How AI Agents Follow the Herd of AI? Network Effects, History, and Machine Optimism
创建于 更新于
摘要
本文研究LLM驱动的多智能体在具有网络效应的重复决策博弈中的行为,发现:无历史信息时代理无法收敛到理论均衡;有序的历史(上升/下降价格序列)可在弱网络效应下部分恢复均衡,但强网络效应会导致持续的“AI 乐观”(agents高估参与),且随机化历史会完全破坏收敛性,表明历史的组织方式本身成为影响机器博弈结果的关键变量 [page::0][page::6]
速读内容
静态基准:无历史时代理不收敛 [page::3]

- 描述:非重复的一次性游戏下,无论弱网络效应(β=0.25)还是强网络效应(β=0.75),LLM代理的期望分布高度分散,均值偏离理论 FEE 曲线,表明代理难以基于规则内生出递归推理能力 [page::3].
- 含义:仅依靠即时规则与个体参数,LLM代理无法重构其他人的期望并实现 fulfilled-expectation equilibrium [page::3].
有序历史(固定价格)可部分收敛,但存在 AI 乐观 [page::4]

- 结果:在固定价格的重复博弈下,弱网络效应时代理在若干轮后向理论参与水平收敛(例如 N=6 或 N=4),但在低均衡(N=2)仍表现出残余乐观偏差 [page::4].
- 强网络效应影响:当 β 增大(β=0.75),即便提供历史参与数据,代理仍普遍高估参与人数,历史信息无法抑制对“集体收益”的过度预期 [page::4].
价格上升/下降路径揭示历史顺序效应 [page::4][page::5]

- 上升价格(ascending):弱网络效应下,随着轮次推进代理均值呈现向下斜率并趋近理论曲线,但在强网络效应下仍显著高估参与,价格信号被“AI 乐观”削弱 [page::4].
- 下降价格(descending):价格从高到低时,收敛性通常更好,尤其在低价/高 β 的“甜 spot”下代理显示高参与预期,表象上与理论一致但可能源于有利激励而非深层理性理解 [page::5].
随机化历史会破坏学习(时间连贯性重要)[page::5]

- 结果:当价格序列被随机打乱时,无论 β 强弱,代理均无法从历史中归纳因果关系并收敛到 FEE,说明 LLM 的“推理”高度依赖于时间上连贯的数据呈现方式 [page::5].
- 启示:相比人类,LLM 在因果归纳与鲁棒性上存在弱点,历史的呈现(ordering/format)成为影响机器决策的设计变量 [page::5].
实验设计与可重复性要点 [page::1][page::2]
- 模型与参数:使用 Qwen 系列(Qwen-2.5-1.5B、Qwen-turbo、Qwen-max)作为代理后端,temperature=0.7,并对理解游戏规则做了事前验证 [page::1].
- 流程:6 位代理(θ=1..6)、管理者公布每轮价格 p 与历史总参与数 N,测试四种价格路径(固定、上升、下降、随机),每种路径重复 10 次以统计稳健性 [page::2].
深度阅读
元数据与概览(引言与报告概览)
- 发表/稿件性质与主题:本文为学术实验报告,主题聚焦于基于大语言模型(LLM)的多主体系统中“网络效应”博弈的决策行为,重点考察历史信息(price–participation trajectories)如何影响AI代理的期望与收敛行为。[page::0]
- 研究设计摘要:作者通过构建六人会议出席的网络效应博弈、使用Qwen系列三款模型(Qwen-max、Qwen-turbo、Qwen-2.5-1.5B)、并在静态与动态(四类价格轨迹:固定、上升、下降、随机)设置下重复实验,以评估历史数据格式和网络强度对代理期望的影响。[page::1] [page::2]
逐节深度解读
1) 引言(Section 1)
- 推理依据:作者将网络外部性情景(个体效用依赖他人参与数)与LLM的“in-context learning”能力结合,假设LLM既会利用历史也可以被历史的组织方式所影响,从而影响集体均衡的实现。[page::0] [page::2]
2) 规范示例与模型设定(Section 2)
- 关键参数与含义:n=6;θ_j 为个体 standalone value(在实验中被设为1到6分配);β 表示网络效应强度(弱 0.25,强 0.75 为本文两种情形);p 为价格/成本。该设定便于映射到现实如技术采纳或市场参与问题。[page::1]
