Do Sell-side Analyst Reports Have Investment Value?
创建于 更新于
摘要
本文基于120万份2000-2023年卖方分析师报告,运用大语言模型(LLaMA3-8B等)将报告文本嵌入向量空间,通过岭回归预测未来12个月股票收益率。实证表明,基于叙事的预测组合产生显著且稳健的正收益,并超越分析师数值指标及传统因子,尤其对成长型高投资股票预测能力强。Shapley值分解显示战略展望部分贡献最大,揭示分析师叙事蕴含长期价值判断,市场对其消化存在缓慢性,支持了市场暂时性误价的解释。这一研究同时展示了LLM结合机器学习在投资领域的可解释应用价值[page::0][page::1][page::2][page::4][page::13][page::21][page::24][page::28]
速读内容
卖方分析师报告叙事具有显著的长期回报预测能力 [page::2][page::11]

- 基于LLM嵌入的文本预测在未来1到24个月内均表现出统计和经济显著性。
- 最高预测十分位组合年化超额收益约4.7%,最低组合亏损1.2%,组合收益差异达5.9%。
- 预测能力独立于传统分析师数值修正、推荐变动和简单情绪指标。
叙事驱动的多空组合表现强劲 且持久 [page::13][page::14]

- 基于过去12月报告预测构建的多空组合月均收益达1.04%,Fama-French六因子alpha为0.68%。
- 组合在金融危机和2022年后出现回撤,但整体策略长期复合回报超过800%。
- 使用不同持有期平滑信号显著降低换手率,交易成本调整后依然盈利。
叙事信息提供对现有因子和分析师信号的增量预测价值 [page::14][page::15]
| 策略组合 | 平均月收益 | 夏普率 | IR (相对) |
|--------------------|------------|--------|-----------|
| 叙事信号 (RP) | 1.07% | 0.71 | - |
| 分析师因子 (ANA) | 0.27% | 0.48 | - |
| 基本面因子 (ANOM) | 1.34% | 1.03 | - |
| RP+ANA | 0.67% | 0.90 | 0.73 |
| RP+ANA+ANOM | 0.89% | 1.60 | 1.23 |
- 叙事预测的alpha在多种资产定价模型下显著,非简单风险补偿。
- 与94个基本面特征和18个分析师因子合并时仍保有统计和经济显著的表现。
排除前瞻性偏差,模型预测能力严谨稳健 [page::15][page::16][page::29]

- 通过使用不同模型训练截止时间的LLM(ChronoGPT1999与2024等)验证,排除向前看偏差。
- 模型仅用知识截止期以后的数据测试,均维持优异表现。
投资价值主要集中于成长型高投资企业 [page::16][page::18][page::30]

