研报&论文

“学海拾珠”系列之六十三:凸显效应对股票收益的影响

由crisvalentine创建,最终由crisvalentine 被浏览 40 用户

报告摘要

主要观点

本篇是“学海拾珠”系列第六十三篇,本期推荐的海外文献研究凸显效应对股票收益的影响。凸显性投资者的注意力通常被吸引到显著上涨的股票上,对这些股票产生了过高的需求,导致股票估值过高、未来回报率降低。而具有显著下跌特点的股票则被低估,未来会获得更高的投资回报。

回到A股市场,从因子构建角度来看,凸显性因子本质上是对反转因子的切割和改进,对于上涨、下跌的程度给予不同权重,进行历史收益的加权组合,一方面为动量类因子的构建提供了改进思路,另一方面可扩展到财务因子的研究中,观察是否可应用于区分公司的基本面恶化或超预期程度。

高凸显性的股票将比低凸显性的股票未来会获得更低的回报

一只股票最凸显的特点是相对于市场上其他股票有比较突出的回报。因为投资者把注意力集中在突出的回报上,他们会被具有凸显性优势的股票所吸引,对这些股票的过度需求导致估值过高,未来回报率降低,而具有凸显性缺点(显著下跌)的股票则被低估,未来获得更高的回报。

在套利限制较大、散户持有量较高的股票中,凸显性对未来收益的预测能力更强

套利的限制使理性投资者无法纠正错误的定价。因此作者预计在套利成本较高的股票中,凸显性理论变量对未来收益的预测能力会更强。凸显性效应在个人投资者较集中的股票中更加明显,因为个人投资者通常被认为不如专业投资者成熟,因此更容易产生凸显性思维。

凸显性效应会引起错误定价

定义凸显性效应既可以选择对于市场指数的超额收益,也可以选择对比行业收益。当对比目标是无风险资产时,凸显效应的预测能力会减弱。由于投资者对收益分布的看法被市场上其他股票的收益所扭曲,股票会被错误定价。

风险提示

本文结论基于历史数据与海外文献进行总结;不构成任何投资建议。

\

引言

虽然传统的资产定价理论假设投资者是完全理性的,并且在选择风险资产时使用所有可用的信息,但大量的研究发现他们的注意力和处理能力是有限的。(e.g.Kahneman(1973))。Bordalo,Gennaioli和Shleifer(2012)(以下简称BGS)认为,由于认知上的限制,决策者的注意力会被吸引到他们所面临的选项中最不寻常的那部分。因此,这些突出的属性在他们的决策中被过度重视,而不突出的属性则被忽略了。BGS(2012)提出了一种新的风险下的选择理论,将这种凸显性思维公式化,并证明凸显性可以解释决策理论中的基本难题,如阿莱克斯悖论。

在本文中,作者提出了关于凸显性资产定价的经验证据。具体来说,作者检验了Bordalo、Gennaioli和Shleifer(2013a)的基于凸显性的资产定价模型的预测。他们提出,风险资产的需求受到在不同状态下回报凸显性的影响。凸显性在心理学文献中被定义为这样一种现象:当一个人的注意力不同程度地指向环境的某一部分而不是其他部分时,该部分所包含的信息将在随后的判断中获得不成比例的权重(Taylor和Thompson(1982))。

凸显性模型的一个关键前提是,选择是根据具体情境做出的,这意味着投资者通过比较每项风险资产的回报与可用的替代品的回报来评估每项风险资产。这种背景依赖性由大量的实证证据证实。一只股票最凸显的特点是相对于市场上其他股票有比较突出的回报。因为投资者把注意力集中在突出的回报上。他们会被具有凸显性优势的股票所吸引。对这些股票的过度需求导致估值过高,未来回报率降低,而具有凸显性缺点的股票则被低估,并获得更高的后续回报

根据Barberis、Mukherjee和Wang(2016),假设投资者在进行交易时,一只股票被其过去的收益分布所代表,并且视其代表了未来收益分布。因此,投资者从过去的回报状态的集合中推断出未来可能的回报状态的集合。因为这些过去的回报已经实现,它们的客观概率是已知的。拥有凸显性思维的投资者将客观概率替换为根据股票过去收益形成的决定权重,从而形成依赖历史情境的推断。具体来说,投资者通过推断过去一个月的凸显性加权的每日回报来形成对未来回报的预期。投资者在市场平稳的日子里对5%的股票回报的重视程度要高于市场也上涨5%的日子。凸显性权重不仅取决于股票和市场回报之间的距离,而且还取决于它们的水平。例如,当一只股票跑赢市场3%时,在市场回报率为0%的日子里,这种超额回报比市场回报率为10%时更突出。作者将股票的凸显性理论(ST)价值定义为由凸显性思维引起的对回报预期的扭曲。当凸显性思维者的预期超过用客观概率计算的预期时,ST是正的,这发生在股票过去的最高回报是显著的。这时,投资者就会关注股票的上升潜力,从而有效地充当风险寻求者,接受负的风险溢价。当一只股票过去的最低收益突出时,投资者过度强调下行风险,ST为负。投资者之后表现出规避风险的行为,并要求持有股票的正风险溢价。

由于凸显性扭曲源于认知的局限性,凸显性思维者被假定被狭隘的框架限制:在评估一只股票时,他们不会考虑它对其投资组合回报的贡献。股票收益的凸显性仅由其与市场收益的相对差异决定,并不取决于投资者的具体特征。因此,由凸显性驱动的股票需求在不同的投资者之间是相互关联的,并且可以对价格施加压力。套利的限制使理性投资者无法纠正错误的定价。因此作者预计在套利成本较高的股票中,凸显性理论变量对未来收益的预测能力会更强。作者进一步预测,凸显性效应在个人投资者较集中的股票中更加明显,因为个人投资者通常被认为不如专业投资者成熟,因此更容易产生凸显性思维。

