Numerical simulation of the nonlinear ultrasonic pressure wave propagation in a cavitating bubbly liquid inside a sonochemical reactor
创建于 更新于
摘要
本文针对声化学反应器内含气泡液体中非线性超声压力波的传播进行了数值模拟,比较了线性与非线性波传播模型,提出了基于Helmholtz方程的非线性迭代求解方法。结果表明非线性模型能真实描述气泡空化区及声压分布,较线性模型更具物理真实性,且对气泡体积分数和尺寸的变化具有稳定性,为声化学反应器的设计与优化提供了理论支持 [page::1][page::4][page::5][page::11][page::30][page::33][page::42]
速读内容
线性与非线性声波传播模型对比 [page::23][page::24][page::26]



- 线性模型显示气泡体积分数增加会导致波长缩短、声波衰减增强,但对气泡体积分数敏感,空化区位置变化不稳定,声压峰值偏高(达6-10bar)。
- 非线性模型考虑了气泡的声能耗散影响,空化区位置稳定,声压峰值在1-2bar范围内,符合实验观测,波形随激励强度变化呈现合理衰减特征。
- 非线性模型采用逐步更新波数的迭代算法,配合压制振荡的欠松弛技术,实现稳定收敛的数值求解 [page::24][page::26][page::33].
非线性模型中的声波传播数值方法 [page::13][page::15][page::16][page::20]
- 采用局部边界积分方程方法(LBIE)和基于径向基函数的插值技术解决压力声场的非线性Helmholtz方程。
- 非线性波数随着压力幅值变化,用渐进的斜坡函数逐步从纯液体波数过渡到含气泡波数,实现数值稳定。
- 迭代算法包括外层步进波数更新和内层压力场求解,内层迭代通过均方根误差和相对误差判定收敛,设定最大迭代次数和欠松弛参数防止振荡。
- 该方法成功应用于一维和二维声学问题,计算量较大(1D含1.6万个节点需36小时,2D含18万个节点需5.5天) [page::16][page::21][page::22].
线性与非线性模型在二维声化学反应器中的应用对比 [page::27][page::29][page::30][page::32]