3) 实验设置(Section 3)
- 管理者与代理机制:存在一个 manager 控制游戏流程、设定p并记录决策、仅向代理汇报每回合的总参与数;六个LLM代理各自知道自己的θ但看不到他人即时选择,只能基于历史聚合统计与当前p做出关于他人参与的期望 N*。[page::2]
图表与图像逐一深度解读(关键环节)
说明:以下每一图的原文图像均嵌入并以报告提供的相对路径展示以便溯源与可视核验。
Figure 1 — Static Game 基准(图像)
[page::3]
- 解读要点:
- 文本指出:在无历史(静态)条件下,LLM代理的期望高度分散,均值并不随价格上升而显著下降,整体偏离FEE曲线,表明代理不能内化价格→参与的因果关系。[page::3]
- 视图说明:箱线图的中位数与四分位区间在不同价格点并无一致的向右下滑趋势(即期望人数不随价格增加而一致下降),这支持作者关于“缺乏递归推理能力”的论断。[page::3]
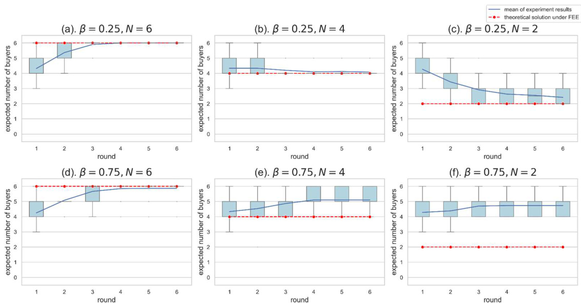
Figure 2 — Fixed Price / Dynamic Setting(收敛行为)
[page::3]
- 解读要点:
- 弱网络效应(β=0.25):对于高参与的价格(N=6 与 N=4 对应的低p),代理在若干轮后趋近理论值(例如 p=2.24 在三轮内对N=6 收敛),但在低参与情景(N=2,对应高价)仍然表现出保留与“乐观偏差”,即完成收敛速度慢且箱线显示持续分散。[page::3]
- 强网络效应(β=0.75):即便有历史数据,代理常常保持对高参与的期待(例如期望甚至高于N=6 的水平),因此历史信息无法纠正对过度参与的高估,此现象被作者标记为“AI optimism”。[page::3]
Figure 3 — Increasing Prices(上升价格轨迹)
[page::4]
- 解读要点:
- 在弱β条件下,随着历史样本累积(价格逐轮上升),代理均值呈下坡趋势并逐步向FEE靠拢,表明有序历史帮助LLM推断价格因果关系并修正期望。[page::4]
- 在强β条件下,即便历史显示价格升高且理论应降低参与,代理仍持续高估参与(例如在最高价处理论预测N≈1但代理期望仍约N≈4),再次支持“AI optimism”在强网络依赖下凌驾于证据之上。[page::4]
Figure 4 — Decreasing Prices(下降价格轨迹)
[page::5]
- 解读要点:
- 随着价格降低,代理收敛性整体改善;在弱β下,代理逐步对齐FEE;在强β下,当价格极低且网络效应强时,代理也会趋于高参与,这既可能是合理学习(低p + 高β → 高N),也可能与AI optimism共振,使得“看似合理”的收敛并不完全等同于正确的因果推理。[page::5]
- 作者指出的“甜点区”(low p, high β)可能导致表面上的理论对齐,但无法断定这是否真反映理性推断或只是 favorable condition 与乐观偏差的叠加。[page::5]
Figure 5 — Random Price(随机价格轨迹)
[page::5]
- 解读要点:
- 在随机历史下,无论网络效应强弱,代理皆难以从无序的历史样本中抽取价格—参与的稳定模式,表现为均值与箱线在价格点间波动显著且总体上不趋向理论FEE。[page::5]
- 该发现支持作者关于“时间连贯性”(temporal coherence)对LLM推理重要性的主张:LLM更依赖历史的序列性和可解释性来进行模式归纳,而非像人类那样即便在噪声中也能维持因果推断能力。[page::5]
估值分析(不适用)
风险因素评估(基于报告识别)
- 设计性风险:实验中 manager 仅回传总参与数而非个体行为记录,这一选择有助于模拟隐蔽性信息环境但也可能放大代理的猜测行为,从而影响实验外推性;报告在方法中明确了这一设计。 [page::2]
批判性视角与方法细节(审慎观点)
- 提示工程与初始化信息的影响:文中提到在实验前通过迭代prompt确保模型理解规则,但未详述prompt的具体文本、上下文长度与示例,这些细节可能显著影响代理行为空间(提示偏差问题)。该方法学透明度的不足是对结果稳健性的一项潜在弱点。[page::1]
