研报&论文

“学海拾珠”系列之五十四:基金公司内部的信息传播速度

由crisvalentine创建,最终由crisvalentine 被浏览 17 用户

报告摘要

主要观点

本篇是“学海拾珠”系列第五十四篇,本期推荐的海外文献研究了如何量化基金公司(基金家族)内部的信息传播速度,传播速度对业绩的影响,以及不同风格之间、同风格之间信息传播有何区别。得到了信息传播速度越快(尤其是不同风格之间信息传播速度越快),基金业绩越好的结论。回到国内主动权益基金市场,我们也可以衡量基金公司内部是否存在信息共享以及信息传播速度的快慢,并分析在不同风格基金经理之间的信息传播、同风格基金经理之间的信息传播是否对业绩有显著影响。

  • 内部信息传播(information diffusion,ID)的量化方法

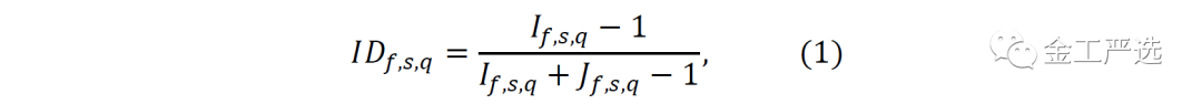
信息间隔(information interval)指在基金家族中,某只基金第一次购买某只股票到他从投资组合中去掉这支股票的时间区间。考察当股票s首次被加入家族f的资产组合中时,家族f中购买该股票的基金的数目和在信息间隔期间随后购买该股票的基金的数目,来计算内部信息传播(information diffusion,ID),ID越大意味着家族内部的信息传播的速度越快。当家族中的所有基金都在季度q购买了该股票时, ID值为1。只有首次购买的基金在季度q购买了该股票而家族中的其他基金都在随后的时间段里购买时,ID值为0。

  • 信息传播速度对业绩的影响

高信息传播速度的家族中的基金比低信息传播速度家族中的基金表现得更好。研究表明,不同风格之间的信息传播速度对于基金业绩有着正向的影响,因为不同风格基金经理之间有着能力和投资领域的互补性。而同种风格内部的信息传播速度对业绩没有任何正向影响,这可能是由于“搭便车”,基金经理不会那么努力地去提高信息的精度而导致的。

风险提示

作者结论基于历史数据与海外文献进行总结;不构成任何投资建议。

\

简介

组织内部及时的信息传播至关重要。例如,在一般的企业中,信息传播可以提高供应链管理的效率,缩短产品研发周期,促进高层应对市场环境变化进行的决策,从而对企业产生积极影响。然而,内部的信息快速传播也会有一些负面影响,快速信息传播总是让信息更加容易获得,这会促使组织中的一些成员“搭便车”(Cabrera和Cabrera 2002提出)。例如,一位部门经理如果能够快速知悉其他部门经理引入的创新技术,那么他不会那么努力去研发新的生产技术。因此,内部信息传播速度对传统公司的影响方向尚未有定论。从另一个角度出发,信息传播速度对商业组织绩效的影响很少有人研究,本文将证明,这一影响是正向的,内部的快速信息传播会提高基金业绩。

基金家族(Fund Family)是由同一家基金公司管理和销售的一组基金。大多数基金公司在其基金家族中提供各种各样不同投资目标的基金,以便投资者在基金家族内部进行低成本的多样化投资。

共同基金是一个非常适合研究信息传播速度对绩效影响方向的行业:第一,在该行业,内部信息传播速度的双重影响能够明显反映出来。一方面,高效的金融市场中证券价格能够迅速对新的信息做出反映,这使得及时的内部信息传播成为发掘交易机会的不可或缺的因素,另一方面,能够快速了解同事的投资想法的基金经理很容易搭同事的便车。第二,由于共同基金经理根据新信息进行交易,并且他们的交易可以根据定期报告观测,基金家族内部的信息传播速度的量化相对容易。而对于一般企业来说,无法获取详细的内部数据,量化一般企业内部的信息流动速度很难。第三,共同基金行业这一背景可以进行更多的分析。原因是,由于衡量基金业绩相对直接,对于基金家族,我们可以评价组织单位层面(也就是基金层面)的信息传播速度对于业绩的影响;而对于一般企业来说,无法得到组织单位层面的业绩数据,类似的详细分析很困难。