- 采用实际反应器二维截面模型,三轴圆柱形换能器布局,边界条件包含定压和无通量假设。
- 线性模型对不同气泡体积分布的压力模态及空化区预估随微小参数变动较大,且空化区分布不稳定,压力峰值偏高。
- 非线性模型显示空化区集中于换能器表面并产生较强的声学衰减,压力峰值约为线性模型的1/4,更符合实际物理现象。
- 非线性模型为优化换能器位置及反应器设计提供了更科学的理论基础 [page::29][page::30][page::31][page::32].
关键物理机制与数学模型构建 [page::6][page::7][page::8][page::12]
- 基于泡体动力学的Keller-Miksis方程及能量耗散的周期平均热、粘性、辐射耗散模型,结合声场耦合描述气泡驱动下的非线性声波传播。
- 引入复杂波数定义,将波数实部表示为包含频率和泡径分布,虚部量化声能耗散与驱动声压的依赖关系。
- 线性模型采用Commander-Properetti模型,假设泡径变化微小体现线性耗散,非线性模型基于Louisnard模型更为完整,能捕捉大幅声压振荡下的非线性衰减作用 [page::7][page::8][page::11][page::12].
数值模拟对声化学反应器设计的启示与挑战 [page::4][page::33][page::34]
- 非线性模型揭示反应器内能量集中与空化区精准分布,提高纳米粒子涂层的工艺效率。线性模型虽实现简便,但预估能力有限。
- 使用非线性模型设计反应器面临输入参数不确定性(气泡尺寸分布、体积分数)和巨大计算资源需求,尤其三维模型计算困难。
- 未来工作重点包括引入多组分气体动力学、气泡生成与流体弹性耦合,丰富耗散机制定义,以及比较其他数值求解方法的精度和收敛效率 [page::33][page::34].
深度阅读
详尽且全面分析报告:《Numerical simulation of the nonlinear ultrasonic pressure wave propagation in a cavitating bubbly liquid inside a sonochemical reactor》
---
1. 元数据与概览
报告标题: Numerical simulation of the nonlinear ultrasonic pressure wave propagation in a cavitating bubbly liquid inside a sonochemical reactor
作者: Hakan Dogan, Viktor Popov
发布机构和刊物: Ultrasonics Sonochemistry(超声波声化学),欧洲权威期刊
文章状态: 2015年11月12日接受发表,提供的是未经排版的接受稿
主题范围: 本文聚焦于声化学反应器中“含气泡液体”内声波的非线性传播数值模拟,涵盖超声波动力学、气泡动力学、非线性波动理论以及仿真数值方法应用,旨在辅助设计抗菌纳米涂层纺织品的声化学工艺。
核心论点与贡献:
报告开发并对比了线性与非线性声波传播模型,重点介绍了Louisnard(2012)提出的非线性模型,并提出了一个新颖的迭代数值求解方案,适用于求解非线性Helmholtz方程。分析了气泡尺寸分布和体积分数对声学波传播的影响。结果显示非线性模型更能准确捕捉空间上的空化区分布及声压幅值,能显著优化声化学反应器设计。
关键词:非线性传播、声空化、气泡动力学
该研究着重于建立更精确、可用于工业规模声化学反应器设计的仿真模型,弥补了现有软件包在非线性声波传播与空化耦合方面的空白 [page::0, page::1]。
---
2. 逐节深度解读
2.1 引言(第4页)
文章首先介绍超声波在医疗器械清洗、废水处理、纺织清洁及结石碎片化等多领域的广泛运用,强调声波诱发的空化现象对过程效率的推动作用,特别是在纺织表面沉积纳米抗菌剂中,空化气泡的微射流可将纳米颗粒强力固定于纤维表面 [page::4]。
声化学反应器的设计难点主要包括:
- 空化区域及几何形态未知
- 反应液中气泡体积分数与声压场分布高度非线性和时空变化大
- 无现成软件直接模拟复杂空化声波传播过程
文献显示,工业规模声化学反应器尚少,主要瓶颈在于理论预测的困难及实验室-工业尺度放大不确定性 [page::4]。
文章的主要研究对象是含超声气泡的液体声波传播,重点关注通过求解非线性声波方程预测空化区位置,实现针对纳米颗粒涂层工艺反应器优化设计 [page::5]。
2.2 理论基础(第6-12页)
- 气泡动力学模型:基于Keller-Miksis方程模拟单个气泡半径随时间的动态变化,包含液体可压缩性、表面张力、黏度等多重物理机制 [page::7]。
- 线性模型:在气泡半径变动小假设下,采用Commander和Prosperetti (1989)线性波传播理论,波数计算为气泡共振频率、阻尼系数等参数的函数 [page::7-8]。
