着唯一性是不保证的,除非指定一个次要目标,例如找到具有最低方差或最高回报的风险平价问题。一般来说,允许卖空从根本上改变了风险平价问题,并需要本文范围之外的其他考虑。其他参考文献可在Bai等人(2016)、Haugh等人(2017)以及Costa和Kwon(2020)中找到。

另一方面,只做多的投资组合保证了唯一解的存在。这个凸集如下所示:

图片{w:100}{w:100}

第一个限制确保所有可用财富在资产中分配,而第二个限制强制唯一风险平价投资组合的只做多性质。用符号1表示大小适当的列向量,其中所有元素都等于1。

为了形成风险平价问题的广义版本,可能会施加额外的限制,也被称为风险预算。由于允许用户将风险集中于特定资产或行业的额外好处,这种方法得到了普及。Ji和Lejeune(2018)提出了一个随机风险预算多投资组合优化模型,该模型对各资产的边际风险贡献施加约束,并使用半偏差作为风险度量。

图片{w:100}{w:100}

名义风险平价模型的目标是找到Ri = Rj的投资组合。这个目标可以通过最小化风险贡献的平方的差异来实现。因此,优化模型可写成:

图片{w:100}{w:100}

(3)中的目标函数是一个四次多项式。Bai等人(2016)提出了该问题的一种重新表述,它提供了该问题的等效版本,但在数值上更有效。然而,该公式在目标函数中保持了相同的非线性程度。Bai(2016)提出的NLP可以进一步简化,只添加两个辅助变量、2n个二次约束和一个线性约束,表示为QCLP。虽然这种方法增加了约束的数量,但它允许我们降低目标函数的复杂性。借此机会,本文提出一个新的公式来构建风险均等投资组合:

图片{w:100}{w:100}

θ、ξ是辅助变量。与(3)中的原始问题一样,(4)中的QCLP是非凸的,但在数值上是有效的。Maillard等人(2010)和Bai等人(2016)对这种方法相对于等效凸公式的好处进行了更深入的分析。本文想强调的是,最好的情况是,ξ的价值为零,加强2n二次约束和收益率。

图片{w:100}{w:100}

使用随机生成的数据对这两种模型的性能进行了比较测试。作者生成了100个独立的、对称的正定矩阵,每个矩阵有200行和200列,模拟了每个200项资产的大型投资组合。性能的判断是基于计算运行时间和风险贡献的变异系数(CV)。CV的计算方法是将风险贡献的标准差除以其平均值,即,

图片{w:100}{w:100}

其中是元素式的乘法运算符,SD(·)将计算对应向量的标准差。理论上,最优解的CV应该为零。表1显示了每次试验的平均性能。这是一个非详尽的实验,没有比较其他等价的风险平价公式;它只是为了证明作者选择的名义风险平价模型是正确的。在Mausserand Romanko(2014)中描述了等价风险平价公式之间更详尽的性能比较。

除了数值结果之外,作者强调(4)中提出的公式的好处是降低了问题的复杂性。因此,在后续的实证检验中,本文将考虑(4)中的QCLP作为名义风险平价模型,并将其作为与稳健风险平价公式进行比较的基准。

03

不确定结构

在本节中,作者讨论用于构建风险平价问题的稳健公式的不确定性结构。在构建这些投资组合时,唯一的估计参数是风险的度量。因此,在例子中,作者只关心资产协方差矩阵中的不确定性。通过在协方差矩阵Σij的每个元素上放置一组约束,作者以一种直接的方式构造不确定性集。基于资产回报的因子模型的不确定性集的估计将在第3.1节后面讨论。

让Σ成为真正的资产协方差矩阵(但不确定)。通常要求协方差矩阵为半正定的,即Σ大于等于0。然后定义协方差矩阵上约束的不确定性集为:

图片{w:100}{w:100}

其中Σij和Σij由用户根据其参数估计技术的选择和可用的原始数据定义。协方差矩阵的不确定性边界的例子可以在Delage和Ye(2010)以及Lobo和Boyd(2000)中找到。