凸显性理论和股票价格

凸显性理论

凸显性理论(ST)的一个关键前提是,决策者的注意力被引导到可供选择的资产中回报最突出的那一部分。这种扭曲的注意力分配导致代理人对这些突出的回报过分看重。ST理论另一重要的点是,选择是基于环境制定的。也就是说,代理人将每种资产的回报与可用替代方案的回报进行比较。因此,一个资产的显著回报是指那些与其他资产的回报相差最大的。其基于Kahneman(2003)的观察,即差异比绝对值更容易被决策者接受。BGS(2012)的凸显性模型结合了内生注意力分配和情境依赖选择的思想,指定了一个情境依赖的加权函数,将客观状态概率转化为决策权重。

凸显性理论中加权函数的一个重要含义是,分布尾部的报酬只有在它们是显著的情况下才会被加权。相反,在Tversky和Kahneman(1992)的累积前景理论(CPT)中,状态概率被一个固定的加权函数所扭曲,这意味着尾部事件总是被加权。换句话说,在前景理论中,概率的扭曲是由报酬的等级决定的,而在凸显性理论中,报酬的大小和选择环境很重要。BGS(2012)证明,通过采用与背景相关的加权函数,凸显性理论可以解释许多违反预期效用理论的情况,而不需要一个对收益是凹的、对损失是凸的价值函数。当资产的正面(即最高回报)很突出时,决策者会表现出寻求风险的行为,而当负面很突出时,决策者会厌恶风险

ST和CPT中概率加权的区别可以用一个简单的例子来说明。假设一个代理人必须在两个相关的资产中做出选择,L1和L2。

{w:100}在这两种资产中,最高的报酬2000美元发生在低概率状态。在CPT中,与这种高回报相关的低概率被加权,因为决策者假定将资产视为独立的。在ST中,内容依赖意味着低概率状态是不显著的,因为两种资产都产生相同的报酬。在凸显性投资者眼中,两种资产的状态被抵消,并不影响选择。基于凸显性理论的加权函数,可以解释大部分观察到的风险承担的变化。

基于凸显性的概率加权

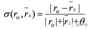
为了衡量资产i在s状态下的回报 {w:100}的凸显性,BGS(2012)提出了这个函数:

{w:100} (1)

其中,θ>0,,N表示资产的数量。

方程式(1)中的凸显性函数满足四个条件。(i)定序;(ii)敏感性递减;(iii)反映;和(iv)凸性。定序性意味着i资产的状态s的显著性随着其报酬与选择集中所有资产的状态s的平均报酬之间的距离增加。敏感性递减意味着,随着所有资产的绝对报酬水平的均匀上升,显著性也会下降。换句话说,当报酬的差异发生在较高的报酬水平上时,人们对这些差异的感知就不那么强烈了。根据反映性,显著性不取决于符号,而只取决于报酬的大小。换句话说,将收益反映为损失并不改变一个状态的凸显性,因为感知对绝对值的差异是敏感的。凸性意味着,随着绝对报酬水平的提高,递减的敏感性会减弱。方程(1)中参数θ的数值越小,凸显性函数的凸性越大。更重要的是,θ控制了抽奖时报酬为零的状态的显著性。如果θ被排除在外,无论平均报酬水平如何,零报酬状态将具有最大的凸显性。根据方程(1)中的凸显性函数,凸显性思维者对每张资产的报酬排序,并且用资产特有的决策权重来代替客观状态概率

{w:100} (2)

其中 {w:100}是凸显性权重:

{w:100} (3)

其中kis是报酬xis的凸显性排名,范围从1(最显著)到S(最不显著)。S表示状态的集合,其中每个状态S发生的概率为 {w:100}例如 {w:100}决策权重被归一化。即预期扭曲为0 {w:100}方程(3)中的参数δ反映了凸显性扭曲决策权重的程度,并代表了决策者的认知能力。当δ=1时,不存在显著性扭曲,并且决策权重等于客观概率。(Wis=1 对于所有s∈S)。这种情况对应于理性决策者。当δ<1时,决策者是一个凸显性思维者,他高估了显著状态 {w:100}低估了不显著状态 {w:100}当δ→0时,显著性思考者只考虑一个资产最突出的回报,而忽略所有其他的回报。

基于凸显性的资产定价模型

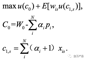
Bordalo、Gennaioli和Shleifer(2013a)提出的基于凸显性的资产定价模型说明了显著性如何影响交易决策和股票价格。BGS(2013a)从一个投资者的基于消费的两期模型开始。每个投资者对当前(t=0)和未来(t=1)的消费值具有线性效用,并且没有随时间折现。每个投资者被赋予财富,以及持有N个可用股票。股票i有一个当前的价格,在t=1的状态s下产生一个回报。在t=0时,投资者每个股票i交易来最大化期望效用:

{w:100} (4)

这个问题的解决方案的一阶条件是:

{w:100} (5)

除了使用被扭曲的状态概率,投资者对回报的估值是标准的。与使用未被扭曲的概率评估股票的预期效用最大化者相比,当股票i的上升(下降)趋势突出时,一个凸显性投资者想要购买更多(更少)的股票。凸显性驱动的股票需求的定价含义可以通过将所有投资者的最佳交易决策与市场清算条件相结合而得出,即对所有i而言, {w:100}。在均衡状态下,所有投资者都持有市场投资组合,股票价格为:

