Article Simulation of Three Constitutive Behaviors Based on Nonlinear Ultrasound
创建于 更新于
摘要
本文基于经典声学非线性理论,构建了三种本构行为的递归表达式子程序,并通过有限元模型进行了验证。模拟结果表明,一阶和二阶扰动本构模型符合非线性理论,可有效重现谐波生成现象;滞回型材料表现出特殊的应力应变关系且非对称。声波传播模拟揭示了不同本构模型导致的谐波特性差异,为非线性超声检测模拟提供了理论基础和计算方法支持[page::0][page::1][page::8][page::14]。
速读内容
研究背景与意义 [page::0][page::1]
- 线性超声检测灵敏度有限,难以识别材料早期退化。
- 非线性超声通过谐波产生反映材料损伤,是一种高灵敏检测方法。
- 本文聚焦经典声学非线性,由材料本构关系非线性导致波形畸变和谐波产生。
- 三种本构行为:一阶扰动、二阶扰动和滞回非线性被编程实现。
三种本构关系模型介绍及递归表达式 [page::2][page::4][page::5]
- 一阶扰动模型:应力与应变的二次项成分,递归计算包括Lamé系数修正。
- 二阶扰动模型:应力中出现三次方应变项,递归表达类似,体现奇次谐波特性。
- 滞回模型:应力-应变带滞回环形,递归表达中考虑应变变化符号。
- 各模型均有公式和递推代码实现。
验证模型设置与仿真验证 [page::5][page::6][page::8][page::9][page::10]
- 验证模型为10mm×10 mm单元模型,采用三角波边界位移载荷。
- 材料皆为钢,参数固定。
- 应变和应力时间曲线显示不同扰动导致的非线性走向。
- 应力-应变曲线由线性逐步转向非线性,且不同系数对应不同非线性程度。
- 滞回模型显示应力滞回环和曲线整体偏移,体现材料损伤退化特征。
波传播模型及非线性声波仿真 [page::6][page::7][page::12][page::13][page::14]
- 波传播模型尺寸40mm×20 mm,激励为5周期调制正弦尖峰波,频率3 MHz。
- 网格大小和时间步长严格满足波长采样与数值稳定性要求。
- 一阶扰动模拟产生明显二次和三次谐波,谐波累积现象随传播距离增强。
- 采用非线性系数β' = A2 / A1^2 定量描述谐波生成强度。
- 二阶扰动模拟主要产生奇次谐波(三次、五次),谐波振幅受网格限制。
- 滞回模型由于材料非对称特征,谐波产生及应力响应表现复杂[page::11][page::12][page::14]。
结论与未来工作 [page::14][page::15]
- 三种本构行为模拟成功地反映线性及非线性声波传播特征。
- 一阶和二阶扰动模型验证了经典非线性超声的理论预期。
- 滞回模型能更好模拟材料损伤进程,但计算复杂度高且不适合大变形。
- 后续研究需求包括三维模拟验证、滞回模型改进和网格变形数值稳定性研究。
深度阅读
详尽分析报告:《Article Simulation of Three Constitutive Behaviors Based on Nonlinear Ultrasound》
---
1. 元数据与概览
标题:Article Simulation of Three Constitutive Behaviors Based on Nonlinear Ultrasound
作者:Zaifu Zhan, Shen Wang (通讯作者), Fuping Wang, Songling Huang, Wei Zhao, Zhe Wang
机构:清华大学电力系统国家重点实验室,电气工程系,北京,中国
日期:收到稿件时间2020年2月12日,接受时间2020年3月6日,在线发布时间2020年3月13日
主题:基于非线性超声的三种材料本构行为模拟研究,聚焦于超声波在不同非线性材料中的传播特性与本构模型的数值模拟。
报告核心论点简述:
本文围绕非线性超声检测技术展开,强调材料本构关系发生非线性变化时对超声波传播的影响,尤其是谐波产生机制。文章提出三种本构关系的递归表达式,分别对应经典非线性的一阶、二阶扰动及非线性滞后行为,并通过有限元模拟验证各模型的有效性及特征。最终建立了用于分析超声波传输全过程的仿真模型,为非线性超声波检测的数值模拟奠定基础。
---
2. 逐节深度解读
2.1 引言与背景
- 论点与信息:
材料在循环载荷或恶劣环境中会发生性能退化,早期损伤难以用传统线性超声检测精确感知,因其对材料微观结构变化(位错亚结构等)不敏感。非线性超声由于其对材料损伤极高且早期敏感性,成为检测早期材料劣化的有效手段,表现为激发频率\(f\)所产生的\(2f, 3f\)等谐波成分的出现。
- 关键数据:
早期损伤过程约占整个结构寿命的80%-90%,这说明早期检测价值重大。[page::0]
- 推理依据:
线性超声参数如弹性模量和声速变化微弱,而非线性超声谐波幅度与材料损伤量直接相关,可实现更早损伤识别。
2.2 非线性超声非线性来源分类
- 非线性类别:
分为经典声学非线性(材料本构非线性)和接触声学非线性(瞬态微裂纹引起)。当前多数模拟采取的微裂纹模型(接触非线性)虽能产生非线性信号,但不能代表材料整体均匀老化或退化状态,后者更适合用经典非线性描述。
- 创新点:
本文重点研究经典非线性,即材料本构关系从线性转为非线性后对波形失真及谐波产生的影响,填补目前仿真中忽略整体材料迟缓退化状态的空白。
- 图1说明:
- 行列分别展示线性、本构一阶扰动、二阶扰动及非线性滞后四类材料的应力-应变关系与频域特征。
- 一阶扰动产生偶数谐波,二阶扰动产生奇数谐波,滞后型表现环形滞后回线并有特异谐波生成规律。