对于只做多的最小方差投资组合,通过取协方差不确定性结构的上界,即简单假设协方差矩阵的最坏情况估计,就可以得到一个稳健的公式 (Tütüncü和Koenig 2004)。因此,设置Σij = Σij为寻求最小化方差时提供了稳健性,但在构建风险平价投资组合时,它也选择了不确定性集合中最极端的。风险平价的目的是使每项资产的风险贡献相等,而不是使风险最小化。因此,在整个投资组合风险中屏蔽估计错误在这种情况下不一定有关。

(6)中协方差矩阵的约束集可以表示为对名义估计的扰动,如下所示:

图片{w:100}{w:100}

其中Σ0是从原始数据估计的名义协方差矩阵, δ是均值为0的独立同分布随机变量,并且用于定义Σ0ij每个元素的独立扰动项,ΣΔ是一个可以合适度量名义估计扰动项的常数

在协方差矩阵受固定的上下限约束的情况下,Tütüncü和Koenig(2004)提出一种简单而易于处理的方法来确定扰动项的大小:让它等于名义方差和最坏情况方差的差。

图片{w:100}{w:100}

之后,本文将描述:边界是由一个因子模型中回归系数产生的标准误差推导出来的。

作者寻求构建一个稳健的投资组合,以减少对每项资产的估计风险贡献误差较大的资产的敞口。如(2)所定义,资产i的风险贡献Ri,定义为边际风险贡献与决策变量xi(∑x)i乘积。由于估计误差是协方差矩阵固有的,本文将通过针对边际风险贡献将稳健性引入风险平价模型。这个在第4节解释。本文将展示如何使用资产回报的因子模型估计协方差扰动ΣΔ的大小。

04

因子模型

在(7)中,协方差扰动ΣΔ的大小,可以来自协方差矩阵的任何边界集合。本节为例,演示了如何从因子模型的资产回报中推导。假设资产回报率r可以通过m个解释因子的组合来解释。因此,通过普通最小二乘回归得到:

图片{w:100}{w:100}

该模型假设残差收益是相互独立的,即cov(εi,εj)=0;同时也假定回报的残差收益是独立的因素,即cov(εi,fj)=0。此外,注意到该模型并没有假设因子之间是相互独立的,即因子协方差矩阵F不需要是对角矩阵。然而,在实践中,可能需要F⪰0。

由式(8)中的因子模型可以估计出资产参数为:

图片{w:100}{w:100}

作者按照Goldfarb和Iyengar(2003)的方法进行,并假设估计的因子协方差矩阵F是稳定的,是准确已知的。此外,残差矩阵D的特征值通常比矩阵VFV的特征值小得多。因此,后者被认为是资产协方差矩阵的一个良好的低秩逼近。考虑到这一点,作者专注于开发一个基于因子载荷矩阵V的估计误差的不确定性结构。

本文介绍了因子载荷的标准误差的计算方法。假设(8)中的资产收益和因子收益的原始数据分别为rt和ft。一般线性模型可表达为:

图片{w:100}{w:100}

如果矩阵A列满秩:m + 1,然后β的最小二乘估计:

图片{w:100}{w:100}

对于单个资产i,回归系数估计的误差是:

图片{w:100}{w:100}

图片{w:100}{w:100}

V0是V的最小二乘估计,γ是均值为0的独立同分布随机变量,定义每个元素V0ij的独立扰动项,SE(V0ij)表示资产j对应的因子i的估计因子载荷的标准误差。从参数不确定的因子模型估计最坏情况协方差矩阵是一个困难的过程。由于因子协方差矩阵F的性质,封闭式解是不可能的,其中因子之间的正相关和负相关可能会影响扰动的大小和方向,以便获得最坏情况的方差。作者通过制定一个简单的数学步骤来解决这个问题,以找到在Uv给出的约束下使协方差矩阵中所有元素的和最大化的因子载荷的估计。