{w:100}(6)

方程(6)右侧的第一项表明,在没有凸显性扭曲的情况下,股票的价格等于其未来报酬的预期值,其中预期值是用客观概率计算的。第二个术语捕捉了凸显性思维对股票价格的影响。当一只股票的最高回报是突出的,即 {w:100},该股票被高估了,因为投资者的注意力被吸引到它的上升潜力上。当一只股票的最低报酬是突出的,即 {w:100},投资者关注它的下行风险,只有当它的价格低于理性价格时才愿意持有该股票

将(6)的两边都除以 {w:100},可以得到凸显性对预期收益的影响:

{w:100} (7)

其中 {w:100}代表股票i的凸显性理论值。方程(7)抓住了基于凸显性的资产定价模型的主要预测:凸显性上行的股票(正ST)比凸显性下行的股票(负ST)的未来收益要低。当投资者是理性的(δ=1),没有凸显性扭曲,所有的状态都同样显著。在这种情况下 {w:100},预期收益率也为零,因为投资者是风险中立的,不会对未来进行贴现

构建凸显性的度量

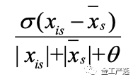
为了检验股票的凸显性理论价值对其未来收益的负向预测,作者明确了可能发生的状态及其客观概率。在一个实验环境中,受试者被要求在资产中做出选择,报酬和它们的概率是给定的。然而,在应用中,状态空间的定义并不明确。继Barberis、Mukherjee和Wang(2016)之后,作者认为,当在股票之间进行选择时,投资者在心理上通过其过去的回报分布来代表每只股票,并从过去的状态中推断出未来的回报状态集。作者假设状态空间是由过去一个月的每日回报形成的。由于这些过去的回报都已实现,其概率是已知的并等于该月交易日数的倒数。计算一个月窗口的ST有两个原因。首先在实证分析中,作者预测一个月前的股票收益。因为一个月的过去收益窗口与一个月的预测范围相匹配,所以过去状态的数量与未来状态的数量大致相等。其次,由于扭曲决策权重的选择性注意源于认知限制,显著性思考者可能只记得最近的回报。一只股票在s日的回报率ris的凸显性取决于它与该日市场上所有股票的平均回报率 {w:100}的距离,即公式(1)变成:

{w:100} (8)

下面的例子说明了对凸显性的衡量。假设在s天,股票i的回报率为10%,市场回报率为5%。在另一天s’,股票收益率为5%,市场收益率为0%。虽然股票和市场回报率的差异在这两天都是一样的,但由于敏感度的降低,股票的回报率在s’日对投资者来说更加突出,这在公式(8)中的分母中得到体现。直观地说,在市场走平的时候,股票5%的超额收益比在市场上涨的日子里更显眼

方程(8)意味着凸显性是由单个股票相对于市场回报率决定的,与投资者的具体特征无关。这种形式的“狭义框架”意味着对某一投资者有吸引力的股票收益对其他所有投资者也有吸引力。因此,由凸显性驱动的股票需求将在不同的投资者之间相互关联,并能对股票价格施加压力,因为套利的限制使理性投资者无法纠正错误的定价

对于每只股票,作者将单月的日收益率按凸显性从高到低排序,并利用公式(3)计算出相应的凸显性权重Wis。为了计算出凸显性权重,作者指定参数θ和δ的值。作者的实现使用了BGS(2012)校准的值,即θ=0.1和δ=0.7。然后,作者通过计算凸显性权重和每日回报之间的协方差来获得ST。

具体而言,凸显性指标ST如下:

{w:100} (9)

其中第二个等式由=1得出,最后一个等式由得出,其中 等于t月的交易日数。方程(9)显示,ST等于根据凸显性加权和等权的组合过去收益之间的差异。因此,ST衡量的是凸显性思维造成的收益预期的扭曲。当一只股票过去的最高(最低)回报率很突出时,投资者会提高(降低)对其未来回报率的预期,并推动其价格高于(低于)基本价值,降低(增加)未来实现的回报

\

数据

作者的数据来自CRSP和Compustat,包括1926年1月至2015年12月期间在纽约证券交易所、美国证券交易所和纳斯达克上市的所有公司的每日和每月回报率、股权的账面和市值以及交易量。如果某只股票在某月至少有15个日收益观测值可用于计算ST,并且有历史数据可用于计算作为控制变量的每一个公司特征,那么该股票就被纳入了该月的分析中。作者控制了一大批已知可以解释收益率横截面变化的特征。作者用股权的市场价值的对数来衡量公司规模(ME),用股权的账面价值和市场价值的比率来衡量账面市值(BM)。按照Fama和French(1992)的做法,作者使用Compustat截至前一年12月的会计数据来计算账面市值,并排除了账面权益为负数的公司。由于Compustat没有样本期前半段的账面普通股(BE)数据,作者从Kenneth French的数据库中获得了1926-1953年期间的BE数据。动量(MOM)被衡量为当月之前11个月的累积回报。Amihud(2002)的非流动性(ILLIQ)被计算为每日绝对收益除以每日美元交易量,一个月内所有交易日的平均数。短期反转(REV)定义为前一个月的股票回报。作者还考虑了不同的风险衡量标准。市场贝塔系数(BETA)是由在一个月时间内,每日超额股票收益率对每日超额市场收益率回归,重新评估后的数据估算出来的。异质性波动率(IVOL)被定义为这个回归的残差的标准差。下行贝塔(DBETA)是如Ang,Chen,andXing(2006),通过对一年内每日超额股票收益率与每日超额市场收益率的回归来估计的,只使用市场收益率低于当年平均每日市场收益率的数据。偏度(COSKEW)的定义是一年内每日股票收益与每日市场收益的偏度,作者使用Harvey和Siddique(2000)的方法计算。