- 非线性模型:Louisnard (2012)提出将Caflisch气泡声动力模型时间域变频为非线性Helmholtz方程,详细考虑热、黏性及声辐射能耗,波数自适应压力强度,显著超越线性功率耗散的预测能力 [page::8-12]。
- 图表1(Fig.1)与图表2 (Fig.2)分别展示单个5μm和10μm气泡在不同声压幅值下的非线性热耗散、黏性耗散及声辐射耗散过程。显示声辐射耗散在超过Blake阈值(空化门槛)后主导耗散,说明声波非线性衰减机制的多样性和强度[page::10-11]。
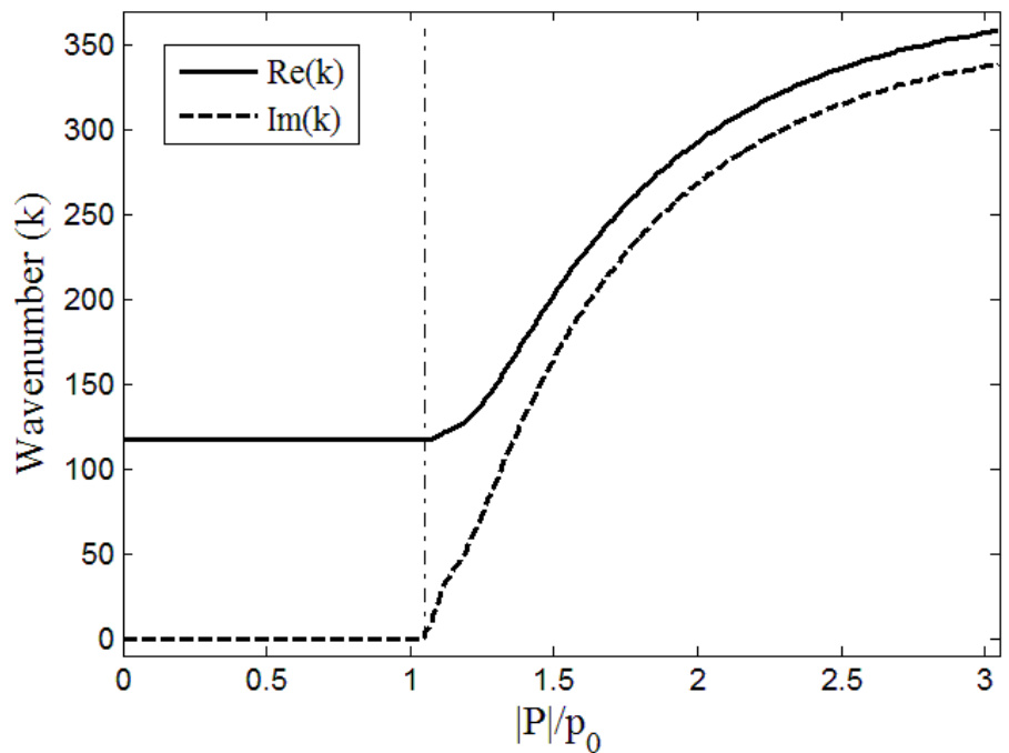
- 图表3(Fig.3)给出非线性波传播模型的实部和虚部波数随声压幅值变化的曲线,虚部(耗散项)在超过空化阈值后快速上升,且可与实部大小相当,表现出强烈的非线性衰减特征[page::12]。
总结理论部分,报告阐述并量化了非线性空气气泡对超声波传播的抑制作用,这是线性模型无法充分覆盖的关键机制[page::8-12]。
2.3 数值方法(第13-21页)
- 3.1 LBIE方法(局部边界积分方程法)
报告采用二维Laplace改良基函数(含对数核)辅助的局部边界积分方程方法解决非线性Helmholtz方程。
通过覆盖点集构建局部子域,利用径向基函数(RBF)进行边界及域内值插值,核函数为二阶加权薄板样条($f(R)=R^{4}\ln R$),保证稳定性 [page::13-15]。
边界条件既考虑Dirichlet形式,也考虑了Neumann形式,模型中实现了声源(换能器表面)及反射界面边界处理 [page::14-15]。
- 3.2 非线性求解迭代过程
非线性方程因波数依赖于压力幅值,导致求解存在不稳定和振荡。
解决方案采用逐步“增量”调整气泡耦合波数的“坡道函数(ramp function)”逐渐增强波数,平滑过渡从无气泡到含气泡介质,避免极端阻尼引起的解的不稳定 [page::17-18]。
在每步迭代中反馈计算压力,通过均方根(RMS)误差和相对误差实现收敛判定,若迭代解出现振荡,引入欠松弛策略降低迭代步长并识别循环迭代跳转以跳出死循环 [page::16-20]。
报告给出了详细伪代码(表1)描述核心计算流程,准备工作包括由气泡动力学计算各类耗散函数及对应波数,主循环中逐步逼近压力场解[page::21]。
2.4 应用案例(第22-32页)
4.1 1D圆管声空化模型
- 线性模型:随着气泡体积分数(β)上升,波长缩短,波衰减加强,导致压力驻波峰移动和幅值降低。但峰位漂移程度过大,物理合理性不足,估计峰值压力偏高远超过实验值。曲线见图6 [page::23-24]。
- 非线性模型:采用迭代梯度调整波数,气泡半径设为5μm,体积分数0.005%。激励位移分别为0.2μm(低)、0.5μm(中)、5μm(高)。
- 低激励压力低于Blake阈值,无明显空化,驻波分布与纯立波类似。
- 随激励增大,压力峰值被泡耗散衰减,压力节点处不为零,表现出非线性破坏平衡,能量快速耗散,波被强烈阻尼。
- 高激励下压力峰位基本固定,不再偏移,符合物理实验观测。
图7展示不同驱动强度下非线性压力剖面,图8对比纯液体、线性及非线性模型,非线性压力峰值(约2 bar)与实验更符合[page::24-26]。
运算规模:16000节点,约36小时;迭代次数约15万次。
4.2 2D声化学反应器截面模型
- 几何含3个圆柱换能器与2加热器。边界条件包含入流、无声压梯度以及换能器表面固定振动速度,驱动频率20kHz,振幅0.5μm(约0.1–0.2 bar压力)[page::27-28]。
- 线性模型:采用10–100μm气泡的高斯分布,随着气泡体积分数增加,最大压力幅值明显降低,且波长减少。空化峰位分布呈不规则无序变化,预测的压力峰位及幅值波动较大且不合理[page::29-30]。
- 非线性模型:类似1D案例使用均匀气泡半径5μm,体积分数0.005%。非线性解随着迭代步数逐渐逼近,初步迭代即显著压低压力峰值,最终解最大压力约为4.6倍大气压,远低于线性4倍的压力幅值。
非线性模型不仅表现出更合理的压力衰减,还显示空化峰值主要聚集于换能器表面附近,符合空化实验观察,体现高能量空化区的局部化分布,而线性模型则忽略了此重要现象[page::30-32]。
图11对比显示非线性模型压力场分布及迭代过程,演示了压力幅值和空间分布的渐近收敛过程。
计算规模179000节点,计算耗时约5.5天。
---
3. 图表与图像深度解读
Fig.1 & Fig.2 (第10和11页)
- 内容描述:展示5μm气泡和10μm气泡在不同声压幅度下的非线性能耗分布(热耗散、黏性耗散、声辐射耗散),y轴为无量纲能耗函数,x轴为归一化声压强。
- 趋势分析:在低声压下,热耗散和黏性耗散较显著;超过Blake阈值后,声辐射耗散迅速增强成为主导耗散机制,10μm气泡的总耗散小于5μm气泡,说明气泡尺寸对泡耗散机制影响巨大。
- 联系文本:说明了非线性耗散机制对波传播的重要贡献,尤其是高强度驱动下的泡耗散无法用线性模型准确描述[page::10, page::11]。