图片{w:100}{w:100}

可以使用的名义和最坏情况的估计协方差矩阵恢复相应的扰动ΣΔ。

图片{w:100}{w:100}

在下一节中,将通过这种扰动来制定稳健的风险平价框架。

05

稳健型风险平价组合

在本节中,本文利用(7)中协方差矩阵的不确定性集,构建一个针对风险平价的稳健优化模型。为了做到这一点,首先将风险平价问题作为一个SOCP重新构建。如Mausser和Romanko(2014)所示,名义风险平价问题可以写成如下SOCP:

图片{w:100}{w:100}

图片{w:100}{w:100}

其中平方根只是SOCP重新表述的一个构造。根据设计,目标函数在最优时为零,否则为正。因此,当最小风险贡献等于投资组合的平均风险贡献时,即达到最优。

本文将问题重新表述为一个SOCP的原因是,这大大简化了引入稳健性的复杂性。一般情况下,风险平价优化模型(3)和(4)是非凸的,然而 (11)中的SOCP是凸的。此外,该风险平价SOCP明确定义了约束(11d)中的总体组合风险,并将资产风险贡献划分为约束(11b)中相应的边际分量。前者是单个二阶锥约束,后者是n个线性约束的集合。由于Σ,作者介绍稳健性的目标约束是(11 b)和(11 d)。

约束(11d)涉及到平均投资组合风险的最小化,从根本上等价于总投资组合风险的最小化。因此,本文以类似Tütüncü和Koenig(2004)的方式为只做多的投资组合引入稳健性,并将协方差矩阵的最坏情况作为输入参数,即:

图片{w:100}{w:100}

另一方面,约束(11 b)属于每个资产的边际风险贡献(Σx)i 。鉴于此, 本文通过把约束(11b)放缩到zi小于等于(Σx)i引入稳健性。这个约束的放缩允许作者以类似于Bertsimas和Sim(2006)的方式进行,其中本文将不确定性集引入到这个约束中,作为误差项来惩罚边际风险贡献,

图片{w:100}{w:100}

允许我们将边际风险贡献的误差建模为一个SOCC,

图片{w:100}{w:100}

根据设计,辅助变量y的这个定义对所有n个边际风险贡献约束施加了相同的惩罚项。本文以这种方式施加惩罚,因为边际风险贡献基本上是由资产权重向量x联系在一起的。因此,所有边际风险贡献都应该受到同等的惩罚。在解决相关的约束Σ,作者推出平价风险问题:

图片{w:100}{w:100}

稳健问题将试图减少约束(12c)中的误差项的大小。这不仅会减少我们暴露于在边际风险贡献中有较大估计误差的资产,也产生了一个可调节误差边际风险贡献的的向量z。随后试图平衡风险的贡献是基于z,减少对边际风险贡献较大的资产的敞口,并进一步保护投资组合免受风险较高的资产的影响。此外,约束(12e)确保我们仍然以类似传统稳健投资组合优化模型的方式保护我们避免风险度量的最坏情况。

以这种方式引入稳健性有两个原因:首先,将个体错误引入每个资产的边际风险贡献将无法捕捉复杂的风险贡献,资产i的边际风险贡献不仅依赖于本身,也通过其协方差与资产j有关。因此,将其定义为SOCC可以确保捕获这些依赖项。其次,这个公式允许我们将误差项建模为单个SOCC,从而避免了一组复杂的约束,否则会增加问题的计算复杂性。

正如本文之前讨论的,约束(12c)还引入了惩罚参数Ω,该参数将边际风险贡献的敏感性扩展到误差项。如果Ω的数值越大,则表示越保守。参数Ω可以调整大小以提供结果的概率保证,如Bertsimas和Sim(2006)所示。然而, 本文更愿意进行数据驱动的方法来确定Ω的值:基于名义协方差矩阵Σ0 和其相应的扰动ΣΔ之间的相对大小。