- 历史重排作为“战略变量”的道德/系统性后果:作者提出历史如何被组织会改变AI预期,这一发现提示在真实系统中数据采集、展示与审查策略本身具有“操纵”效果,但报告尚未展开对治理或缓解机制的系统讨论(这留作未来工作)。[page::0] [page::6]
结论性综合(全文要点回顾)
- 图表的深刻见解:所有图(Fig.1–5)一致表明——时间连贯的历史(ascending/descending)能为LLM提供可归纳的路径,从而在某些参数区间恢复理论趋势;但当网络效应放大(β↑)时,历史信号被代理对“潜在集体收益”的偏好所压制,导致持续高估参与的系统性偏差(AI optimism)。[page::3] [page::4] [page::5]
- 最后评述:该报告以可重复的实验框架、清晰的参数化设置和一系列对比情景提供了关于LLM代理在网络化交互中行为的初步定量证据,尽管在模型多样性、提示透明性和个体层面行为解析方面仍有改进空间,但其核心结论关于“历史组织即为战略变量”的主张具有足够的实验支持和理论警示价值。[page::2] [page::6]
若需我可进一步:
- 基于报告方法复现一组不同LLM(如GPT系、Claude系)以测试结论的跨模型稳健性。
- 报告标题与作者:How AI Agents Follow the Herd of AI? Network Effects, History, and Machine Optimism;作者为 Yu Liu、Yifan Dou、Wenwen Li、Guangnan Ye,均来自复旦大学,并提供了联系邮箱。[page::0]
- 发表/稿件性质与主题:本文为学术实验报告,主题聚焦于基于大语言模型(LLM)的多主体系统中“网络效应”博弈的决策行为,重点考察历史信息(price–participation trajectories)如何影响AI代理的期望与收敛行为。[page::0]
- 报告核心论点(总结):作者提出并实证三点主要发现:1)无历史数据时,LLM代理无法推断出理论均衡(FEE);2)有序历史(如价格上升序列)在弱网络效应下可部分促成收敛,但在强网络效应下会出现持续的“AI optimism”(代理持续高估参与);3)随机化的历史顺序会完全破坏收敛,表明时间连贯性对LLM推理至关重要。[page::0] [page::6]
- 研究设计摘要:作者通过构建六人会议出席的网络效应博弈、使用Qwen系列三款模型(Qwen-max、Qwen-turbo、Qwen-2.5-1.5B)、并在静态与动态(四类价格轨迹:固定、上升、下降、随机)设置下重复实验,以评估历史数据格式和网络强度对代理期望的影响。[page::1] [page::2]
逐节深度解读
1) 引言(Section 1)
- 关键论点:传统博弈理论(如Fulfilled Expectation Equilibrium, FEE)假定人类在推理上是同质且能达成一致预期,而当把“玩家”替换为LLM代理且其可编程地接收或重排历史时,这些假设可能不再成立,历史的呈现方式本身成为一个战略变量。[page::0]
- 推理依据:作者将网络外部性情景(个体效用依赖他人参与数)与LLM的“in-context learning”能力结合,假设LLM既会利用历史也可以被历史的组织方式所影响,从而影响集体均衡的实现。[page::0] [page::2]
2) 规范示例与模型设定(Section 2)
- 游戏结构:6名学者决定是否出席,行动集{Attend, Not Attend},每位学者的效用为 Uj(θj) = θj + β N − pj,当效用非负时选择出席,N为最终出席人数但回合内不可见,依赖期望(FEE概念用于解析此循环依赖)。[page::1]
- 关键参数与含义:n=6;θ_j 为个体 standalone value(在实验中被设为1到6分配);β 表示网络效应强度(弱 0.25,强 0.75 为本文两种情形);p 为价格/成本。该设定便于映射到现实如技术采纳或市场参与问题。[page::1]
3) 实验设置(Section 3)
- 模型与超参数:使用Qwen-max(高性能)、Qwen-turbo(中等)、Qwen-2.5-1.5B(轻量基线),统一将温度设为0.7,并在实验前通过迭代prompt确保模型理解规则与效用结构。[page::1]
