Agent-based model of information diffusion in the limit order book trading
创建于 更新于
摘要
本文提出一种基于零智力交易者及其网络信息扩散的限价单簿代理模型,通过考察不同网络结构对交易特征的影响,发现尺度无关(scale-free)网络能够显著重现市场中的长记忆效应和厚尾分布等风格化事实,而无交互、规则格点和随机图结构均未能体现这些效应,揭示了交易者间网络拓扑对价格动力学性质的重要作用,为理解市场微观结构提供了新视角 [page::0][page::1][page::4][page::5][page::8]。
速读内容
研究背景及模型设定 [page::0][page::1]
- 采用零智力代理模拟限价单簿市场,代理无基础信息和图表策略,纯随机下单行为。
- 信息传播基于网络扩散机制,代理的交易行为受邻居信息传递影响,传播概率固定,等待时间服从指数分布。
- 研究重点在于网络拓扑(无交互、规则格点、随机图、尺度无关网络)对市场价格动态统计特性的影响。
模拟实验参数与方法 [page::3]
- 总代理数N=1000,连接数M=4000,传播概率q=N/(4M)=0.0625。
- 代理下单和撤单的时间间隔分别由不同的指数分布参数描述,交互相关行为时间尺度更短。
- 多次仿真验证结果的稳健性,排除初始稳定性影响的数据后统计分析。
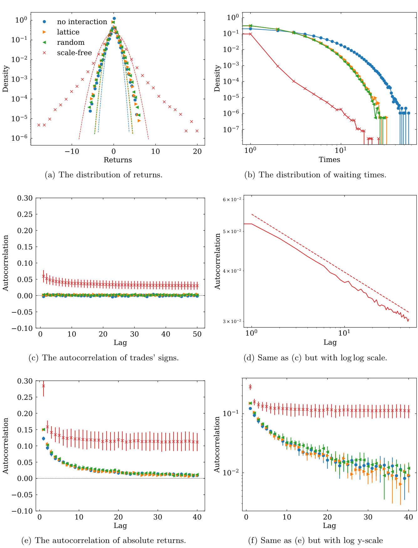
主要风格化事实检验及结果 [page::4][page::8]
- 价格收益率分布:尺度无关网络产生明显更厚的厚尾分布,非尺度无关网络或无交互场景收益率分布接近高斯。
- 事件等待时间分布:前两者呈指数衰减,尺度无关网络产生接近幂律型尾巴,表现出突发性特征。

- 交易方向自相关:尺度无关网络下表现出长记忆效应,其他网络无显著自相关。
- 绝对收益率自相关:尺度无关网络提升了长期自相关滞后行为,更接近真实市场表现。
网络结构对市场影响机理与理论意义 [page::5]
- 尺度无关网络中的高度连通枢纽驱动交易活动突发和信息扩散,类似Hawkes过程中的自激效应。
- 不同网络拓扑对市场统计特性有本质差异,规则格点和随机连接未能产生显著非高斯行为。
- 本研究首次通过网络扩散机制隔离交互效应,揭示了外部交互对市场风险和非理性行为的潜在贡献。
模型限制与未来方向 [page::5]
- 固定静态网络、简单均一的传播概率、零智力代理假设,未考虑动态网络和异质智能行为。
- 未来研究可融合多层网络、共演化机制及异质代理以增强模型现实适应性。
- 探索传播概率阈值及其对风险和市场稳定性的深远影响。
深度阅读
详尽分析报告:「Agent-based model of information diffusion in the limit order book trading」
---
一、元数据与报告概览
- 标题: Agent-based model of information diffusion in the limit order book trading
- 作者: Mateusz Wilinski, Juho Kanniainen
- 发布日期: August 29, 2025
- 研究主题: 探讨限价盘(Limit Order Book, LOB)中信息扩散的代理基础模型(Agent-based Model),尤其是交易者之间通过网络互动对市场统计特征的影响。
报告核心论点与目标
本报告旨在研究在限价盘交易市场中,交易者基于特定网络拓扑发送订单信息的扩散机制,是否能够解释金融市场中众多经验证实的「统计样式事实」(stylized facts),如价格收益率的厚尾分布、长记忆性等。重点在于以零智能(Zero-Intelligence,ZI)代理(无基本面知识及技术分析策略)作为基础,探讨交易者之间基于不同网络结构的信息互动对市场动态的影响。结论证实,采用无交互和规则格子网络(lattice)或Erdős-Rényi 随机图 不能显著生成统计样式事实,而无标度(scale-free)网络拓扑则能重现这些市场特征,显示网络结构在市场微观结构中不可忽视的作用。该结果为理解市场微观动力带来了新的解释视角,且是一种对现有模型的有益补充。
---