量化基金家族内部信息传播速度的方法简单直接。由于信息促使投资者进行交易(Milgrom和Stokey 1982提出),可以从家族中的共同基金的交易中追踪信息传播。也就是说,**在基金家族中引入某一个股票的新信息时,家族中的基金交易该股票的次序表明了在基金家族内部信息以多快的速度传播。在这个观点的基础上建立SID(信息传播速度)的量化公式。**SID不仅计算十分方便(依据基金持股量的变化),而且经得起直观的检验。经过本文的检验,如果家族中影响信息流动的阻碍越少,SID确实会更高。

本文的主要探索基金家族内部的信息快速传播是否会导致成员基金超常的业绩表现。这一问题的结果要看上文提到的两个截然相反的影响中的哪一个占主导。首先,快速的信息传播会能让经理快速获得家族中其他经理产生的信息。这会提高信息精度,从而有更出色的投资决策,也因此会有更好的业绩。然而,内部信息的快速传播促使基金经理搭同事的便车,不再努力获取更多信息或是增加自己的信息集的准确性,这可能会给基金的业绩带来负面影响。这个观点证明了Han和Yang (2013)的理性期望均衡模型,在该模型中,当获取信息需要付出的成本很高时,信息共享增加了交易者不去主动获取信息而是搭便车的动机,即获取所在的信息网络的成员产生的信息。这一消极影响可能会超过上述的信息共享的积极影响,这样,信息共享对于整个信息集的影响在均衡状态下是消极的。

本文研究了从2004年到2012年基金家族和主动管理的美国共同基金的样本。结果表明,快速的信息传播对于业绩的影响是正向的。**基于Carhart-alpha模型,高SID(相对于中位数)家族的基金的业绩每年超过低SID家族64个bp。**在控制了家族中产生的信息量,家族中基金相互交易的总趋势和所知道会影响业绩的其他基金和家族特点后,结论依然成立。这种对业绩的积极影响证明了一些基金家族积极减少信息障碍,增加内部信息流动速度的决策是十分正确的。

本文运用两个检验排除了内生性问题。第一,进行安慰剂检验,考虑指数基金的SID,排除了SID值受与信息传播速度无关的没有观察到的家族特征影响的可能性。考虑指数基金是因为它的交易不需要依赖信息,它们的业绩不受信息传播速度的影响。记录表明信息传播速度对指数基金的业绩没有显著影响,排除了SID受其他因素影响的可能性。第二,利用外生性因素导致的资产管理公司的并购对SID的冲击,检验因果倒置。通过双重差分法可以发现信息传播速度相应的改变会导致业绩的显著改变。这一发现支持了信息传播速度和基金业绩的因果关系。

{w:100}{w:100}{w:100}{w:100} {w:100}{w:100}{w:100}{w:100}本文对研究组织内的组织单元之间的信息转移和合作的文献做出了贡献。此类文献表明认识和利用组织单元之间的协同作用可以提高组织运作效率,改善资源利用效率和提升整体业绩(Gupta和Govindarajan 1986,Tsai和Ghoshal 1998提出)。以共同基金行业为例,量化个体之间信息转移的影响,本文对于这类研究做出了重要的贡献。研究结果表明,通过减少内部信息障碍,促进内部信息及时传播,企业可以达到个体之间的协同,全面提升业绩。

同时,研究也对基金公司的组织如何影响基金业绩的文献做了补充。众多研究表明,基金家族对于成员基金有着重要影响。本文对这类文献的贡献是,本文发现了以投资理念快速传播为特征的组织结构对家族中的基金有积极影响。

