研报&论文

基金经理持仓相似度与基金业绩

由crisvalentine创建,最终由crisvalentine 被浏览 6 用户

报告摘要

基金经理投资能力刻画

本文提出了一种新的度量基金经理投资能力的指标,通过判断投资行为相似的基金经理的表现(持仓相似或者持仓调整相似)来预测基金收益。一个是基于基金经理的静态持仓,一个是基于基金经理对于股票的交易与那些成功基金经理的重合程度。

通过使用过去一段时间的历史收益与持仓来计算指标去评估基金经理的投资能力,相比于传统的基于收益的指标更具预测能力。

本文的基本假设为投资决策相近的基金经理投资业绩相似。因此在设计指标时都遵循这一逻辑。实证表明这一设计相比于传统基于收益构建的指标对基金未来收益率具有更强的预测性,同时预测效果也更稳定。

实证结果

通过静态持仓所构建的指标记为δ ̂^*,而通过动态持仓变化所构建的指标本文记为

δ ̂^(**)。

其中,当使用δ ̂^*在剔除传统指标之后的五档年化多空收益率从2.4%到4.4%,这表明在剔除传统指标的影响之后,δ ̂^*仍然可以提供较高的收益,其中统计t值从1.94到3.21。因此,δ ̂^*具有传统指标所不包含的信息。

同样的,本文也检验了传统指标在剔除δ ̂^*之后的五档多空年化收益率,可以看到平均而言,每年的多空年化收益不到1%,并且不显著。这说明传统指标所包含的信息,在δ ̂^*中已经包含了。

同时,使用δ ̂^()进行测试时,可以看到,δ ̂^()在剔除传统指标之后的五档年化多空收益率从1.2%到1.4%,其中统计t值从2.31到2.73。虽然显著性水平略低一些,但δ ̂^(**)仍具有传统指标所不包含的信息。

因此,综上所述,两个新构建的指标对基金未来收益率均具有较强预测性,且具有传统指标所不能解释的额外信息。

文献来源

文献来源:Yung Chiang Yang, Bohui Zhang, Chu Zhang."Is Information Risk Priced? Evidence From Abnormal Idiosyncratic Volatility." Journal of Financial Economics. 135. 2020:528-554.

文献亮点:作者提出一种新的基于价格的度量方法——异常特质波动率(AIV,Abnormal Idiosyncratic Volatility)来衡量信息泄露风险,该方法旨在捕捉非知情交易者的信息不对称性。AIV指标衡量的是上市公司发布信息前的特质波动率超过平常时间特质波动率的幅度。本文采用盈余公告作为信息发布事件,我们发现AIV与股票发布盈余公告前的知情交易者行为、内幕交易行为、卖空行为和机构交易行为都具有很强的相关性。AIV值更高的股票的长期收益显著高于AIV值越低的股票的长期收益,且在统计意义上显著。综合来看,本文的研究表明信息不对称风险确实存在市场溢价。

引言

基金经理的投资能力是可以通过他们持有的公司来进行判断的。不同的人具有不同的性格特征以及行为特点,这些很难通过直接的观察而获知,但我们可以通过其他与其行为类似的人的特征来推断出来。举例而言,如果一个无聊的旅客想知道关于麦当娜的故事,那么相比于和一个正在读华尔街日报的人交谈,他更应该与一位正在读国家询问报的人来聊天。这是因为后者这位读者很有可能更对名人故事感兴趣。

当人们进行竞赛时,他们的成功率往往可以依据他们的技术进行预测,而他们的技术又可以基于他们历史的得分而获得。举例而言,假设有一队篮球运动员,他们分为两组,一组为使用双手投篮的选手,另一组为仅使用单手进行投篮的选手。他们两组分别投篮十次。到目前为止,可以观察到双手投篮的平均分数为8/10,而同时,单手投篮的平均分数为4/10。现在有两个选手,分别来自单手投篮组以及双手投篮组,他们的比赛进行到了一半,现在单手投篮以及双手投篮的选手的得分均为4/5。假设现在需要你来猜测这两位选手,谁将能够在10次投篮之后获得更高分?