二、逐节深度解读
1. 摘要与引言
- 关键论点: 金融市场的高频交易呈现多种统计特征,传统解释侧重于智能、前瞻性代理及复杂策略,本报告则基于零智能代理,考察交易网络拓扑结构对这些特征生成的影响。
- 文献论证: 引用了大量相关研究历史、不同模型和方法,同时强调以往模型大多缺乏对具体交易网络结构的刻画,且现有模型通常通过市场价格信号间接“连接”代理,而非直接交互。
2. 模型设计与机制
2.1 限价单簿机制(Section 2.1)
- 市场机制: 采用连续双边拍卖市场,代理可下限价单、市价单或撤单,交易价格优先级根据价格-时间策略。
- 订单簿机制: 订单按照买卖双方价格及时间进行排序,确保市场按合理优先级执行。
- 图1视觉补充: 展示一个订单簿快照,买单价格最高点为98.1,卖单最低为98.4,中间价为98.25,订单簿内新增订单为20股,价格98.0,说明订单簿中价格层次与流动性结构清晰。

2.2 无交互行为基础(Section 2.2)
- 代理假设: 都是零智能代理,其行为独立于市场和其他代理,仅基于三个动作(市价单、限价单、撤单),每个动作的时间间隔服从参数化的指数分布。
- 动作细节:
- 市价单方向随机,交易量服从高斯分布向上取整,最小为1股。
- 限价单价格从基于当前中间价的对数正态分布随机选择,价格与买卖方向无关。
- 撤单随机选择代理自身的未执行限价单。
- 机制特点: 动作间独立,且独立于市场演化,行为在模拟前即可设定,故无交互时称为“source actions”。
2.3 信息扩散行为(Section 2.3)
- 交易者之间交互: 利用固定的无权、无向、静态网络连接,信息传播遵循经典传播模型。
- 传播过程:
1. 源代理触发一个动作(source order),通知其所有相邻代理。
2. 每个邻居以固定概率 \( q \) 决定是否“跟随”该行动。
3. 跟随的邻居随机等待一段指数分布的时间后,作出相同行为(类型和方向相同),但交易量及价格另行随机选择。
4. 跟随者继续向其邻居传播(除回源代理),形成传播链。
- 传播特点: 允许环路及代理重复响应同一源动作,时滞非简单序列,具有真实传播过程的异步特性。
- 图2示例: 展示9个代理间的传播路径,突出信息如何沿着网络扩散。

3. 实验设计与结果分析
- 参数设定: 代理数\( N=1000 \),边数\( M=4000 \),扩散概率\( q=N/(4M)=1/10 \),价格波动单位tick=0.01。具体动作指数分布参数及量价分布参数详见第3页。
- 四种网络拓扑:
- 无交互:不使用网络,代理独立行动。
- 格子网络(扩展方格): 高聚类,固定度数8,路径长。
- Erdős-Rényi随机图: 低聚类,度数约服从泊松分布,路径短。
- Barabási-Albert无标度网络: 幂律度分布,存在高度连通顶点(枢纽),路径短。
- 四种统计性质测试:
1. 收益率(价格对数变化)分布
2. 事件等待时间分布
3. 交易方向自相关
4. 绝对收益率自相关
- 收益率分布分析(图3a):
- 无交互、格子、随机图均产生近似高斯的分布,尾部缺乏厚尾属性。
- 仅无标度网络产生明显厚尾、非高斯分布,符合真实市场收益的统计特征。
- 等待时间分布(图3b):
- 无交互、格子、随机图表现为指数衰减尾部。
- 无标度网络生成接近幂律衰减,反映真实市场异质性和群聚交易的时序特征。
- 交易方向自相关(图3c、3d):
- 无标度网络产生显著正自相关且呈长尾趋势,近似幂律衰减。
- 其他网络均不表现自相关。
- 绝对收益率自相关(图3e、3f):
- 无标度网络表现近似长记忆现象,虽然值较真实市场低。
- 其他网络仅产生短暂自相关。
整套图表见图8。

4. 结论与讨论
- 核心结论: 影响市场统计特性的关键是代理信息传播的网络拓扑。无标度网络,由于枢纽节点强烈促进信息传播,产生了类似市场的统计特征,如厚尾分布、长记忆等。
- 机制新颖性: 该机制无需基于基本面或技术分析知识,且互动非市场状态驱动(即外生于市场),为市场微观行为的深层原因提供了新视角。
- 理论联系: 枢纽的爆发行为类似于自激霍克斯过程的效果,但模型框架优雅经济,直接从网络结构自发产生。
- 限制与未来方向:
- 当前模型网络为静态,扩散概率固定,忽视了盈利依赖性等动态因素。