最后,本研究与关联交易和关联共同基金的交叉交易方面的文献有关。这些研究发现同一家族的基金之间存在着交叉交易。本文基于这类文献进行研究,发现共同基金的业绩不仅与家族中关联交易和关联共同基金的交叉交易的程度有关,而且与家族的基金之间信息传播的速度有关。具体来讲,本文最先发现,经理越早能够获得家族中产生的信息,基金业绩就越好。

\

数据及研究方法

数据来源

研究中有关基金收益,管理的总净资产,基金费用,基金年龄,投资对象以及基金的其他特征的数据均来自CRSP MF。如果获取的信息是股票层面的,则通过市值加权汇总到基金层面。利用CRSP MF中基金公司的代码的信息,将每只基金归类到它所属的基金家族中。

使用MFLINKS来合并CRSP MF数据和Thomson Reuters持仓数据。对于基金资产组合的持有量,本文只关注普通股(股份代码为10和11)的持有量,并且从CRSP月度股票数据库中获得这些股票的额外信息。

本研究的最后一个数据来源是MS Direct,该数据库提供了基金经理的信息,使用CUSIPS将MS Direct数据和CRSP MF数据与Thomson Reuters持仓数据合并在一起。对同一位经理的不同名字拼写进行手动核算,避免基金经理代码的重复。为了防止在不同的份额类别之间基金经理信息出现不一致的状况,研究比照了包含在SEC的表格485APOS和485BPOS中基金附加申明(SAI)中的经理的信息。

为了获得主动管理的美国股票基金样本,研究首先从数据集中剔除了所有国际基金、行业基金、平衡基金、债券基金、指数基金和货币市场基金。接着,剔除了所有持有普通股少于50%或者平均持有股票少于10的基金。剩下的基金根据它们在CRSP MF数据库中的主代码,分为六类(中盘股(EDCM)、小盘股(EDCS)、微型股(EDCI)、增长型(EDYG)、增长与收益型(EDYB)、收益型(EDYI))。最后,由于小家族中的基金经理互动可能与普通规模的家族中的互动不同,因此排除了所有非常小的基金家族的基金,即基金个数小于五的家族的基金。样本数据从2004年6月开始,也就是规定的报告频率从半年一次改为每个季度一次的时候,一直收集到2012年3月。最终的样本包含了159个基金家族和1708个基金。

基金家族内部信息传速量化

本文量化基金家族北部信息传播速度的方法基于一个基本的观点:快速的信息传播使得信息在组织内部快速地散布开来,从而基金经理能够同时立即进行交易;反之,缓慢的信息传播条件下,信息在组织内部缓缓传播开,使得基金经理们需要分次不断交易。

为了实现这一想法,本研究找到一个或多个基金经理把新的信息引入基金家族的情形。当单个或者多个基金购入还没有被家族中的基金持有的股票时,这种信息引入很有可能发生。根据Alexander,Cici,和Gibson (2007),这种引入信息的决定反映了“强正向估值信念”,这一信念被认为是由新信息引起的。如果在一段时间内,决定首次购买股票所依赖的信息没有改变,那么将这段时间称为一段信息间隔。首次购买股票的时刻即为信息间隔开始的时刻。只要最先购买经理人所产生的最开始的信息没有改变,经理就会在他们的资产组合中保留这一股票。换言之,只要至少一个最先购买该股票的经理从投资组合中去掉这支股票,就可以认为最初购买股票的信息有了新的变化,此时,这一支股票的信息间隔结束了。

为了计算家族内部的信息传播速度,本文估算了在发起股票购买之后家族中其他的基金在信息间隔中购买该股票的速度。具体来讲,本文统计了当股票s首次被加入家族f的资产组合中时,家族f中购买该股票的基金的数目和在信息间隔期间随后购买该股票的基金的数目。因此,关于单个信息间隔中信息传播可以表示为