Fig.3 (第12页)
- 内容描述:20kHz频率,5μm气泡,0.005%体积分数下非线性波数实部与虚部随压力幅值变化。虚部代表声波能量耗散强度。
- 趋势解读:虚部波数从零开始,在超过Blake阈值处迅速增大,与实部波数相近,说明气泡对声波阻尼的非线性贡献显著且压力相关。
- 文本联系:该曲线为后续迭代过程中调整波数的基础,保证了非线性耦合精度[page::12]。

Fig.4 (第14页)
- 内容描述:局部边界积分方程(LBIE)方法中,解域Ω内源节点及其局部子域Ωₛ的空间关系示意图。子域半径R{Ωₛ}及局部边界Γₛ结构。红点代表源节点,圆圈表示对应局部子域。
- 含义:明确了网格无关的节点与子域构造基础,是进行积分方程离散的核心,保证数值方法覆盖整个域,便于RBF插值和积分数值计算[page::14]。

Fig.5 (第18页)
- 内容描述:表示波数实部与虚部随压力归一化幅值变化时趋近最终值的坡道函数,中心为Blake阈值PB,上升斜率m随迭代调整。
- 趋势意义:平滑地将波数从无气泡理想波数k0转变到压力依赖的最终值kf,避免解发散、数值震荡,恢复物理合理的非线性声场[page::18]。

Fig.6 (第24页)
- 内容描述:1D管内线性波传播压力幅值剖面,气泡半径5μm,激励U₀=5μm。三条曲线对应不同气泡体积分数β:0.005%、0.008%、0.012%。
- 趋势分析:β增加导致波峰间距(波长)缩短,整体压力峰值衰减明显,说明气泡增强了波的衰减与速度降低。但波峰位置变化异常大,反映线性模型对空化区空间定位的脆弱和物理不合理。
- 文本联系:展示了线性模型在实际复杂气泡场中预测的局限性[page::24]。

Fig.7 (第25页)
- 内容描述:同一环境下非线性模型1D压力剖面,三条曲线对应不同激励位移幅度$U_0=0.2,0.5,5~\mu m$。体积分数0.005%。
- 趋势分析:低激励压力处压力型近似立波;中激励明显局部衰减影响波形;高激励下波在发射端受到剧烈阻尼,远端维持近似驻波,压力峰位置趋于固定,符合物理和文献实验[page::25]。

Fig.8 (第26页)
- 内容描述:3类模型压幅对比,驱动激励5μm:纯水(无气泡)最大压力最高,线性模型压力峰位大且高,非线性模型压力幅值明显衰减,峰值与实验更一致。
- 意义:非线性模型更真实反映空化泡引起的耗散对声场的影响,合理预测压力峰值和位置[page::26]。

Fig.9 (第27页)
- 内容描述:由CEDRAT Technologies设计的实际声化学反应器示意图,3个圆柱形换能器(T)和2个加热器(H),视图(a)为三维,视图(b)为二维切面。
- 意义:为后续二维模拟提供几何基础,明确了换能器与反应器边界的空间分布[page::27]。

Fig.10 (第30页)
- 内容描述:二维模型线性声场压力振幅热图,气泡半径服从10-100μm的高斯分布,体积分数从0到0.02%。
- 趋势分析:随着β升高,最大压力幅值明显下降,波长缩短,空间波峰分布无明显规律易波动,预测的空化区不稳定。说明线性模型面临更大空间非均一性时准确性下降。