图片{w:100}{w:100}

为了保证可行性,必须做到这一点:

图片{w:100}{w:100}

ω的值可用于确定的根据用户的风险偏好的稳健性。换句话说,ω可以被描述为一个风险规避参数。随后的实证将测试不同值的投资组合

图片{w:100}{w:100}

06

实证性检验

本节介绍两个实证性检验,旨在测试所提出的稳健风险平价SOCP的样本外表现。第一个实验测试多个有n = 25个资产的组合,研究六个有不同程度稳健性的组合,测试参数ω的不同值。第二个实验检验了稳健性对不同规模的投资组合的影响,测试了不同的资产数量n。

两个实验的构建方法相同。名义估计的协方差矩阵及其最大绝对扰动,使用一个因子模型构建,如3.1所示。两组实验均选用Fama French三因子模型(Fama and French 1993)作为基本参数估计模型。本文有意选择Fama French模型来展示一个著名的多因子模型在本文提出的稳健框架下的表现。历史因子收益来自于Kenneth R. French的网站(French 2016)。

在这两个实证检验中,用于构建投资组合的资产都是从经常在美国主要交易所交易的250种不同股票中挑选出来的。表2列出了这些股票的列表,以及来自11个全球行业分类标准(GICS)部门的代表性股票。历史股票价格取自Quandl.com(2017)。实验使用1995年1月1日至2016年12月31日的每周历史数据进行,第一个5年期间用于进行初始因子模型校准和随后的参数估计(即样本外期从2000年1月1日开始),使用Fama-French模型进行参数估计。此后,每6个月重新平衡投资组合,使用前5年的数据重新估计参数。这个时间序列的长度给我们的结果带来了幸存者偏差,因为本文只考虑具有足够历史数据的股票。然而,本文预计这种偏向会对所有投资组合产生类似的影响。因此,主要关注的是这两者之间的相对表现。

两个检验都包含1000次独立试验,每次试验开始时,从250个资产中随机抽取n个资产。这n项资产在整个试验期间保持不变。使用上一段描述的滚动窗口方法,本文估计参数和优化投资组合,使用三个不同的优化模型来构建最优投资组合。下面将介绍三种优化模型:

·名义模型:QCLP,使用名义协方差估计作为唯一的输入参数。

·最坏情况的模型:该模型也是基于QCLP(4),但它考虑最糟糕的投资组合方差的实例。

·稳健的模型:在(12)中提出了稳健的SOCP,将Σ0和ΣΔ作为来源于数据的输入,也需要ω值。作者将测试多个值,每个有自己稳健的投资组合。增加值ω将产生越来越保守的稳健投资组合。

一旦检验完成,本文就会通过随机生成一组新的n个资产来重复这个过程,并使用前面提到的滚动窗口方法创建相应的最优投资组合。这一过程在每1000次试验中重复。

07

对不同程度的稳健性进行检验

本文的第一个实证检验分析了n = 25个资产的投资组合。有八个组合在这个实验中:一个名义上的投资组合,一个最坏情况的投资组合,和六个稳健的组合:ω= 0.5,1.0,1.5,2.0,2.5,3.0。该测试共进行1000次试验。每次测试从表2中列出的资产中随机抽取25个资产开始。然后用这25种资产构建了8个投资组合。用Fama-French模型估计所需参数,用相应的优化模型构建8个投资组合。测试使用滚动窗口进行,在17年的投资周期内,每6个月对参数进行重新估计,并对投资组合进行重新优化。然后,本文对随后的每次试验重复此过程,在每次试验开始时随机抽取一组25个新的资产。本节中的结果显示了1000次试验的平均值和观察到的标准偏差。

投资组合绩效如图3所示。这张图表显示了八个投资组合中三个的绝对净值和相对净值。为清晰起见,这个图中只显示了三个投资组合(其余的投资组合将在后面讨论)。图1中第一幅图显示了名义、“糟糕的”和稳健(ω= 2.0)的投资组合的平均净值演变。平均净值是通过在每个投资组合对应的离散时间点取1000次测试的平均值来计算的。误差条显示1000次试验分布对应的标准差。底部的图显示了相对于名义资产而言最坏情况和稳健投资组合的净值。