- 大盘、成长股、高投资和高盈利能力公司聚集了叙事预测的主要超额收益。
- 与分析师特征(经验、覆盖宽度等)无关,表明信息源自公司基本面而非个别分析师能力。
叙事信号不是基于市场短期反应的PEAD效应,也非简单情绪反应 [page::19][page::20]
- 最高叙事预测组反而关联最低的盈余惊喜和最弱的公告后市场反应。
- 传统情绪指标及公告期交易策略均不能有效复制叙事因子的预测表现。
- 叙事内容多反映长期战略与基本面判断,市场逐步消化过程。
Shapley值分解揭示战略展望为叙事价值核心驱动力 [page::21][page::22][page::23]
| 内容类别 | 占文本比例 | Sharpe比率贡献 | 收益贡献 |
|--------------------|------------|----------------|----------|
| 战略展望 | 15.13% | 41.34% | 31.43% |
| 公司与行业概述 | 28.53% | 27.61% | 26.92% |
| 财务分析 | 36.56% | 16.39% | 19.53% |
| 风险与治理 | 14.14% | 11.21% | 21.36% |
| 其他内容 | 5.63% | 3.44% | 0.77% |
- 仅基于战略展望构建的组合月均收益1.41%,显著优于其他内容类别。
- 战略展望中长期、积极的基本面判断贡献最大,风险提示贡献较少。
结论总结 [page::24]
- 卖方分析师报告中的叙事文本包含且挖掘出除传统数值外增量的长期股票预期收益信息。
- 市场对叙事所反映长期战略基本面的反应是渐进的,存在短期市场情绪过度反应导致的暂时误价。
- 现代语言模型辅助的文本解析能有效提炼投资价值信息,助力投资决策和资产定价研究。
深度阅读
金融研究报告详尽分析报告
报告标题:《Do Sell-side Analyst Reports Have Investment Value?》
作者:Linying Lv
发布时间:首稿2025年1月,当前稿本2025年8月
研究对象:卖方分析师报告(Sell-side Analyst Reports)及其投资价值
报告机构及发表背景:报告基于Thomson Reuters Investext数据库中2000-2023年约120万份卖方分析师报告,结合大型语言模型(LLM)和机器学习(ML)预测分析提出。
---
一、元数据与报告概览
该报告探讨卖方分析师报告中“文本叙述信息”是否包含可被有效利用的增量投资价值。作者通过使用大型语言模型(LLMs)对分析师研究报告的文本内容进行深度语义嵌入,并结合机器学习对未来长期回报率进行预测,构建基于叙述预测的投资组合,实证验证这些文本信息在预测股票回报中的增量价值。报告核心观点包括:
- 卖方分析师报告的文本叙述携带独立于数值指标(如目标价、推荐评级、盈利预测)之外的长期投资信息,显著提高了回报预测能力。
- 在负面消息后,叙述信息价值尤为突出,且对激进投资的成长股效果更佳。
- 使用Shapley值分解方法,作者揭示“战略展望”部分对投资组合表现贡献最大,证明分析师的前瞻性基本面评价是主要价值来源。
- 研究通过多个角度排除前瞻性信息泄漏风险,表明叙述预测能力来自真实的分析能力。
作者还强调,基于LLM+ML的解读框架能扩展和提升人类投资判断,实现投资研究的智能化定量分析。
---
二、报告逐节剖析
2.1 引言与研究动机
报告以2020年波音股价崩盘为案例,说明分析师报告数值层面目标价、推荐评级迅速下调,但文本叙述反映了对长期基本面的乐观看法。随着市场价格回弹,波音个案提示:分析师叙述信息反映了超越短期视角的长期价值评估,暗示文本内容可能蕴含难以量化、但潜在重要的投资信息。现有文献多关注量化指标,较少深入挖掘叙述的投资价值。作者因此采用LLM对120多万份报告进行语义嵌入,结合机器学习预测未来12个月股票回报,检验叙述信息的增量贡献,并运用Shapley分解剖析价值来源。[page::0,1]
2.2 数据与方法论
数据来源与处理
- 1,194,330份2000-2023年间覆盖标普1500公司的卖方分析师报告(来源Mergent Investext)
- 分析师数值输出及修订数据(建议评级、EPS预测、目标价)来自I/B/E/S数据库
- 通过分析师映射和5天窗口匹配,合并文本与数值数据
- 控制变量包括94个特征指标(Gu et al. 2020定义),18个分析师信息因子(Chen & Zimmermann 2022)
文本信息提取
- 使用LLaMA3-8B模型提取报告文本的4,096维度嵌入向量(句子层平均32层transformer嵌入)
- 应用带岭回归的线性模型预测未来12个月(12m)股票收益,基于逐月扩展窗口滚动训练,严格防止数据泄漏和过拟合
主题分类与归纳
- 设计17个相互排斥的话题类别,将句子精细分类(基于监督微调BERT模型,89%准确率),后聚合成5大类:
1. 公司与行业概况
2. 财务分析
3. 战略展望
4. 风险与治理
5. 附加内容(附录、披露、无主题)
该方法优于常规无监督主题模型,避免了行业术语偏差和风格语言干扰。词云分析显示各主题在语义上高度一致且经济内涵清晰。[page::6-8]
Shapley值分解
- 用于量化各主题对投资组合表现的贡献,避免主题间交叉作用产生误判。
- 以句子权重加权计算主题嵌入,依据所有主题子集组合计算性能增量,最终归约至五大主题分类,为策略制定提供内容层面解释。
---
三、报告内容深度解读
3.1 投资价值量化
3.1.1 未来回报预测能力
作者建立了基于文本嵌入的预测信号$\hat{RET}_{12m}$,随后通过截面回归分析预测信号与实际未来回报间的关系。结果显示:
- 该文本预测信号与未来1到24个月回报呈稳定显著正相关,12个月回报对应系数约为0.60%,24个月提升至1.14%,表明市场对文本信息的价格反应为长期渐进式吸收。
- 叙述预测信号显著优于推荐评级修正、盈利预测修正、目标价修正及简单情绪指标(Sentiment Tone),后者均无显著预测能力。
- 用每日基于文本预测的分组投资组合跟踪发现,最高预测组合累计异常收益率高达4.7%,最低组亏损达1.2%,高低组间收益差异为5.9%,回报分化随时间稳步扩大。
- 多种语言模型(BERT、RoBERTa、LLaMA、ChronoGPT1999)均验证了此预测能力,且截面表现一致。
以上说明分析师报告叙述包含超出传统量化指标的独特长线投资信息。[page::10-12]
(图1支持该论点:高预测组合与低预测组合的累积异常收益率走势截然不同)