最后,作者构建了几个衡量资产需求的指标。MAX(MIN)是一只股票在一个月内的最大(最小)日回报率,如Bali、Cakici和Whitelaw(2011)。股票的前景理论(TK)值是按照Ba 、rberis、Mukherjee和Wang(2016)的方法,使用五年的月度回报窗口来构建的。偏度(SKEW)是每日股票回报的偏度,特异性偏(ISKEW)被定义为Fama和French(1993)三因子模型回归的残差的偏度(Boyer,Mitton和Vorkink(2010))。按照Bali, Cakici和Whitelaw(2011)的做法,作者使用一年内的每日回报率来计算偏度指标,并要求在估计期内至少有200个有效的每日回报率观测值。所有的极端值都在第1和第99个百分位上去除了。

\

凸显性与股票收益的交互关系

在这一节中,作者检验了第2节中概述的凸显性模型的主要预测:具有凸显性上升特征(高ST)的股票将比具有凸显性下降特征(低ST)的股票未来会获得更低的回报。作者在第4.1和4.2节中进行了单变量和双变量的投资组合分析,并在第4.3节中估计了公司层面的Fama-MacBeth回归结果。在第4.4和4.5节中,作者进行了条件分析,研究了对套利的限制和投资者情绪对凸显性和未来股票收益之间的横截面关系的影响。

单变量投资组合排序

每个月,作者根据股票的凸显性理论价值将其分为十等份组合,并计算出等权(EW)和市值加权(VW)组合在下个月的回报。表2报告了一个月前超额投资组合收益的时间序列均值。最后一行报告了买入高ST股票(第10分位数)和卖出低ST股票(第1分位数)的零成本策略的回报。

{w:100}表2的结果为作者的预测提供了有力的支持,即具有突出的上升趋势的股票的未来回报率低于具有显著的下降趋势的股票。第一栏显示,平均EW收益在ST十等分组合中几乎单调地下降。高ST和低ST股票的表现差异不仅在统计上有意义,而且在经济上也很显著。高EW低ST组合的平均超额收益为每月-1.91%,Newey和West(1987)的t统计量为-13.13。这个回报率差异没有被市场、规模、价值、动量和流动性因素所解释,经四因子和五因子模型调整后分别为-2.07%和-2.04%,相应的t统计量为-14.37和-14.41。

表2的右侧显示,对于市值加权(VW)组合来说,最高和最低ST十分位数之间回报率的差异也很明显。正如预期的那样,结果没有EW组合那么明显,因为大股票的散户持有率往往较低,对套利的限制较小。然而,凸显性对VW组合收益的影响是相当大的,每月收益差为-0.80%(t-stat=- 5.24)。同样,我们没有发现任何证据表明这种回报差异是由因子风险敞口的差异所驱动的。高-低ST组合的四因子和五因子指数每月接近-1%,并在1%的水平上显著。

为了更好地了解ST分类组合的构成,作者计算了每个十等份中的股票的各种特征的横截面平均值。表3报告了EW(面板A)和VW(面板B)组合在样本中所有月份的特征的时间序列平均值。A组显示,投资组合的排序产生了一个巨大的收益差,从3.26到最高ST组的6.26。作者在其他栏目中把ST的这种变化与公司特征的变化联系起来。处于极端ST分位数的股票,其平均市值较低,小股票更有可能有突出的回报(正或负),因为它们有更高的特异性波动率。高ST和低ST的股票也更缺乏流动性,并且有更高的市场β值。ST与同期月度股票回报率(REV)呈正相关,因为如果当天的市场回报率适中,那么推动月度回报率上升(下降)的极端正(负)日股票回报率将是突出的。总偏度和特异性偏度也随着ST的增加而增加,因为正(负)偏度的股票更可能显著地的上升(下降)

{w:100}总而言之,单变量分析提供了初步证据,表明股票的ST值与它在下个月的回报率之间存在着强烈的负相关关系,这与第2节所述的基于凸显性的资产定价模型的预测相一致。高ST和低ST分位数之间的回报率差异在经济上是很大的,在统计上是显著的,并且不能用标准风险因素来解释。

\

双变量投资组合排序

作者构建了双重分类的投资组合,以控制与ST相关的公司特征。每个月作者根据控制变量之一将股票分为十等分,并在每个十等分中,根据ST进一步将股票分为十等分,这样,总共构建了100个投资组合。作者对每一个投资组合记录下一个月的实际收益,并对根据凸显理论构建的不同分位数的组合的收益进行平均。

表4提供了双变量排序的结果。作者在EW(A组)和VW(B组)的基础上报告了ST排序的每个分位数的平均月超额收益。底部几行显示了第10分位数(高ST)和第10分位数(低ST)之间的月度回报率差异。作者发现在考虑了每个公司的特征后,凸显效应在经济上仍然显著,在统计上也很显著。对于EW投资组合来说,高ST和低ST十分位数之间的回报率差从每月-0.61%到-1.78%不等,在所有情况下都在1%的水平上显著。和以前一样,投资组合的收益在ST的十分位数上几乎是单调下降的,这表明ST和后续收益之间的负面关系并不仅仅是由ST最高和最低十分位数的股票所驱动。将双变量组合分析的结果与表2中的单变量结果相比较,可以看出大多数公司特征对高ST和低ST股票之间的回报率差的大小影响有限