尽管这两位选手的得分记录是相同的,但是猜测双手投篮的选手会赢也仍然是明智的。因为可以看到其余双手投篮的选手倾向于获得更高的分数,而这位单手投篮的选手很有可能在前5次投篮中比较幸运而已。

与上述篮球运动员的例子类似,主动管理型基金经理在试图战胜其基准时,也会用到各种各样的技术。而这些技术往往对于某些基金经理群体而言是相对类似的。举例而言,基金经理尽管会通过不同的渠道来获取不同的消息,并使用不同的评估方法,但是仍有一部分基金经理是使用类似的信息来源以及相似的方法。本文的基本假设就是,这些使用相似方法或者技术进行投资的基金经理可能会有相似的预期收益。

然而,本文所举的篮球运动员的例子中,篮球运动员只有一个技术要领,而基金经理在管理他们的基金时有可能使用多种不同的技术,同时,这些技术往往不容易观测到。相比于试图探究他们所使用的的投资理论或者投资技术,本文将直接聚焦于他们的投资结果,这些可以从他们定期披露的组合信息来一定程度的反应出来。

举例而言,假设一个给定的技术为购买被低估的股票,同时许多基金经理都使用这一策略。那么,本文来判断一个基金经理的能力是否能够选出好的股票的方式是通过他的投资决策是否和其余成功的基金经理所一致。

一种评估基金经理投资决策相似度的方法是通过比较持仓。举例而言,假设两个基金经理的历史收益都非常优秀,其中一个基金经理持有大量因特尔股票,而另一个基金经理持有大量的微软股票。假设因特尔股票现在被很多过去表现非常好的基金经理所持有,而同时,微软股票被过去表现不太好的基金经理所持有。那么我们有理由相信那位持有因特尔股票的基金经理更倾向于具有较好的选股能力。

对于基金表现的度量,本文使用传统的Jensen’s alpha。本文表明,本文的度量基金经理的投资能力为当前所有基金经理投资能力的加权平均。

另一个比较基金经理投资决策相似度的方法是比较他们的交易。一个修改后的基于交易的比较方法是通过比较不同基金经理持仓的变化来进行。

传统的评估基金表现的方法主要是集中于度量基金的历史表现,例如Jensen’s alpha(Jensen, 1968)或者夏普率(Sharpe, 1966)。由于很多基金的历史收益率都比较短,因此这些传统的度量方法往往不能比较准确。近期较多的研究主要集中在基于基金持仓的基础上进行度量。

本文的行文主要按下面步骤进行。第一节介绍了本文的基金业绩度量方法,第二节讨论了这些方式是否可以有效的把握基金经理的真实投资能力,第三节展示了这种度量方法是否可以预测基金经理未来的投资业绩,第四节对本文给予总结。

基金经理业绩度量方式

本节介绍了两种度量基金经理投资能力的方法来反应投资业绩,一个是基于基金经理的静态持仓,一个是基于基金经理对于股票的交易与那些成功基金经理的重合程度。

基于持仓的度量方式

假设共有M个基金经理,m=1, …, M,且有N只股票,n=1, …, N,其中每只股票都至少有一个基金经理持有。设α_m表示第m个基金经理的投资能力(之后讨论细节),并且w_(m,n)为当前第m个基金经理所持有的第n只股票的权重。对于每一只股票n来说,定义其持仓质量δ ̅_n可以表示如下:

{w:100}其中:

{w:100}股票n的质量由持有这只股票的基金经理的平均水平来定义,权重就是他们持有这只股票的持仓权重。高质量股票是指有较多业绩表现好,具有较高投资能力的基金经理所持有的股票。

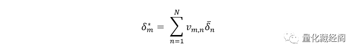
因此,对于高质量股票的持仓权重越大,那么基金经理的投资能力越强,本文的度量方法可以由下式表示:

{w:100}总而言之,本文用于度量基金经理投资能力的方式是通过计算其持仓中所有股票质量的加权平均值来表征,而其中每一只股票的贡献,取决于该基金经理的持仓权重。

为构建本文度量基金经理投资能力的方法,本文使用经过OLS进行回归之后的α ̂_m来代替上式中的α_m:

{w:100}关于使用持仓变化计算出来的指标δ ̂^(**)将于下一节进行介绍,本文将于第三节进行因子对于基金收益率预测能力的测试。

基于持仓变化的度量方式

上一节中,本文假设如果基金经理具有相似的持仓,那么将假设他们拥有相似的投资决策,而没有考虑他们的交易情况。在这一节中,本文假设如果基金经理具有相似的调仓情况,那么他们的投资决策相似。

因为交易还包含了交易的费用,因此交易所蕴含的信息将更强于被动持有所含有的信息。

基金经理m的持仓在t时刻的表现可以表示为:

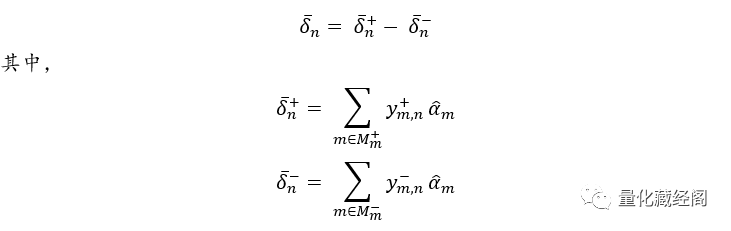
{w:100}其中,r_(n,t)表示股票n的收益率。本文定义的基金经理持仓权重变化公式,可以表示如下:

{w:100}这里表述的是经披露持仓区间涨跌幅调整后的权重变化。本文使用标准化后的权重变化如下:

{w:100}其中,x_(m,n)^+ (x_(m,n)^-)为基金经理m买入(卖出)股票n的占比,并同时y_(m,n)^+ (y_(m,n)^-)为买入(卖出)股票n的金额在基金经理m中的占比。

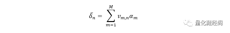
对于每一只股票n,定义其质量如下:

{w:100}其中,α ̂_m为前文提到的对于股票质量进行度量的因子。

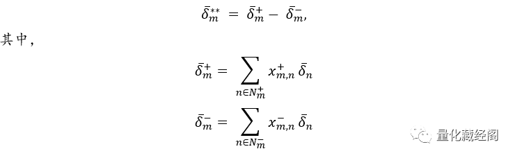
通过上面的构造,基于基金经理持仓变化,在此本文修正后的基金经理投资能力的度量指标如下:

{w:100}上式表示的是基金经理m在近期买入股票的平均质量与近期卖出股票的平均质量的差值。

其中,δ ̅_m^+为基金经理买入高质量股票的部分,δ ̅_m^-为基金经理卖出低质量股票的部分。本文的度量方法结合了上述这两种选股能力的方面,进行综合考量。

模拟检验

模拟检验的目的是评估本文的指标是否可以真正捕捉到基金经理真实的管理能力。

检验结果

本文测试了对基金经理表现不同的刻画方法对于基金经理真实管理能力(γ)的效果,如图1所示:

{w:100}其中,每一组参数都是经过10000次模拟测试的平均值。对于T=1这一年,无论是δ ̂^*还是δ ̂^(),都比传统的度量方法得到的指标α ̂,相对于γ拥有更高的秩相关性。举例而言,对于300个基金经理以及30只股票而言,δ ̂^*以及δ ̂^()的秩相关性分别为0.44以及0.45,而α ̂只有0.27。

{w:100}图2展示的是不同估计方法与传统方法构建指标的相关性。当T小于等于30年时,δ ̂^*以及δ ̂^()相比于传统因子与基金经理真实管理能力可以产生更强的相关性。举例而言,当T=10以及M=N=30时,δ ̂^*以及δ ̂^()相对于真实管理能力的相关性为0.77,而传统因子仅为0.68。