3.1.2 长短组合表现
- 构造基于过去$LB$个月分析师报告12月回报预测平均值的分组投资组合,测算9、12、18、24个月回顾窗口内组合表现。
- 无论$LB$取值,长短组合月平均回报介于0.87%-1.16%,夏普率0.62-0.69,12个月回顾窗口组合表现最佳,alpha显著达0.68%。
- 组合换手率随窗口加长显著下降,12个月窗口换手率约28%,24个月则降至18%,降低交易成本,提高经济效益。
- 调整实际交易成本后(35bps-60bps区间),策略仍保持统计显著的正收益,表明经济可实现性强。
- 累计复利表现显示该策略2005-2024年累计回报达846%,相比市场超额回报的399%显著优越。长仓贡献最大,空仓回报较小但为正,验证其择股能力。
(图2直观展示组合净值增长趋势及部分周期回撤情况)

3.1.3 增量投资价值
- 通过四个经典风险因子模型(Fama-French 5因子及6因子、q因子模型、行为因子模型)调整后,文本预测信号仍产生统计显著alpha(0.73%-1.21%),显示收益非系统风险补偿。
- 结合18个分析师基于数值信号的因子及Gu等(2020)的92个特征因子,文档叙述信号依然显著提升投资组合表现,组合信息比率提升至1.23,证明叙述信号具有独立且重要的预测增量价值。
(表5详细展示组合在不同因子模型下的alpha与信息比率表现)[page::14-15]
3.1.4 核验未来信息泄露偏误(Lookahead Bias)
- 针对LLM可能预训练时获取未来信息带来的偏误,作者设计多重测试策略:
1. 使用ChronoGPT1999和ChronoGPT2024两版本(仅差知识截止日期),后者未显著优于前者,反驳预训练泄露假设;
2. 在各LLM的知识截止时间后期段独立测试,表现依旧强劲;
3. “公司及行业概述”部分不具备预测能力,排除简单知识复制。
结果表明投资价值来自真实分析能力,不是训练数据未来信息泄漏。[page::15-16, 36]
3.2 投资价值的来源及异质性
3.2.1 股票特征与分析师特征
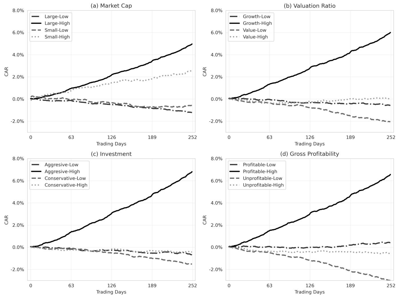
- 叙述预测信号的表现受股票特征显著影响,主要集中在大市值、成长型(低账面市值比)、高盈利、高投资的公司。
- 分析师特征(预测准确性、经验、覆盖范围、所在券商规模)对预测表现影响不显著,表明增量价值来自整体分析师群体的集体智慧,而非个别明星分析师。
- 因子回归显示策略偏低价值和投资因子(负值和投资暴露),进一步印证其成长股的倾向。
- 行业相关性显示材料业务设备及消费耐用品行业预测表现较好,而防御性行业无显著相关性。
(图3展示不同股票特征子集的投资组合累积异常收益,明确成长大股群体内差异明显)