结果表明, 本文的稳健投资组合(ω= 2.0)表现如预期,在熊市时期表现超过名义组合。在图3底部的图中,21世纪初经济衰退期间,稳健的投资组合取得的相对收益,以及2008年金融危机期间观察到的峰值,证明了这一点。此外,稳健的投资组合似乎也能够在整个牛市期间保持其相对优势。另一方面,最坏情况方差投资组合与名义方差投资组合非常相似,在不同的市场周期中表现略好,但没有显著特点的表现。

图片{w:100}{w:100}

接下来, 本文将讨论对于不同ω值六个稳健的投资组合的表现。其目的是分析不同稳健性程度的投资组合的样本外效应。更大的值的参数对应于一个更为保守的投资组合。图4显示了稳健投资组合相对于名义资产的平均净值演变。稳健的投资组合(ω 、= 2.0)的情节与图3中是一样的。图4表明,采取越来越保守的立场可以显著提高稳健投资组合的相对表现。一个稳健的组合( ω= 3.0)能够在2008年经济危机期间达到高于名义投资12.94%的优势。值得注意的是,在熊市期间看到的上升趋势并不一定意味着稳健的投资组合有正回报,而是意味着它们更好地抵御了名义投资组合所观察到的损失。

图片{w:100}{w:100}

此外,在相对净值图(如图4)上观察到的波动性,是名义投资组合与稳健投资组合之间净值演化相对差异的结果。换句话说,即使稳健的投资组合具有较低的波动性,如果这与基础名义投资组合的高波动性时期同时发生,相对净值图也可能出现波动性。

图片{w:100}{w:100}

表5列出了所有8个投资组合的绩效摘要。计算结果如下表所示。投资组合超额收益的计算方法是,从每次试验中求出每个投资组合的周收益,然后减去相应的周无风险收益率。然后,本文使用观察到的每周超额收益的时间序列来计算每个投资组合每次试验的平均超额收益、波动性和夏普比率(Sharpe 1994)。最后,将这些周值年化,并计算1000次试验的平均值和标准差。为清楚起见,表3中的行标记为“Ann Volatility”对应于投资组合在1000次试验中经历的平均年化波动率;行标签是在1000次试验中波动的标准差。最后,换手率衡量了每一期中每个资产权重的绝对改变量,1000次实验的均值标记为换手率,其相应的标准差为。换手率是潜在交易成本的代理变量。

图片{w:100}{w:100}

表5中的结果显示了比较稳健投资组合与名义投资组合的明显趋势。随着稳健性水平的提高,实现超额收益增加,波动性降低。反过来,随着稳健性水平的提高,这将转化为夏普比率的上升。(12)中的稳健优化模型的设计是为了减少作者对在其估计风险贡献中存在较大先验误差的资产的暴露。因此,本文的结果表明,减少此类资产的风险敞口有助于减轻投资组合的损失。一般来说,减轻投资组合损失可以在保持较低波动水平的同时提高长期回报率。将稳健投资组合与最糟糕投资组合并置,可以看到,它们在方法上的差异也可能影响业绩。假设最坏情况的投资组合对协方差矩阵的最坏情况估计采用名义方法,得到的最坏情况投资组合具有与名义本身相似的表现。这一点可以从图1底部的相对净值演变图中观察到,也可以从表5的后夏普比率中总结出来。然而, 本文的研究结果表明,超额收益的标准差和波动性,对于所有投资组合相对较小且相当稳定,即使是对于稳健性水平增加的投资组合。最后,本文稳健投资组合的换手率随着稳健水平的提高而提高。这表明,对边际风险贡献较大的资产头寸进行惩罚,会导致最优权重的逐期变化更大。值得注意的是,名义风险平价投资组合在不同时期的资金分配方面通常非常稳定。因此,与范围更广的最优投资组合(如均值方差优化)相比,风险平价换手率通常较低(Chaves et al. 2011)。