{w:100}图3展示的是不同估计方法所产生的的标准误(MSEs)。标准误计算的是基金经理的评价指标与真实管理能力之间差额的平方项。可以看出,本文构建的指标相比于传统度量方法可以产生更小的标准误。

{w:100}图4画出了不同刻画方法相比于基金经理真实管理能力的偏离度,正如我们所看到的,本文所构建的刻画方式对于捕捉基金经理的真实能力更具有实用性,对于具体应用将于后面进行说明。

实证检验

模拟回测检验的结果表明本文所构造的指标δ ̂^*以及δ ̂^()相比于传统指标α ̂更能够准确的捕捉基金经理的真实管理能力。如果上述成立,那么δ ̂^*以及δ ̂^()应该相比于传统指标更能预测基金收益率。

在这一节中,将在大量样本下,对上述这些指标对基金未来收益率的预测能力进行测试。

数据

基金收益率的数据来源于Center for Research in Securities Prices(CRSP)。这些数据都是使用的费后净值,基金经理的持仓数据来自SEC数据库,其中每年公布两次,但多数基金每个季度就会披露一次持仓。

对基金收益的预测性

在每个季度的开始,本文计算传统指标对于基金过去至少12个月的收益率进行回归后所产生的的超过无风险收益的部分,再分别计算本文所构建的指标δ ̂^*以及δ ̂^(**)对于基金收益率的预测性。

{w:100}从图5可以看出,所有三种指标的构建方法均可以对基金未来收益率进行较好的预测。其中基于Fama-French回归检验的传统指标α ̂的十档分组多空收益为年化5.2%,与此同时,δ ̂^*的多空年化收益率为7.4%以及δ ̂^(**)的多空年化收益率为4.5%。

{w:100}图6以及图7都是对第一个指标δ ̂^*的双排检验,目的是剔除传统指标之后,检验该指标是否还对基金未来收益率具有预测性。

可以看出,δ ̂^*在剔除传统指标之后的五档年化多空收益率从2.4%到4.4%,这表明在剔除传统指标的影响之后,δ ̂^*仍然可以提供较高的收益,其中统计t值从1.94到3.21。因此,δ ̂^*具有传统指标所不包含的信息。

同样的,本文也检验了传统指标在剔除δ ̂^*之后的五档多空年化收益率,可以看到平均而言,每年的多空年化收益不到1%,并且不显著。这说明传统指标所包含的信息,在δ ̂^*中已经包含了。

{w:100}本文同样对δ ̂^(**)以及传统指标也做了双排检验,具体的检验结果如图8以及图9所示:

{w:100}图8以及图9都是对第二个指标δ ̂^(**)的双排检验,目的是剔除传统指标之后,检验该指标是否还对基金未来收益率具有预测性。从结果上看,相比于第一个指标δ ̂^*只弱了一点点。

可以看出,δ ̂^()在剔除传统指标之后的五档年化多空收益率从1.2%到1.4%,这表明在剔除传统指标的影响之后,δ ̂^()仍然可以提供较高的收益,其中统计t值从2.31到2.73。因此,δ ̂^(**)具有传统指标所不包含的信息。

同样的,本文也检验了传统指标在剔除δ ̂^(**)之后的五档多空年化收益率,可以看到平均而言,每年的多空年化收益从1.3%到2.1%,整体而言,其统计t值呈现略显著。

{w:100}

结论

本文提出了一种新的度量基金经理投资能力的指标,通过判断投资行为相似的基金经理的表现(持仓相似或者持仓调整相似)来预测基金收益。通过使用过去一段时间的历史收益与持仓来计算指标去评估基金经理的投资能力,相比于传统的基于收益的指标更具预测能力。

本文的基本假设为投资决策相近的基金经理投资业绩相似。因此在设计指标时都遵循这一逻辑。实证表明这一设计相比于传统基于收益构建的指标对基金未来收益率具有更强的预测性,同时预测效果也更稳定。

本文的计算方法是使用基金经理最近一期的持仓或持仓变动情况。在未来的研究中也可以考虑使用过去几期的持仓综合判断。

标签

持仓
{link}