(图A3分析分析师特征异质性对预测能力影响微乎其微)[page::16-19]
3.2.2 同期市场新闻与事件反应
- 作者检验叙述预测信号是否简单反映或复刻“盈余公告后漂移”现象(PEAD)。
- 发现高叙述预测值组近期盈余惊喜偏低且公告窗口异常收益(CAR[0,+1])反而负,且分析师推荐、盈利及目标价修订与叙述预测呈负相关关系。
- 该逆相关表明叙述信号捕捉的是短期市场过度反应负面消息后,长期基本面复苏的预期,非PEAD简单延迟。这种定价模式更倾向于市场逐步修正短暂信息误读而非对风险的传统补偿。
- 简单基于情绪、推荐变化的策略均难复制叙述预测信号的投资回报,说明文本叙述捕捉的复杂语言信息超出传统情绪指标范围。
(表10、表A7分别统计了上述分析的具体数字及其统计显著性)[page::19-21]
3.3 价值内容细分——Shapley值分解结果
3.3.1 内容分布及价值贡献
- 内容覆盖比例最大的是“财务分析”(36.5%内容)和“公司/行业概述”(28.5%)
- 然而投资价值贡献最大的是“战略展望”部分,占据了41.3%的夏普率贡献和31.4%的收益贡献,远超财务分析的16.4%夏普率贡献。风险与治理虽占14.1%内容,但贡献也远逊于战略展望。
(表11展现细节统计)
3.3.2 战略展望内容结构分析
- 基于时间维度分类:长期视角贡献超过49%的组合表现份额,短期视角贡献占27%,两者兼具占24%。
- 情绪维度:正向情绪内容贡献近50%表现,负面与中性各约25%。
- 焦点维度:以基本面分析为主导(约87%贡献),风险讨论仅占13%,显示价值主要来自于对公司长期基本面看法。
(表12展示详细Shapley分解结果)
3.3.3 各类别投资组合表现对比
- 仅基于战略展望内容构建的长短组合,加权平均月回报1.41%,夏普率0.93,alpha显著达到0.72,显著优于其他内容类别。
- 公司/行业概述、财务分析、风险治理类别表现均较弱,均在0.5%-0.6%月回报区间,alpha较低或不显著。
- 战略展望内容因其集中体现对未来成长和估值的前瞻性判断,市场在短期内对其反应滞后,导致持续的套利空间。
(表13及附录A8、A9支持其鲁棒性及无未来信息泄露的结论)[page::21-24]
---
四、图表深度解读
图1(页28)
展示了基于研究报告预测收益的顶底组合252个交易日的累计异常收益率。数据显示最高预测组持续跑赢基准,收益累积达到4.7%,而最低组则表现差,跌幅约1.2%,两组差值5.9%。走势稳定上升,印证时间渐进吸收叙述信息。图形直观展示了叙事信号强大的预测能力。
图2(页29)
显示基于过去12个月研究报告预测构建的长短组合复利净值,累计增长846%,远超市场399%。图中也标出主要经济周期(2008年金融危机和2022年调整),给出市场整体环境下策略最大回撤。此图体现策略长期稳定收益和韧性。
图3(页30)
细分股票特征(市值、账面市值比、投资、盈利能力),图中分别展示不同组合累计异常收益。成长股、高投资、高盈利、且大市值的高预测组表现最优,累计回报率高达6%。而小市值、价值型、消极投资和低盈利组表现平平,凸显策略对成长高质量公司特征的聚焦。
A1单词云(页44)
四大主题类别关键术语词云,验证主题模型的经济合理性,例如战略展望集中于“增长(growth)”、“目标(target)”和“估值(valuation)”,财务分析突出“收入(revenue)”,“销售(sales)”,风险治理聚焦“风险(risk)”及“管理(management)”。
---
五、估值分析
报告中未涉及传统估值模型对公司整体估值的再造,而是通过LLM文本嵌入加机器学习建立基于未来回报的预测模型及投资组合构建。