- 管理者与代理机制:存在一个 manager 控制游戏流程、设定p并记录决策、仅向代理汇报每回合的总参与数;六个LLM代理各自知道自己的θ但看不到他人即时选择,只能基于历史聚合统计与当前p做出关于他人参与的期望 N*。[page::2]
- 两类实验模式:Static(非重复,隔离初始反应)与 Dynamic(重复,包含历史学习);四类价格轨迹(固定、上升、下降、随机),每条轨迹重复10次以保证可比性。[page::2]
图表与图像逐一深度解读(关键环节)
说明:以下每一图的原文图像均嵌入并以报告提供的相对路径展示以便溯源与可视核验。
Figure 1 — Static Game 基准(图像)
[page::3]- 描述:图1 在两个网络效应强度下(a: β=0.25;b: β=0.75)绘制理论FEE(红色虚线)与实验中代理期望的箱线图与均值(蓝线)。[page::3]
- 解读要点:
- 文本指出:在无历史(静态)条件下,LLM代理的期望高度分散,均值并不随价格上升而显著下降,整体偏离FEE曲线,表明代理不能内化价格→参与的因果关系。[page::3]
- 视图说明:箱线图的中位数与四分位区间在不同价格点并无一致的向右下滑趋势(即期望人数不随价格增加而一致下降),这支持作者关于“缺乏递归推理能力”的论断。[page::3]
- 限制与备注:图仅展示聚合(箱线)与均值,未给出单代理决策轨迹或样本量细节,这限制了对个体差异来源(例如模型间或提示敏感性)的更细粒度判断(原文未展开该点)。[page::3]
Figure 2 — Fixed Price / Dynamic Setting(收敛行为)
[page::3]- 描述:六个子图显示在固定价格下,不同β与目标N组合(β=0.25 的 N=6,4,2 与 β=0.75 的 N=6,4,2)随回合的期望演化(蓝线+箱线),红点为理论值。[page::3]
- 解读要点:
- 弱网络效应(β=0.25):对于高参与的价格(N=6 与 N=4 对应的低p),代理在若干轮后趋近理论值(例如 p=2.24 在三轮内对N=6 收敛),但在低参与情景(N=2,对应高价)仍然表现出保留与“乐观偏差”,即完成收敛速度慢且箱线显示持续分散。[page::3]
- 强网络效应(β=0.75):即便有历史数据,代理常常保持对高参与的期待(例如期望甚至高于N=6 的水平),因此历史信息无法纠正对过度参与的高估,此现象被作者标记为“AI optimism”。[page::3]
- 文本与图的支持:作者以面向回合的均值上升或不下降来说明网络效应增大时代理更倾向于维持或增加预期参与数,图形可视化与文字一致。[page::3]
Figure 3 — Increasing Prices(上升价格轨迹)
[page::4]- 描述:比较 β=0.25(左)与 β=0.75(右)在价格从低到高的轨迹下代理期望的平均变化(蓝线)与理论FEE(红虚线)。[page::4]
- 解读要点:
- 在弱β条件下,随着历史样本累积(价格逐轮上升),代理均值呈下坡趋势并逐步向FEE靠拢,表明有序历史帮助LLM推断价格因果关系并修正期望。[page::4]
- 在强β条件下,即便历史显示价格升高且理论应降低参与,代理仍持续高估参与(例如在最高价处理论预测N≈1但代理期望仍约N≈4),再次支持“AI optimism”在强网络依赖下凌驾于证据之上。[page::4]
- 数据/假设点:作者明确将该行为归因于“网络收益”(β)放大了对参与的偏好,从而使历史反馈不具备足够力量改变代理的乐观预期。[page::4]
Figure 4 — Decreasing Prices(下降价格轨迹)
[page::5]- 描述:从高价降到低价的轨迹下,观察两种β条件下期望的演变。[page::5]
- 解读要点:
- 随着价格降低,代理收敛性整体改善;在弱β下,代理逐步对齐FEE;在强β下,当价格极低且网络效应强时,代理也会趋于高参与,这既可能是合理学习(低p + 高β → 高N),也可能与AI optimism共振,使得“看似合理”的收敛并不完全等同于正确的因果推理。[page::5]
- 作者指出的“甜点区”(low p, high β)可能导致表面上的理论对齐,但无法断定这是否真反映理性推断或只是 favorable condition 与乐观偏差的叠加。[page::5]
Figure 5 — Random Price(随机价格轨迹)
[page::5]- 描述:价格在回合中随机化,比较 β=0.25 与 β=0.75 下代理的期望分布与均值。[page::5]