该图归纳说明不同本构非线性对声波传播非线性特征的影响。[page::1]
2.3 理论基础(第二章)
- 非线性波动方程推导:
由三维弹性体自由能表达式展开,考虑了非线性应变张量形式,导出了非线性声学波动方程。该波动方程中包含一阶、二阶扰动項,表现为波速受应变影响,导致波形扭曲和谐波产生。
- 非线性本构关系:
通过积分非线性弹性模量\(E(\varepsilon, \dot{\varepsilon})\),定义了包含线性模量、二阶、三阶非线性扰动及滞后项的弹性模量表达,形式为:
\[
E(\varepsilon,\dot{\varepsilon})=E0 \{1 - \beta \varepsilon - \epsilon \varepsilon^2 - \alpha [\Delta \varepsilon + \varepsilon(t) \operatorname{sign}(\dot{\varepsilon})] + \ldots\}
\]
- 符号说明表(表1):
详细列举了涉及在文中表达中用到的常用符号及含义,如自由能\(F\)、Lamé系数、应变张量\(E{ik}\)、位移分量\(ui\)、非线性系数\(\beta,\epsilon,\alpha\)、杨氏模量\(E\)等,为理解后文方程提供基础。[page::2]
2.4 三种本构关系和递归表达式(章节2.3–2.5)
- 一阶扰动模型(β):
非线性弹性模量简化为\(E(\varepsilon,\dot{\varepsilon})=E0 (1-\beta \varepsilon)\),对应应力表达式:
\[
\sigma = E0 \varepsilon - \frac{1}{2} \beta E0 \varepsilon^2
\]
并给出递归更新公式,用有限元计算逐步更新应力张量。
递归公式利用当前与前一时刻应变,对Lamé系数进行调整,实现本构非线性建模。
- 二阶扰动模型(ε):
弹性模量为\(E0 (1 - \epsilon \varepsilon^2)\),应力约为:
\[
\sigma = E0 \varepsilon - \frac{1}{3} \epsilon E0 \varepsilon^3
\]
同样利用递归表达式在模拟中更新,体现二阶非线性特点。
- 非线性滞后模型(α):
含滞后项,表达更复杂,滞后项引入了应变变化符号及前周期应变幅度:
\[
E(\varepsilon,\dot{\varepsilon})=E0 \{1 - \alpha [\Delta \varepsilon + \varepsilon(t) \operatorname{sign}(\dot{\varepsilon})]\}
\]
在实际仿真中为简化,忽略了\(\Delta \varepsilon\)。
应力-应变关系分为应变递增和递减两段,体现滞后特性。
递归表达式中引入符号因子调整系数,实现滞后效应。
[page::4][page::5]
---
2.5 数值模拟(第三章)
- 软件与方法:
使用Abaqus/CAE构建二维模型,通过Abaqus/Explicit显式求解器进行动态模拟,利用用户子程序VUMAT实现三种本构模型的递归表达式,体现材料非线性响应。
- 验证模型:
验证模型为10mm×10mm正方形,单一网格单元,左边界固定,右边界施加三角形位移波形模拟动态变形,位移幅度0.25mm。
使用钢材参数(密度7800kg/m³,杨氏模量2×10¹¹ Pa,泊松比0.3)。
设计保证仅一个单元,方便直接观察单元本构关系的变化,从而验证递归本构表达式效果。[page::5][page::6]
- 波传播模型:
长40mm,厚20mm,四边界为自由边界,左侧宽6mm激励区施加五周期调制正弦(3MHz)超声波,激励幅度90nm。
网格大小严格限制满足波长的十分之一采样原则,保证谐波可被准确捕捉,时步选为1ns,总模拟时间8μs。
该模型用于研究波传播过程中不同非线性本构表现的谐波生成。[page::6][page::7]
---
2.6 仿真结果(第四章)
4.1 验证模拟
4.1.1 一阶扰动(β)
- 观察位移与应变:
位移仅在x方向有变化,应变\(\varepsilon{11}\)对应一致,确保加载有效。
图6展示三种变形状态(零载荷、最大拉伸、最大压缩)。
- 应力变化与应力-应变关系:
应变时间曲线对比一致,但应力曲线因扰动不同显著扭曲,上下部分不对称(见图7)。
应力-应变曲线非线性明显,确认一阶扰动本构实现,且非线性程度随系数\(C1\)增大而增强(见图8)。