不过在战略展望的文本主题中,包含对公司估值的讨论,涉及目标价估计、DCF估值等传统方法的语言描述,为模型背后的投资判断提供语义基础,为投资组合价值发现提供基础。
---
六、风险因素评估
- 主要风险围绕短期信息的过度反应导致市场误判,叙述信息的价值部分体现在解释并捕捉这种误价纠正过程。
- 通过众多检验,排除了模型的未来信息泄露、过分依赖市场情绪或盈余公告漂移等因素风险。
- 投资分布于成长股及周期性行业的特征增加了系统性风险暴露的可能性,但多因素模型调控后策略依然显著,表明风险因子无法完全说明表现。[page::4, 19-20, 24]
---
七、审慎视角与细微差别
- 报告中对Lookahead Bias的验证较为充分,结合多个LLM和时间截面等设计严密,减少了训练信息泄露的疑虑。
- 然而,依赖LLM嵌入表征文本信息虽精细但仍存一定的语义误差,尤其对于分类器89%准确率提示了少量信息噪声,可能导致信号弱化但较难带来虚假预测。
- 文本与数值输出间的不一致及其对未来回报预测的贡献,提示市场对多元信息的吸收存在非典型动态,须进一步探究投资者行为修正的机制。
- 报告未直接比较不同分析师与市场内其他信息来源的交叉验证,未来研究可深化对叙述价值来源的内部结构解构。
---
八、结论性综合
本研究系统验证了卖方分析师报告的文本叙述内容具有显著的投资价值,超越了传统基于数值的预测指标。
通过对超百万份分析师报告文本的LLM嵌入及机器学习预测,构建了多元稳健的长短组合,获得了显著的风险调整后超额收益(年化alpha约7-12%)。这一价值在负面市场信息出现后更为突出,且主要集中于成长股、投资积极的标的。
创新的Shapley值分解方法揭示,投资价值主要来源于“战略展望”这一板块,强调了分析师前瞻性基本面判断的不可替代性。该机制与市场对复杂长线信息定价缓慢形成了对照,支持市场存在信息处理不完全及暂时误价的观点。
此外,研究充分排除未来信息泄露与简单情绪驱动的可能性,确保结论的可信度。
此工作不仅拓展了分析师报告的研究边界,也展示了利用现代自然语言处理与机器学习技术在资产定价领域的巨大潜力,对量化投资与市场效率研究均具有重要启示。
作者最终主张,面向未来的证券分析应结合人类判断与机器智能,实现研究叙述的量化与应用,推动投资决策升级。
---
附录关键表格和图示索引
- 表1-13、A1-A9详尽报告了数据规模、模型回归、投资组合表现及Shapley分解等统计指标,支撑全文结论。
- 图1-3及A1-A3等图形清晰呈现盈余差异、组合收益轨迹及主题词云,增强论据的直观理解。
---
参考图表示例

图1:基于分析师研究报告叙述预测的股票异常收益走势分布

图2:基于12个月报告预测的投资组合累计净值增长,显示策略在主要经济周期的表现

图3:基于股票特征分割的报告预测异常收益累计表现,突出成长大公司优势
---
综上所述,本报告在分析师投资研究的文本内容中,利用先进的自然语言处理技术与机器学习方法,实证确认了卖方分析师叙述内容对未来长期股票超额回报的预测能力,并详细揭示其背后主要价值驱动力与市场互动机制,为资产定价和证券分析研究注入了崭新视角和技术路径。该研究具有较高的理论价值和实际应用前景。
[page::0,1,2,3,4,5,6,7,8,9,10,11,12,13,14,15,16,17,18,19,20,21,22,23,24,28,29,30,31,32,33,34,35,36,37,38,39,40,41,42,43,44,45,46,47,48,49,50,51,52,53,54,55,56,57]