总体而言,本文的结果表明,风险平价投资组合的业绩可以通过稳健性框架得到提高。实证案例展示了利用Fama French三因子模型估计名义协方差矩阵及其不确定性结构。因此,可以通过更详细的基于因子的分析,以确定源自稳健性的表现来源。然而,考虑到本文中因子模型的应用更多的是说明性的,而不是描述性的,本文避免在这个方向上过度扩展实验。然而,注意到,对稳健性影响的敏感性分析可以通过仿真和重采样进行。Jorion(1992)和Kim等人(2016)对这种方法进行了充分的实施。在本节的其余部分,本文的实验将继续讨论本文的稳健投资组合在1000个样本外试验期间的一致性所带来的绩效和统计上的优点。

对夏普比率的分析表明,名义投资组合和稳健投资组合之间观察到的差异具有统计学意义。该分析的总结如表6所示。该表的第一行表示给定投资组合的夏普比率大于名义投资组合的测试总数。例如,从第一行,可以看到𝜔=2.0的稳健投资组合的夏普比率在1000次测试中的998次中大于名义组合。同样,通过查看表6,可以看到稳健的投资组合几乎在每次试验中都优于名义投资组合。另一方面,最坏情况下的投资组合在1000次中只有542次表现优异。该表的第二行显示了配对样本t检验的t统计量。本文通过计算1000次测试中的每一次试验中名义投资组合与所有其他投资组合之间的夏普比率的成对差异来进行这一分析。因此,对于这个数量的试验,有999个自由度。表6中的t统计量表明有超过99.9%的置信度认为稳健投资组合的夏普比率大于名义组合的夏普比。

接下来,本文继续讨论投资组合之间风险集中度的差异。表7中的结果为风险平价和稳健性之间的权衡。这种稳健性的“成本”可以通过偏差值来衡量远离完美的风险分散(即风险平价)的程度。本文根据名义风险定义完美的风险分散协方差矩阵Σ0。因此,风险集中度指标仅根据Σ0来定义,以便在名义投资组合与其对应的稳健投资组合之间进行合理比较。根据之前的结果,本文报告了风险集中度测量的平均值和标准差。由于每个单独的投资组合每次试验重新优化和重新平衡34次,表7中的值对应于每个投资组合的34,000个观察值。本文使用以下三种风险集中度指标:

·变异系数 (CV):CV 在 Sect. 2的(5) 中概述。但是,为方便读者,CV 的公式如下所示:

图片{w:100}{w:100}

如果有完美的风险分散,投资组合的 CV 等于零。

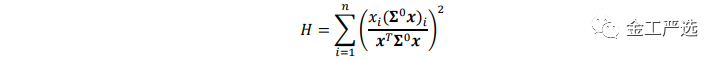
·最高风险贡献 (HRC):顾名思义,HRC 在数学上定义为最高个体风险贡献与总投资组合方差的比率:

图片{w:100}{w:100}

HRC的值介于风险平价投资组合的 1/n 和完全集中投资组合的 1 之间。

·Herfindahl指数 (H):H 指数定义如下:

图片{w:100}{w:100}

H指数的值也在风险平价投资组合的 1/n 和完全集中投资组合的 1 之间。

图片{w:100}{w:100}

表7中的结果表明,随着稳健性的增加,离完美的风险分散越来越远。这适用于所有风险集中度的度量指标。结果符合直觉,因为当限制对边际风险贡献更大的资产的敞口时,越来越难以实现均衡的资产风险贡献。尽管如此,即使本文评估从协方差矩阵的名义估计得出的风险贡献,也能够保持足够程度的分散化。对于具有低𝜔值的稳健投资组合尤其如此,其中平均H和HRC值类似于名义投资组合。然而,随着变得越来越保守,风险开始集中。结果表明,所提出的稳健框架仍然能够获得风险分散化的投资组合,特别是对于低𝜔值组合而言。