{w:100}{w:100}{w:100}{w:100}I是在季度q购买股票s的家族f中的基金的数量,J是在信息间隔中后来跟进的基金的数量。由于只有当至少两个基金交易股票s的时候才有信息传播(I+J>1),信息传播的数值一定在0到1之间。数值越大意味着家族内部的信息传播的速度越快。一种极端情况是,家族中的所有基金在季度q购买了该股票时,那么ID值为1。另一种极端情况是,只有发起的基金在季度q购买了该股票而家族中的其他基金都在随后的时间段里购买,这时的ID为0。

{w:100}{w:100}{w:100}{w:100}

描述性统计

图表1中的表A是SID变量的统计数据,表B是基金层面和家族层面的关键变量的描述性统计。图表不仅列出了样本整体的信息,而且也展示了每段时期内高SID(大于中位数)和低SID(低于中位数)这两个子样本的信息。本研究还对子样本之间的平均差异进行了t检验。

{w:100}{w:100}{w:100}{w:100}从图表1中的表A可以看出,SID的平均值为0.39,**这表明了当一个基金家族引入一只新股时,在家族中所有购买该股票的基金中,将近40%是在信息间隔的最开始购入股票的,其余的基金随后跟进。**值得注意的是,SID有高达94%的序列相关性,这是由于形成了内部信息传播特点的家族特定的政策通常不会非常频繁地变动。图表1的表B表明,高SID的家族的管理的资产和家族中的基金数略大于低SID的家族。同时高SID的家族的投资对象也更多。

在基金特征方面,样本中基金平均规模为17亿美元,平均年龄16年,平均费率1.2%。虽然比较高SID和低SID家族时基金年龄和总费用率并没有显著的差异,但高SID家族明显规模更小(16亿美元与19亿美元相比)。同时,或许因为与家族中其他基金的及时信息交流利于他们可以更频繁地更新信息集,高SID家族的基金也明显有更多的交易量。

SID能否够衡量信息传播速度

本研究对SID是否能反映基金家族内部信息传播的速度进行了相关检验。在经理之间信息阻碍更少的家族中,信息传递更快,因此,根据经验,这类家族会有更高的SID。

在以下情况下,家族中会有更少的信息阻碍:(1)家族中的基金主要由机构内部的基金经理经营;(2)家族中有较少的基金经理;(3)基金经理之间的联系程度较高。受到经济学文献启发,本篇研究运用了以上这些因素作为衡量信息障碍的指标。外包基金的经理来自不同的机构,这使得机构内部的经理更不可能交流和分享观点。产业组织理论提出在公司内部而不是公司之间信息流动更快的观点(例如Arrow 1975提出),上述的逻辑推理和该观点相一致。因此,在有更少外包基金的家族中,信息障碍越少。第二,如果基金家族内部有更少的基金经理,同一个家族的经理更有可能彼此熟悉,经常交流从而减少协调的成本(Becker和Murphy 1992提出)。最后,当基金经理之间的联系程度更高,换言之,当基金经理更紧密地开展合作,他们更有可能相互交流,从而信息在基金家族内部更自由地传播。通过计算家族内部经理人网络的密度来量化经理相互联系的程度(Granovetter 2005提出)。具体来说,基金家族内部的经理人网络密度为共同管理至少一个基金而产生的经理之间联系的实际的数目除以所有可能的联系的数目的比值。通过以下混合估计来检验当信息障碍更小的时候SID更高的假设:

{w:100}{w:100}{w:100}{w:100}FamComm是主要的研究变量。它反映了可能会影响基金家族交流障碍的因素(家族中外包基金的比例,独立经理的数量和经理之间的联系程度)。X_{i,t-1}是控制变量的向量,用来控制基金家族中的一般差异,具体有经济家族管理的总净资产的对数,家族中基金数量的对数和家族内部不同投资对象数量的对数。所有的自变量都滞后一个季度。此外还引入了时间的固定效应和家族层面的分组标准差。回归的结果见图表2。

{w:100}{w:100}{w:100}{w:100}图表2中的结果支持了基金家族内部的信息传播速度与信息障碍负相关的假设。当家族外包更少的基金,有更少的基金经理并且经理们都密切联系时,基金家族内部的信息传播的速度就更快。这一结果证明SID可以衡量基金家族内部的信息交流的速度。