{w:100}

公司层面的 Fama-MacBeth 回归分析

作者采用Fama和上述投资组合分析的一个重要好处是,它没有为ST和未来收益之间的关系假设一个特定的函数形式。然而,将股票汇总到投资组合中会导致信息的损失,因为它掩盖了各公司在用于分类的特征之外的差异。因此,在本节中,作者估计了公司层面的Fama和MacBeth(1973)的回归,使能够同时控制大量的特征。作者估计了t+1月股票超额收益的预测性截面回归,对a公司的ST值和控制变量的向量在t月末进行计算。

{w:100}(10)

包括规模(ME)、账面价值(BM)、动量(MOM)、非流动性(ILLIQ)、市场贝塔(BETA)、特异性波动(IVOL)、短期反转(REV)、最大日回报率(MAX),最小日回报率(MIN),前景理论值(TK),偏度(SKEW),余度(COS KEW),特异性偏度(ISKEW),以及下行β(DBETA)。表5报告了Fama- MacBeth回归的结果。与投资组合排序的结果一致,作者发现ST对一个月后的股票收益率有负向预测能力。在第1列的单变量回归中,ST的系数在1%的水平上具有统计学意义(t-stat=13.57)。斜率也很重要,ST每增加一个标准差,就预示着下个月的股票收益率会下降-0.64%。第2列显示,纳入贝塔、规模、账面市值和动量特征几乎不影响对ST的系数估计。尽管控制短期逆转会降低ST系数的大小,但凸显效应仍然具有强大的预测能力。在考虑了反转因子后,增加资产需求的代理变量(IVOL、MAX、SKEW和ISKEW)对ST的预测能力影响不大。当同时包括所有14个特征时,股票的ST值每增加一个标准差,下个月的回报就会减少0.23%。Harvey、Liu和Zhu(2016)在最近的一篇论文中强调,在评估资产定价测试的统计意义时,应考虑到多重检验。

{w:100}

对套利的限制的影响

在BGS(2013a)的模型中,所有的投资者都被假定为凸显性的投资者。在现实中,投资者的认知能力不同,因此可能在凸显性思维的程度上有所不同。一些投资者可以作为预期效用最大化者,使用客观概率评估股票。在没有套利限制的情况下,这些理性的投资者可以通过买入有突出缺点的股票和做空有凸显性优点的股票来纠正由凸显性思维者带来的错误定价。因此,作者预计凸显效应在套利限制较大的股票中会更强。作者通过将ST与套利限制的五个代用指标相互作用来检验这一假设:公司规模、非流动性、特异性波动率、机构持仓占比和分析师覆盖率。套利对于小股票、非流动性股票和具有高特异性风险的股票来说,成本更高,风险更大(见Brav, Heaton, and Li (2010))。低机构持仓占比可以通过减少卖空市场上可借出股票的供应来阻碍套利Nagel(2005)。低机构占比也会加强凸显效应,因为散户投资者很可能特别容易产生凸显的想法。分析师覆盖率与较高的套利风险有关,因为它表明关于公司的信息较少这增加了估值的不确定性(张,2006)。机构持仓(IO)被定义为机构投资者持有的流通股比例,可从1980年以来的汤森路透机构控股(13F)数据库中获得,并滞后一个季度以避免任何前瞻偏差。分析师覆盖率(NOA)是以1的对数加上覆盖一家公司的分析师数量来衡量的,可从1976年起的机构经纪人评估系统(I/B/E/S)数据集中获得。由于IO和NOA与公司规模密切相关,作者遵循Conrad、Kapadia和Xing(2014)的做法,计算这些变量中每个变量对公司规模和时间数的回归残差。表6报告了Fama-MacBeth回归的结果,其中包括ST和套利成本的每个代理变量之间的交互项。估计结果支持了作者的猜想,即凸显效应在对套利限制较大的股票中最为明显。ST和未来收益之间的负面关系在小型股票、非流动性股票、具有高特异性风险、低机构持仓和低分析师覆盖率的股票中特别强烈

{w:100}

凸显性和投资者情绪

在发现了凸显效应的大小在不同公司之间有所不同的证据后,作者研究ST的预测能力是否随时间而变化。这一分析的动机是,有研究将横向回报异常的强度与投资者的情绪和套利的限制有关。例如Miller(1977),卖空障碍使股票更有可能被高估而不是低估。在这项研究的基础上,Stambaugh、Yu和Yuan(2012)以及Antoniou、Doukas和Subrahmanyam(2016)表明,在情绪高涨时期,过度定价是最普遍的,因为不成熟的投资者往往过于乐观,更可能参与市场。由于不成熟的投资者更容易拥有凸显性思维,作者预计凸显性对股票价格的影响在高情绪时期会增加。作者通过分别计算高情绪期和低情绪期的ST分类投资组合的回报率来检验这一假设。根据Stambaugh, Yu, andYuan(2012),作者将高情绪月定义为前一个月的BakerandWurgler(2006)情绪指数高于样本期的中值。低情绪的月份是那些低于中值的月份。情绪指数从1965年7月起就有了。表7的结果证实,高情绪加强了ST和未来的股票回报之间的负面关系。在情绪高涨之后,高EW低ST组合的月收益率等于-2.16%,而情绪低落后为-1.63%。在5%的水平上,0.53%的差异是显著的。在投资者高度乐观的时期,高VW和低ST分位数之间的回报率差增加了0.83%(t统计量=2.41)。总的来说,表6和表7中的条件分析证据与对股票显著性和未来收益之间的负面关系的行为解释是一致的。具有凸显优势的股票变得价格过高,并获得较低的未来回报,这种负面关系在对套利有较大限制的股票和情绪高涨期之后更为强烈