08

尝试不同的投资组合规模

本文的第二个测试比较了 n = 15、25、50、75、100 的不同规模的投资组合。和以前一样,本文对每个 n 值进行了 1000 次试验(n = 25 的结果与之前的实验相同)。对于每个试验,本文构建了四个投资组合:一个名义投资组合、一个“最坏情况”投资组合和两个稳健的投资组合,𝜔 = 1.0, 2.0。

图片{w:100}{w:100}

以净值衡量的投资组合表现如图8所示。该图中有五个子图对应于不同规模的投资组合。在对 1000 次测试取平均值后,五个图显示,两个稳健的投资组合获得了最高和第二高的累计净值。前三个图显示𝜔 = 2.0 的稳健投资组合具有最高回报。然而,最后两个图,其中投资组合有 75和 100 种资产,表明𝜔 = 1.0 的稳健投资组合具有最高的累计净值。

可以在图 9 中更详细地观察到:前三个图中稳健的投资组合(n = 15、25、50)表现出类似的规律,只是相对净值的增加随着规模的增加而放大。当作者检验 n = 75, 100 的情况时,结果不再如此,可以看到,在测试开始期间,更保守的稳健投资组合的相对净值显著下降。尽管如此,𝜔 = 1.0 的稳健投资组合表明不同投资组合规模之间的一致性更高。事实上,𝜔 = 1.0 的稳健投资组合不仅在每个 n 值下都始终优于名义投资组合和最坏情况投资组合,而且随着投资组合规模从 n = 15 增加到 n = 100,相对净值的增加会被放大。

图片{w:100}{w:100}

表10显示了对应于每个n值的1000次测试的结果。这些结果的计算方式与本文之前的实验相同。评估整个投资期限内的平均投资组合表现表明,稳健的投资组合在所有三个类别中的表现都优于名义投资组合:超额回报、波动性和夏普比率。然而,与以前一样,稳健投资组合的换手率更大。特别是,随着资产数量的增加,稳健投资组合的换手更高。这并不奇怪,因为随着n的增加,本文对资产配置策略有更多的选择,并且估计参数的增加也会产生更多的噪音。此外,虽然稳健的投资组合在绩效上始终能够超越名义投资组合,但随着投资组合规模的增加,最坏情况投资组合的表现会恶化。当n≥50时,最坏情况下的投资组合未能超过基准值。最后,值得注意的是,名义投资组合的表现随着资产数量的增加而提高。投资组合受益于更多资产之间更大的分散化,但随着n的增加,这种益处会减少。

图片{w:100}{w:100}

夏普比率的统计分析如表 11 所示。与之前的测试类似,本文发现稳健投资组合的夏普比率几乎在每一次测试中都超过了名义投资组合的夏普比率。事实上,对于 n ≥ 50,𝜔 = 1.0 的稳健投资组合的夏普比率在每次测试中都超过了名义值。此外,稳健投资组合和名义投资组合之间夏普比率差异的 t 统计量表明,稳健投资组合具有更好的风险调整后的表现,对所有 n 值的置信度超过 99.9%。然而,注意到当 n ≥ 50 时,𝜔 = 2.0 的稳健投资组合的夏普比率开始变低。最后,与其他结果一致,最坏情况投资组合的夏普比率随着规模的增加而降低。事实上,当 n ≥ 50 时,可以看到 t 统计表明,与名义投资相比,最坏情况投资组合的夏普比率实际上较低,置信度超过 99.9%。

图片{w:100}{w:100}

风险集中度指标如表 12 所示。不出所料,随着资产数量的增加,所有投资组合都偏离了完美的风险分散化。唯一的例外是名义投资组合,它作为完美风险分散的基准,因为所有风险集中度度量都是使用Σ0作为风险度量来计算的。话虽如此,在三个相互竞争的投资组合中,最坏情况的投资组合与风险平价的偏差最小。这与本文之前的研究结果一致,稳健性的成本体现在偏离风险平价和提高换手率。反过来,这反映了对边际风险贡献较大的资产的厌恶,限制了实现完美风险分散的能力。