信息传播速度对投资业绩的影响

信息扩速能否改善基金业绩

为了检验快速的信息快播对于业绩的影响,本研究分别采用Jensen(1968)的单因子模型、Fama和French(1993)的三因子模型和Carhart(1997)的四因子模型作为量化基金业绩的方法。季度alpha是在该季度实际超额基金收益和预期超额基金收益之差(每一收益综合了这个季度的三个月的观测值计算而来)。由于费前收益率能够更好地反映基金经理的投资水平,因此使用费前收益率(年度总费用率的十二分之一与费后收益相加的结果)来计算alpha。一个基金在给定的一个月的预期收益率由通过过去十二个月估算得出的因子载荷和当月的因子收益这两组数据计算而来。

为了初步了解在基金家族内部的快速信息传播是否能够带来成员基金的优秀的表现,本研究对高SID家族和低SID家族中基金的平均业绩进行了单变量比较。可以发现,不管以何种方式量化业绩,高SID家族中的基金比低SID家族中的基金表现得更好。这一差距在统计学上至少有5%的显著水平,并且从经济学的角度看也是高度相关的。在Jensen(1968)的单因子模型、Fama和French(1993)的三因子模型和Carhart(1997)的四因子模型下,业绩的差异分别为每年21,47,55个bp。

更正式的测试中运用了混合回归的方法,考察季度t的基金业绩和季度t-1中相应的基金家族的信息传播的速度SID之间的关系,并添加了基金和家族水平的控制变量:

{w:100}{w:100}{w:100}{w:100} {w:100}{w:100}{w:100}{w:100}图表3是回归3和修改后版本的结果,修改后的版本将连续的SID值替换为了SID的虚拟变量,当t季度家族的SID值大于中位数时,该虚拟变量取值为1。

{w:100}{w:100}{w:100}{w:100}图表3的结果证实了快速的内部信息传播有利于基金的业绩。这符合高信息精度的及时的信息传播带来的好处超过了搭便车的相关成本的情况。无论是运用连续SID进行回归还是SID虚拟变量,研究发现信息传播速度与基金业绩正相关。该结果同样在经济上是显著的:控制了基金和家族的特征以后,SID超过中位数的家族中的基金要比来自SID小于中位数家族的基金每个季度在业绩上要高出至多16个bp,相当于一年要高出64个bp。

控制变量的系数表明,基金规模与基金的业绩负相关,这和与Berk和Green(2004)认为的共同基金行业规模不经济的观点相一致。基金年龄对于基金业绩有着积极影响。家族规模对业绩的影响也是正向的(与Chen 2004,2008年Pollet和Wilson 2008一致)。剩余的控制变量对业绩并没有显著影响。

安慰剂检验和识别检验

以上分析可能存在内生性问题。首先,没有观察到的家族特征可能会同时对SID的量化结果和基金业绩产生影响,这种影响会导致信息传播速度和业绩并不真的相关。通过安慰剂检验可以解决这一问题。第二,为了解决可能的因果倒置问题,采用了准自然实验的识别策略。

不同风格经理之间的信息流动和相同风格经理之间的信息流动

本节将检验有着相同投资风格的经理之间的信息流动对业绩的影响比不同风格经理的更小的假设。这一假设基于两个不同的观点。第一个观点为,相同风格的经理有相似的技能,并且他们会运用相似的投资分析和技巧。因此,无论相同风格的经理之间的信息流动多快,信息精度不可能会有很大的提升。第二个观点是,当信息在有着相同风格的基金经理之间快速传播的时候,由于经理们可能会投资他们共同的领域中相同的股票,因此经理往往更有可能搭对方的便车。这就会使得经理不会那么努力地去提高信息的精度。反过来讲,如果经理之间的技能和投资领域有着互补性,不同风格的经理之间的信息传播会增加信息精度。进一步来说,因为投资领域的重合度很低,这些经理能搭对方的便车的机会更少。