{w:100}

选择背景的作用

将凸显理论与其他风险下的选择模型(如前景理论)区分开来的关键特征是概率加权函数的背景依赖性。在凸显理论的实施中,投资者的交易决策被建模为一个选择问题。由(i)选择背景(即投资者可用的股票集)和(ii)状态空间(即市场环境的状态集来定义)。这一节中,作者探讨了定义凸显性的背景,在下一节中,作者考虑状态空间的变化,用于评估股票的背景的变化,因为它们影响了股票过去回报的显著性,将导致投资者的预期回报和交易行为的变化。因此,作者期望凸显性的回报预测能力取决于背景。

按照BGS(2013a)的说法,到目前为止,作者假设投资者是在市场上所有可用股票的背景下评估一只股票。作者通过将股票收益与整体市场收益相比较来衡量显著性,而不是在单个股票收益之间进行配对比较,因为凸显性通常会在配对比较中发生变化,这可能导致不稳定性(见BGS(2012))。作者使用等权的CRSP指数作为市场指数的代理,因为等权保留了凸显性函数的排序性、敏感性和反映性。除了这些理论上的考虑,在作者的设定中,市场是一个合适的背景,因为作者试图解释CRSP宇宙中所有股票的收益的横截面。为了研究指数加权方案的影响,作者通过将股票收益与市值加权的CRSP指数的收益进行对比来衡量凸显性,并对由此产生的ST变量进行Fama-MacBeth回归。为了便于比较不同ST规格的结果,作者将所有自变量标准化为零均值和单位方差。表8第2栏中对大众CRSP指数的估计结果表明,ST的预测能力对指数加权的方法不敏感

{w:100}投资者可能不考虑市场上所有可用的股票,而是专注于一个子集的股票。例如,有些投资者可能会在同一行业的其他股票的背景下评估一只股票。因此,作者通过对比一只股票的收益率和它的行业收益率来构建一个替代的凸显性衡量标准,也就是说,作者用市值加权或平均加权的行业收益率来代替公式(8)中的 {w:100}。作者按照Fama和French(1997)的分类方法将股票分为48个行业。第3列和第4列的结果表明,当凸显性是相对于公司的行业回报率来定义时,ST的凸显性进一步增加。凸显性效应较大幅度与股票的错误定价相一致,因为投资者对其回报的预期被同一行业中其他股票的回报所扭曲。另一种解释是,通过衡量股票相对于行业回报率的凸显性,作者有效地控制了行业的动量。Moskowitz和Grinblatt(1999)的研究表明,行业动量效应在一个月的范围内特别强烈,并认为它是由对公共信息反应不足所驱动的。在作者最初的凸显性范式中,将一只股票的回报与整个市场的回报相比较,企业可能因为有关其行业的正面消息而具有凸显的上升空间。凸显性模型预测这些股票在接下来的一个月里会获得较低的回报。然而如果部分积极的行业信息以一个月的滞后期被纳入股票价格,带来行业动量,那么凸显性效应将更难被发现。作者接下来计算股票收益相对于无风险利率的凸显性。也就是说,作者用一个月的T-bill利率代替方程(8)中的。这种设置相当于投资者在投资股票或无风险资产之间进行选择,而不是在不同的股票之间进行选择。如果一只股票真的像凸显性模型所预测的那样,因为投资者的回报预期受到市场上其他股票的影响而变得错误定价,那么假设背景与市场不同的ST指标应该更难预测不同股票的回报差异。第4栏证实,当背景是由无风险资产提供时,ST的预测能力会减弱。虽然ST的系数在统计上仍然凸显,但它从-0.23下降到-0.14。

最后,作者探讨在定义凸显性时忽略选择背景的后果。这种设置相当于孤立地评估每只股票,基本上是将该股票与完全不投资的选择进行比较,即肯定会赚取零回报。因此,忽略背景意味着凸显性函数可以简化为 {w:100}。换句话说,凸显性随着股票收益的绝对值而增加。第6列报告了在不考虑选择背景的情况下计算出来的ST指标的估计结果。虽然ST的斜率仍然是凸显的,但它的幅度比第1列中中原始ST变量的系数小了近50%。作者从表7的证据中得出两个结论:首先,凸显性效应对于定义凸显性的市场指数的选择是稳健的,对于控制行业的凸显性也是稳健的。其次,作者发现,当选择背景由无风险资产而不是市场提供时,ST的预测能力就会减弱,这与凸显性模型的预测是一致的,即由于投资者对其收益分布的看法被市场上其他股票的收益所扭曲,股票被错误定价

\

关于凸显性效应的其他解释

尽管作者的经验证据与凸显性理论的预测一致,但对于凸显性与未来收益之间的负面关系可能还有其他解释。在这一节中,作者提出了额外的测试,以区分凸显性效应和现有的异常情况。在第6.1节中,作者进行了进一步的实证分析,以排除凸显性效应只是捕捉了短期反转。第6.2节讨论了凸显性理论与Barber和Odean(2008)的投资者注意力理论之间的概念和实证差异。