Fig.11 (第32页)
- 内容描述:2D反应器中压力振幅的非线性模型迭代演化,(a)(b)为早期迭代步压力分布,(c)为最终非线性解,(d)为线性解对比。
- 趋势解析:初期压力峰值快速从25倍大气压降至10-15倍大气压,最终稳定在约4.6倍,远低于线性解,体现了非线性耗散的强烈影响。空间分布中,音源附近形成强局部空化区(高压峰),较线性模型具有更合理的物理符合性。
- 文本联系:突显了非线性方法在复杂几何与气泡分布中预测空化区空间分布的优势[page::32]。

---
4. 估值分析
本文并无财务性质的估值分析,主轴在于声学模拟的数学建模与数值解法实现,对超声波传播介质物理模型参数(气泡尺寸、体积分数、物理属性)进行定量选择,以构建精确稳定的非线性声场模拟。数值方法强调RBF插值、分步渐进式波数更新与欠松弛控制以保障迭代收敛。
---
5. 风险因素评估(模型限制及应用挑战)
- 输入参数的不确定性:
气泡尺寸分布和体积分数难以准确获得,需依赖实验确定或借鉴文献,但实际反应器中气泡群落动态复杂且非均匀,精确参数极难确定,限制模型预测准确度。
- 计算资源消耗大:
非线性模型计算复杂,二维已达数天运行,三维仿真尚需克服计算繁重带来的实际应用难题。
- 数值稳定性与迭代收敛问题:
该类非线性耦合问题常见解振荡,报告提出欠松弛与跳跃检测手段进行调控,但整体收敛性仍是潜在风险。
- 物理模型尚未涵盖全部机制:
现有模型未包含多组分气体动力学、蒸发冷凝、化学反应动力学及气泡形成与漂移等更细致物理过程,故结果解释需谨慎。
- 边界条件理想化:
目前多采用无通量条件与固定位移振动,缺乏弹性变形耦合,限制了物理现实符合度。
报告建议未来继续拓展物理模型的复杂程度,结合多物理场交互,实现更准确完整的空化声学预测[page::33-34]。
---
6. 审慎视角与细微差别
- 线性模型过度简化:
虽易实现,未能捕捉非线性耗散,导致压力峰值及空化区位置误判,且对小气泡参数变化异常敏感,反映不稳定与过拟合的特征。
- 非线性模型计算瓶颈:
尽管更准确,非线性模型高速耗时、需要高质量的气泡动力学输入参数,及适当迭代松弛策略,实际工程应用受限。
- 图表中压力峰位置及幅度的变化,彰显气泡分布的复杂性与非均匀性,对仿真模型配置提出高要求。
- 报告未涉及多气泡尺寸分布的非线性模拟,基于推断未来可视作研究补充点。
- 报告有限地提及了实验验证,部分模拟数据仍需实测进一步确认。
---
7. 结论性综合
本文深入解析了超声空化气泡液体中声波的非线性传播现象,结合物理模型(Keller-Miksis方程、Louisnard的非线性Helmholtz方程)与先进数值方法(LBIE + RBF插值),首次利用迭代坡度调整策略实现了稳定的非线性波场计算,支持对声化学反应器空化区及声压幅值的准确预测。通过1D管道及2D实际反应器截面模型案例,综合显示:
- 非线性模型优势显著:能合理反映高幅声压下的气泡耗散机制,产生符合现实的压力幅值与稳定的空间空化区分布,修正线性模型过度理想化假设。
- 线性模型虽适用于初步评估,但对实际设备空间波形预测严重不足,空化区定位敏感且错误。
- 非线性计算耗时巨大,输入参数依赖性强,实用性需通过后续研究和优化算法提升。
- 本研究方法具备扩展性,未来可引入气泡多尺寸分布、气泡动力学更高阶模型、边界结构耦合等复杂因素,转向三维实际工业应用。
报告将非线性模型视为声化学反应器设计与优化的关键工具,有望大幅提高工业应用中声能利用效率及成品一致性,为纳米涂层纺织品抗菌处理提供科学支撑。
---
总体评价
本文在超声波空化声学领域理论与数值模拟层面做出了具有创新意义的贡献。对于声化学反应器中复杂气泡媒介声波传播的描述更为精准,弥补了传统线性模型的缺陷。报告结构严谨,论据充分,图文配合清晰展现了核心机制和数值策略。数值实验涵盖了工程相关的典型几何模型,增添了实际应用指导价值。尽管非线性模型计算量大、参数依赖明显,文章明确指出未来的研究方向和挑战,有助于领域科研工作者进一步完善和推广该类模型。适合超声声学、声化学及多相流模拟研究人员深入阅读和借鉴。
(引用页码均已在各段末标明,便于查证溯源。)