{w:100}{w:100}{w:100}{w:100} {w:100}{w:100}{w:100}{w:100}通过用这些新的值替换替换一般的传播速度SID,修改混合估计的方程(3)。图表4中呈现了结果。

图表4表明,**不同风格之间的信息传播速度对于基金业绩有着正向和重要的影响,而同种风格内部的信息传播速度没有任何影响。**此外,正如图表4底部展现的那样,不同风格之间的信息传播速度对业绩的影响明显强于同种风格内部。这一结果符合快速的信息传播有利于汇总互补性的观点和分析,这有利于提高信息精度,促进投资决策。图表4的数据也表明,由于不同风格基金经理之间快速的信息传播,他们更不可能搭便车。

\

管理者如何利用更高的信息精度

{w:100}{w:100}{w:100}{w:100}研究检验如下的三个假设。第一个假设是,为了利用好更高的信息精度,经理会进行更多的交易。第二个假设是,更高的信息精度会减少经理们对于公共信息的依赖。第三个假设认为由于更准确的信息带来的不可取代的优势,这些家族中的经理会持有与他们同行不同的资产组合(他们的同行指属于其他基金家族的同风格基金)。

为了进行相应的检测,需要对假设会被受到影响的基金活动进行量化。对于第一个假设,利用MF持股数据库计算普通股的季度换手率(Portfolio turnover)。这一指标的计算方法是用某一季度中买入和卖出的美元价值的最小值除以季度初与季度末的资产组合的总价值的平均值。将所得数值乘以4进行年化。 {w:100}{w:100}{w:100}{w:100} {w:100}{w:100}{w:100}{w:100} {w:100}{w:100}{w:100}{w:100} {w:100}{w:100}{w:100}{w:100} {w:100}{w:100}{w:100}{w:100}综上所述,本节的结果表明,由于在经理各自的家族内部快速的信息传播,有更高精度的信息的基金经理能够高度理性地利用自己的优势。这些经理人利用更准确的信息进行更多的交易,由于他们可以利用内部产生的相对更精确的信息,他们可以更少依靠外部产生的信息,同时,因为更准确的信息给他们提供了更独特的见解,经理人可以进行与同行不同的投资。

\

总结

本文研究了在共同基金家族内部信息传播速度如何影响成员基金的业绩。由于快速的内部信息的传播具有双重影响,信息传播速度对业绩的影响在此之前并不清楚。一方面,通过让经理快速获得组织中所有成员产生的信息,它可以帮助基金经理增加信息的精度。另一方面,它会激励一些经理搭同一个家族中的其他经理人的便车,工作不再那么努力。

通过运用一种量化家族共同基金家族内部的信息传播速度的直观方法,记录家族内部新引入的信息带来的相应的共同基金交易的序列,**本文表明信息以更快的速度在相应的家族内部传播有利于共同基金业绩的显著提高。**此外,基于家族交换和共同基金信息环境相应改变的检验验证了信息播速度和基金业绩之间的因果关系。

根据记录,当信息在不同风格的经理之间流动时,快速的信息传播对于基金业绩有更大的影响。这证明了快速信息传播有利于互补的见解的汇合,这能够提高信息精度,促进投资决策。同时,它也说明了不同的风格的经理之间的搭便车现象更少。

如预期的一样,信息在不同风格之间快速传播的家族中,经理往往会以一种理性的方式,通过进行更多的交易、更少地依赖公众信息和用不同于同行的方式投资的方式,利用信息精度增加带来的相应的优势。

综上所述,本文的研究结果对共同基金家族的组织结构有着重要的启发。这些结果表明,共同基金家族能够通过消除在基金经理,尤其是那些在不同市场部门投资的经理之间的阻碍信息传播的正式和非正式的信息障碍,来促进成员基金的业绩提升。

文献来源:

本文核心内容摘选自Gjergji Cici, Stefan Jaspersen, Alexander Kempf在《The Review of Asset Pricing Studies》上发表的论文《Speed of Information Diffusion within Fund Families》

\

风险提示

作者结论基于历史数据与海外文献进行总结;不构成任何投资建议。

标签

量化研究
{link}