凸显性和短期反转

对短期反转的一个常见的行为解释是,投资者对公司新闻反应过度,这意味着一个月的股票高回报或低回报未来会反转(例如,Subrahm anyam(2005))。此外,最近的研究证据表明,投资者在形成对未来收益的预期时过度推断过去的收益(Greenwood和Shleifer(2014))。凸显性理论与这些现有的行为理论不同,因为它预测投资者对信息的反应是取决于背景的。在作者的凸显性模型中,投资者也使用关于过去收益的信息来形成对未来收益的预期。然而,只有当一只股票的过去收 益相对于市场上其他股票的收益来说比较突出时,他们才会对其进行加权,而对其非凸显的收益进行减权。因此,诱发的预期扭曲并不是来自对过去回报的过度反应,而是来自对这些回报的认知偏差。更具体地说,作者把ST定义为某月的凸显性加权和等权的每日股票回报率之间的差异。一个高的单日股票回报率推高了EW日回报率和该月的整体回报率(REV)。凸显性理论预测,如果市场持平或下跌,高股票回报率就会脱颖而出,在投资者形成对未来回报率的预期时,就会被超配,从而增加ST。相反,如果市场大幅上涨,股票的高回报率就不太容易引起投资者的注意,得到的权重也会降低。因此,高的单日回报率导致突出性加权的每日回报率的增加比平等加权的回报率的增加要小,从而降低了ST。

凸显性理论和反转理论在概念上的差异的一个重要含义是,它们对具有相似的单月回报的股票产生不同的预测。尽管有相似的单月回报,这些股票可以有截然不同的ST值,这取决于其最高和最低回报的那几天的市场回报。凸显性模型预测,凸显性较强的股票的未来回报率低于凸显性稍弱的股票,即使它们单月的回报相同。表3中关于反转和ST的顺序排序结果支持这一预测。作者发现在单月回报率相近的股票中,高ST股票的未来回报率明显低于低ST股票。表5中Fama- MacBeth回归的结果进一步证明了ST和未来收益之间的负相关关系在控制反转方面是稳健的。

在本节中,作者进行了三项额外的分析,以区分凸显效应和反转效应。首先,作者在计算单变量投资组合分析中ST分类的十分组时,用Fama-French短期反转因子来增强五因子模型。表9的A组结果显示,在控制了高ST股票和低ST股票的零成本策略后,其在统计上是仍然是显著的。作者接下来考虑用于定义凸显性的状态空间的变化。作者选择了一个相对较短的窗口,因为凸显性思维者由于认知上的限制,可能只记得最近的回报。投资者也可能故意降低远期回报的权重,因为他们认为这些回报对未来回报的代表性较低。无论是哪种情况,作者都希望在延长窗口期时,ST和未来收益之间的关系会逐渐减弱。然而,如果凸显性效应只是对一个月反转效应的重新组合,作者预计当凸显性在中期(季度或年度)衡量时,它将突然消失。在这个范围内,回报率通常表现出动量效应而不是反转。作者通过比较使用过去一个月、一个季度或一年的每日回报计算的ST指标的预测能力来检验这一假设。由于一些投资者可能只观察到每月的股票收益,作者也根据一年和五年的月度收益窗口来构建ST。B组报告了在替代状态空间上定义的ST指标的Fama-MacBeth结果。这些估计值证实了作者的预期,即当更久远的回报被用来构建ST时,凸显性的预测能力逐渐减弱。当凸显性在整个股票市场的背景下被衡量时,ST的标准化系数从基于每日回报的季度ST变量的-0.19到基于每月回报的五年ST的-0.12。当一个公司的行业被用作定义凸显性的基准时,系数估计值从0.28(季度范围)到0.15(五年范围)。然而,最重要的是,无论窗口长度如何,ST的系数总是负的,而且在1%的水平上是凸显的。虽然上个月的回报率的相对影响随着用来衡量ST的时间跨度增加而减少,但它仍然可能对ST的预测能力产生不成比例的影响。因此,作者还进行了Fama-MacBeth回归,其中所有的ST变量都滞后了一个月。具体来说,作者使用以t-1月的数据计算的ST指标来预测t+1月的回报。C组的结果显示,所有的ST指标在其构建和后续回报的测量之间间隔一个月后,仍然保持着显著的预测能力,这进一步证明了凸显性效应与一个月的反转是不同的。由于行业动量在一个月的范围内最强,控制这一效应会急剧增加B组中单月ST变量的系数大小。当滞后ST多一个月时(C组),行业动量发挥的作用较小,在公司行业背景下定义的ST变量的系数与相对于市场定义的ST指标的系数相似。

最后,作者构建了一个基于每日开盘回报率的月度窗口的ST指标。由于(散户)投资者通常观察从收盘到收盘的每日回报,作者预计在使用开盘回报时,ST的预测能力会减弱。如果是由对公司基本面消息的过度反应所驱动,ST应该不受每日回报定义的影响。作者按照Amihud和Mendelson(1987)的方法来构建开盘到开盘的收益率,该方法考虑了股票拆分和分红。从1992年7月起,开盘价可从CRSP获得。为了比较,作者还报告了同一时期基于收盘价的一个月ST指标的结果。与作者的假设一致,作者在D组中发现,开盘到收盘的ST变量的系数很小(0.05),而且不凸显(t统计量=0.92)。相比之下,从近到远的ST衡量标准的斜率在经济上是很显著的(-0.35),而且在统计上是显著的(t-stat=- 4.78)。当凸显性在行业背景下被定义时,作者观察到类似的差异。这些差异很难与基于风险或对新闻的过度反应的解释相协调,并进一步支持对ST和未来收益之间预测是基于凸显性的观点

{w:100} {w:100}

凸显性和投资者关注

Barber和Odean(2008)的注意力理论为作者的发现提供了另一种解释。他们的注意力假说预测,散户投资者是那些吸引注意力的股票的净买家,因为在购买时,他们必须从众多的股票中进行选择。由于认知上的限制,投资者可能只考虑那些吸引他们注意力的股票。在卖出时,散户投资者不会面临这样的问题,因为他们可以只卖出他们已经拥有的股票,因为他们通常不卖空。因此,投资者更有可能买入而不是卖出吸引眼球的股票,这导致了短期内的价格压力和未来的反转