- 解读要点:
- 在随机历史下,无论网络效应强弱,代理皆难以从无序的历史样本中抽取价格—参与的稳定模式,表现为均值与箱线在价格点间波动显著且总体上不趋向理论FEE。[page::5]
- 该发现支持作者关于“时间连贯性”(temporal coherence)对LLM推理重要性的主张:LLM更依赖历史的序列性和可解释性来进行模式归纳,而非像人类那样即便在噪声中也能维持因果推断能力。[page::5]
估值分析(不适用)
- 报告为实验性行为/机制研究,并未包含公司估值、现金流折现或倍数法等财务估值内容;因此“估值分析”部分在本报告中不适用或未被涉及。[page::6]
风险因素评估(基于报告识别)
- 报告明确指出AI optimism 在强网络效应下可能导致系统性偏差,进而在现实世界(如交通系统或金融市场)中引发过度聚集或错误的市场信号,这种风险被反复强调为结果的核心含义之一。[page::0] [page::3] [page::4]
- 设计性风险:实验中 manager 仅回传总参与数而非个体行为记录,这一选择有助于模拟隐蔽性信息环境但也可能放大代理的猜测行为,从而影响实验外推性;报告在方法中明确了这一设计。 [page::2]
- 模型与可推广性风险:实验仅使用三款Qwen 系列模型,作者注明 Qwen-max 结果一致但未全文展示(仅“可按需提供”),这限制了结论对其它模型家族或实际部署系统的直接可推广性。[page::1] [page::3]
批判性视角与方法细节(审慎观点)
- 样本与模型选择偏窄:仅Qwen家族(单一厂商/系列)可能无法代表不同训练数据、指令学习能力或温度敏感性的所有LLM,报告虽使用三种规模,但缺乏跨体系(如OpenAI、Anthropic等)比较,可能限制结论的普遍性。[page::1]
- 提示工程与初始化信息的影响:文中提到在实验前通过迭代prompt确保模型理解规则,但未详述prompt的具体文本、上下文长度与示例,这些细节可能显著影响代理行为空间(提示偏差问题)。该方法学透明度的不足是对结果稳健性的一项潜在弱点。[page::1]
- 代理间异质性未被充分剖析:图中以箱线呈现分布,但报告并未深入分析个体代理是否稳定地表现为乐观型或悲观型(即是否存在系统性代理间差异或仅为群体噪声),这限制了对机制的更深层解释。[page::3]
- 历史重排作为“战略变量”的道德/系统性后果:作者提出历史如何被组织会改变AI预期,这一发现提示在真实系统中数据采集、展示与审查策略本身具有“操纵”效果,但报告尚未展开对治理或缓解机制的系统讨论(这留作未来工作)。[page::0] [page::6]
结论性综合(全文要点回顾)
- 核心发现复述:作者实证证明,LLM代理在网络效应博弈中的行为高度依赖历史信息的存在与组织方式:无历史时表现散乱、有序历史在弱β下帮助收敛但在强β下出现持续的AI乐观偏差、而随机历史则使收敛失败。[page::3] [page::4] [page::5]
- 图表的深刻见解:所有图(Fig.1–5)一致表明——时间连贯的历史(ascending/descending)能为LLM提供可归纳的路径,从而在某些参数区间恢复理论趋势;但当网络效应放大(β↑)时,历史信号被代理对“潜在集体收益”的偏好所压制,导致持续高估参与的系统性偏差(AI optimism)。[page::3] [page::4] [page::5]
- 对政策与研究的启示:在设计包含AI代理的社会化系统(平台、交通、金融)时,不仅激励与成本重要,“历史的展示方式”也会塑造AI的预期与集体结果;因此需要开发 history-aware 验证与治理框架,以缓解由于数据组织带来的非人类推理偏差。[page::0] [page::6]
- 最后评述:该报告以可重复的实验框架、清晰的参数化设置和一系列对比情景提供了关于LLM代理在网络化交互中行为的初步定量证据,尽管在模型多样性、提示透明性和个体层面行为解析方面仍有改进空间,但其核心结论关于“历史组织即为战略变量”的主张具有足够的实验支持和理论警示价值。[page::2] [page::6]
若需我可进一步:
- 提供对原始实验数据的可视化再绘制与量化统计检验(如收敛速率、方差随回合的显著性检验)以增强可重复性验证;或
- 基于报告方法复现一组不同LLM(如GPT系、Claude系)以测试结论的跨模型稳健性。