图片{w:100}{w:100}

该测试的结果表明,本文提出的稳健的风险平价投资组合框架可以带来更高的样本外风险调整回报,同时构建保持足够的风险分散的投资组合。任何不同于名义模型的投资模型都需要在绩效和风险分散之间进行权衡。此外,本文的结果表明,简单地采用协方差矩阵的最坏情况估计并不能在熊市期间提供稳健的表现。本文对不同规模的投资组合的分析表明,对于温和的稳健性水平(例如𝜔=1.0),作者稳健的投资组合在市场下行期间获得了大部分相对收益。此外,稳健的投资组合能够在保持相对于名义风险的良好分散程度的同时做到这一点。

09

结论

在本文中,作者介绍了构建风险平价投资组合的稳健方法。与MVO 投资组合不同,作者不寻求将风险降至最低。投资组合优化中的传统做法通过对风险度量进行对“最坏情况”估计来保证稳健性,但当目标是使每项资产的风险贡献均等时则不适用。相反,由于目标的性质,作者最关心的是如何正确估计资产的风险贡献。作者提出的框架是专门为解决风险平价的不确定性而开发的。因此,这个稳健的问题旨在保护投资组合避免过度暴露于边际风险贡献中具有高度估计错误的资产,并减少对边际风险贡献更大的风险资产的暴露。直观地说,本文定义了估计风险度量的不确定性,即资产协方差矩阵。然后,作者以明确衡量资产边际风险贡献的方式解决风险平价优化问题,从而引入稳健性,用来限制对边际风险贡献较大的资产的暴露。本文提出的框架能够获得更高的回报率和更高的风险调整回报率,这两者都可以归因于对导致投资组合损失的风险资产暴露的减少。

此外,所提出的稳健公式依赖于在原始 SOCP 上引入新约束,通过设计让该约束保持与原始问题相同的复杂程度。换句话说,本文强大的 SOCP 与原始风险平价问题一样易于处理和有效。

资产协方差矩阵上的不确定性集可以用任何能产生一组协方差矩阵约束的通用方法推导出来,本文展示了一个示例,说明如何从资产收益因子模型的回归系数标准误差推导出这个不确定性集。因子模型更难处理,需要额外的计算成本来构建不确定性结构。尽管如此,本文能够证明使用因子模型来构建可行的稳健投资组合是可能的,如作者使用 Fama-French 三因子模型的实证测试所示。

结果表明,稳健的风险平价投资组合能够在较长的投资期限内优于其名义上的对应投资组合。正如预期的那样,稳健的投资组合能够在市场困境期间表现显著优势。更令人惊讶的是,稳健的投资组合能够在看涨期间保持其相对优势。通过测试具有增长的风险厌恶的稳健投资组合𝜔,以可视化用户定义的参数如何影响最终的最佳投资组合。除了提高回报率外,稳健的投资组合还能够获得高于名义风险调整后的回报率,这可以通过减少对噪声资产的敞口来解释。然而,引入稳健性模型的成本表现在两种方式:(1)偏离完美的风险分散,(2)增加换手率。这种稳健性成本是厌恶边际风险贡献较大的资产的结果,这在一定程度上限制了我们实现完美风险分散的能力。

这种稳健的框架为其他应用打开了大门,例如使用它在风险预算方法下构建稳健的投资组合(Bruder et al. 2012; Haugh et al. 2017; Kapsos et al. 2018)。这可能是未来研究的主题。

文献来源

核心内容摘选自Giorgio Costa和Roy Kwon在《Journal of Asset Management》上的论文《A robust frameworkfor risk parity portfolios》。

风险提示

本文结论基于历史数据与海外文献进行总结;不构成任何投资建议。

标签

风险平价模型稳健投资风险平价
{link}