注意力在凸显性理论中也发挥着重要作用,但其基本机制有所不同。在凸显性模型中,投资者的注意力被吸引到凸显的回报状态,而不是凸显的股票本身。凸显性通过扭曲决策权重和收益预期来影响交易决策和股票价格,而不是通过缩小投资者积极考虑购买的股票的范围。这些不同机制的一个重要结果是,凸显性和注意力对具有负面吸引力的股票产生了相反的预测。凸显性理论预测,这类股票的价格会被压低,并获得更高的未来回报,因为投资者会关注它们的下行风险。注意力假说则预测它们会变得价格过高,因为正面和负面的吸引注意力的事件都会导致散户投资者的净买入

作者进行了三个额外的测试,以区分基于凸显性和注意力对作者结果的解释。首先,作者构建了双重分类的投资组合,根据注意力代理变量将股票分为十等分,并在每个注意力组合中,根据凸显性措施ST进一步将股票分为十等分。作者每月对投资组合进行重新平衡,并对注意力变量的不同分位数中的ST分位数的收益进行平均。作者考虑了在整个样本期可获得的投资者注意力的四个代用指标:(i) 每个月内的最大绝对异常日收益(MAX |ABN DRET|);(ii) 月度绝对异常收益(|ABN RET|)( iii)每个月内的最大异常日交易量(MAX ABN DVOL); 以及(iv)月度异常交易量(ABN VOL)。极端收益和异常交易量已经被Gervais, Kaniel, and Mingelgrin (2001)和BarberandOdean (2008)等人作为投资者注意力的代用指标。作者将异常收益定义为股票收益与市场收益之间的差异。异常日(月)交易量的计算方法是一只股票的日(月)美元交易量除以其在t月之前12个月的平均日(月)美元交易量。表9的A组报告了双变量组合排序的结果。作者发现,无论用于排序的注意力替代物是什么,高ST和低ST十分位数之间的回报率差异在1%的水平上具有统计学意义

接下来,作者将注意力代理变量作为额外的控制因素纳入Fama-MacBeth回归中。表12的B组结果显示,在有注意力指标的情况下,ST和一个月后的回报之间的横截面关系仍然是负的,并且在1%的水平上具有统计学意义。ST的系数的大小也基本保持不变。

{w:100} {w:100}最后,作者把ST分成正负两部分,以检验凸显性模型和注意力假说对有凸显性缺点的股票的反向预测。当ST为正时,STPOS等于ST,否则为零。当ST为负数时,STNEG等于-ST,否则为零。作者取ST的负值,所以STNEG的数值越高,对应于ST的负值越大。在B组最后三列的Fama-MacBeth回归中,ST的两个组成部分都作为单独的回归因子被纳入。STPOS的负系数意味着具有正向上涨的股票往往会获得较低的未来回报。最重要的是,作者发现STNEG的系数凸显为正,这意味着ST越小,未来的回报就越高。正负ST对未来收益的相反影响与突出性理论的预测一致,但不能用注意力假说来解释

总而言之,作者发现ST和未来股票收益之间的负面关系对于控制投资者注意力的措施是稳健的。尽管作者的实证证据与凸显性理论一致,但作者认为注意力和凸显性都能影响交易决策和股票价格。注意力在选择过程的第一阶段,通过缩小可用股票的清单,在考虑集的构建中发挥了重要作用。凸显性通过影响投资者的回报预期来影响下一阶段在剩余股票中的实际选择

\

结论

作者提出了由实证证据推导的资产定价模型。在这个模型中,投资者将其有限的认知资源集中在一只股票最突出的回报上。在作者的框架中,投资者在形成对未来收益的预期时,对这些凸显的历史收益进行加权。由于凸显性引起的对注意力分配的扭曲,投资者被吸引到显著上涨的股票,对这些股票的超额需求导致估值过高,未来回报率降低。而具有显著劣势的股票则被低估,获得更高的未来回报

作者在美国股票的横截面特征上发现了对这些预测的强有力的经验支持。单一变量投资组合分析显示,过去一个月最高日收益率的股票在下个月的收益率低于过去最低收益率突出的股票。双变量组合分析和公司层面的Fama-MacBeth回归证实,在控制了公司特征之后,凸显性和未来股票收益之间的负截面关系仍然显著。与作者对结果的行为解释相一致,作者发现在套利限制较大、散户持有量较高的股票中,凸显性对未来收益的预测能力更强。作者的证据进一步表明,在投资者情绪高涨的时期,不成熟的投资者更有可能进入市场时,凸显性效应被放大。作者还发现,由于市场上其他股票的收益扭曲了投资者对某只股票未来收益分布的看法,凸显性效应会引起错误定价

虽然作者的证据与凸显性理论一致,但凸显性和其他决策理论不一定是相互排斥的。例如,来自前景理论的元素,如损失厌恶,可以很容易地纳入到凸显性模型中。研究凸显性理论对其他资产(如期权)的定价影响,为今后的工作提供了另一条富有成效的途径。

文献来源:

核心内容摘选自Mathijs Cosemans在Social Science Electronic Publishing上的论文Salience Theory and Stock Prices: Empirical Evidence。

风险提示

本文结论基于历史数据与海外文献进行总结;不构成任何投资建议。

标签

股票收益A股市场股票收益率
{link}