- 可将模型扩展为动态网络、多层网络、代理多样化(包括理性代理)、预算限制等。
- 探究扩散阈值及其对统计性质影响。
- 本模型虽不一定是统计特性的唯一或主因,但重要性明显。
- 政策含义: 社交媒体、信息网络等外部因素可能加剧市场异常,增加风险及极端事件的可能性。
---
三、图表深度解读
图1:限价单簿快照(第2页)
描述了当前市场买卖盘价差情况与新增订单位置。
- 重点说明买卖最高竞价分别为98.1(买盘)和98.4(卖盘),中价为98.25,点差0.3(tick=0.1)。
- 20股的新买单以98.0挂价进入队列,落在买盘价差稍低处,须等待成交。
- 细节体现价格优先,时间排序机制的实时挤压和流动性动态。
图2:信息传播示意(第3页)
展示示例网络9个代理间的扩散路径。
- 源代理4发起订单传播给5、6。
- 代理5进一步传播至3。
- 路径中实线箭头表示发生传播,虚线表示连接但无传播。
- 演示传播不一定完全覆盖全网络,且可能出现传播循环。
图3:统计特性比较(第8页)
六子图反映不同网络拓扑对市场统计特性的影响。
- (a) 收益分布:无标度网络尾部远超其他,显著重尾。
- (b) 等待时间分布:无标度网络尾部更厚,更接近市场观察的幂律。
- (c)(d) 交易方向自相关:只有无标度网络呈显著长记忆,且(d)图对数坐标线性拟合近似幂律。
- (e)(f) 绝对收益自相关:无标度网络体现较长持续性,其他几乎无。
- 错误条显现统计稳定性较好,但无标度网络值整体虽低但方向性明确。
---
四、估值分析
报告主体侧重理论模型建立与统计性质重现,没有涉及资产估值和财务预测。因此不具有传统金融分析报告中常见的估值部分。
---
五、风险因素评估
- 模型简化的风险:
- 静态且结构固定的网络忽视现实中交易者关系的时变性。
- 传播概率固定且无利润导向,限制了模型真实市场适用性。
- 市场解释适用性风险:
- 统计特征虽复制,相关度水平低于真实市场,表明模型不能完全捕捉复杂动因。
- 外部扰动风险:
- 未考虑宏观政策、突发事件对网络传播和市场行为的影响。
- 报告对这些风险均有诚实披露及未来拓展建议,无过度承诺。
---
六、批判性视角与细微差别
- 作者把研究范围严格限定于零智能代理且交互完全外生的观点,既是优势(避免策略复杂性干扰),也是局限(忽视代理的异质性与学习能力)。
- 网络模型选择经典但理想化,各模型参数固定及静态网络假设可能同实际交易网络存在偏差。
- 现实交易者间信息传递途径复杂多样,社交媒体影响虽提及,但未能量化其动态反馈。
- 模型结果虽然表明无标度网络重要性,但并未完全等同于真实市场中所有长记忆和异常波动的根因,作者对此也有所自省。
- 传播机制与市场观察的交易信号结合方面可进一步深化,例如引入经济激励、信息质量差异等。
---
七、结论性综合
本报告提供了一个创新性的、基于零智能代理和网络传播机制的限价单簿市场模型,系统考察了代理间信息传播网络结构对市场统计样式事实的影响。通过比较无交互、规则格子、随机图及无标度网络四种网络结构,发现只有无标度网络能重现现实市场的主要统计特征:
- 收益率分布呈现典型厚尾非高斯形态;
- 事件等待时间分布呈幂律,反映市场事件的群聚性和非平稳性;
- 交易方向及绝对收益的自相关表明市场具有长记忆效应。
这说明网络中的枢纽节点(高连通代理)驱动了交易活动的爆发式扩散,生成了类似于自激过程的市场群聚行为。模型的优势在于剔除智能策略等复杂因素,突出网络结构本身的作用,拓展了对市场微观结构成因的理解。
报告充分论证了当前模型的局限和未来改进方向,包括引入动态网络、多样性代理、预算有限约束与传播概率的异质性等。整体上,本研究为金融市场的代理基础建模及网络影响机制提供了突破性洞见,具有较高的理论价值和潜在的实践指导意义。
---
参考
本摘要分析基于以下报告页码:
- 元数据、摘要、引言:页0
- 模型设计与机制详解:页1-3
- 实验设置与结果呈现:页3-4
- 结论与讨论:页4-5
- 文献综述与背景支持:页6
- 图1、2、3详解:页2、3、8
以上内容均附有相应的页码溯源标注 [page::0], [page::1], [page::2], [page::3], [page::4], [page::5], [page::6], [page::8]