- 验证目的:
模拟结果符合文献[28]理论,代码准确。
4.1.2 二阶扰动(ε)
- 应力变形关系:
形变趋势与一阶扰动相似,但应力波形扭曲更严重,且应力曲线上下对称(见图9)。
该对称性对应二阶扰动只产生奇数谐波,理论与仿真吻合。
图10展示不同二阶扰动系数对应的应力-应变关系变化,非线性趋势复杂且逐渐明显。


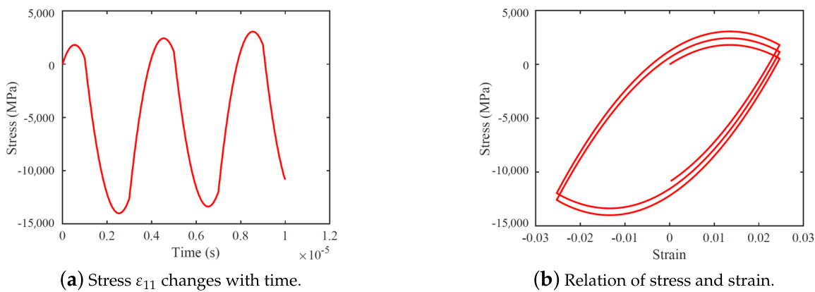
4.1.3 非线性滞后效应(α)
- 滞后应力-应变表现:
应力曲线具有明显滞后现象,随着时间发展曲线整体有上扬趋势,体现能量损耗及位移负载非对称性(图11)。
滞后应力-应变回线形状随着滞后系数\(C3\)变化呈多条曲线,展示材料在不同老化阶段的复杂非线性响应(图12)。


- 分析:
滞后模型适合表征疲劳老化过程中的材料,推荐实际材料参数测量后基于查表法建模。
---
4.2 波传播模拟分析
4.2.1 一阶扰动下波传播及谐波
- 应力云图观察:
纵向及横向波均被激发,波动明显,反射干涉复杂,单纯云图难以区分不同\(C1\)影响(图13)。

- 信号分析:
时域信号及其频谱及谐波图显示二阶、三阶谐波清晰出现(图14)。
谐波势必因波传播过程衍射与反射复杂,幅度比较需谨慎。

- 非线性系数定义:
引入非线性系数\(\beta' = \frac{A2}{A1^2}\), 用以定量评估谐波累积。
图15(a)显示,\(\beta'\)随传播距离递增,在\(C_1<-2000\)时趋势明显,且模拟结果与文献[17]实验数据(图15b)高度吻合,验证了数值模型可靠性。

4.2.2 二阶扰动波传播谐波分析
- 结果展示:
三阶、五阶谐波明显产生(图16),符合理论关于二阶扰动产生奇数谐波假设。

- 仿真精度限制:
有限元软件对单元变形大小有严格限制,单元过小计算资源占用剧增,单元过大导致变形超过误差限度,两者需权衡,结果中多谐波精确量化困难。
---
3. 估值分析
本研究中估值主要指的是通过有限元模拟以递归本构关系为基础,计算波传播过程中的应力应变和产生的谐波幅度,并通过其与理论及文献实验结果对比达到模型准确性验证。
- 采用经典本构方程递归表达式编程实现,适配显式有限元时间步进求解。
- 对不同非线性扰动系数,计算相应谐波幅度,相当于对非线展开程度的“估值”。
- 借助非线性参数\(\beta'\)量化非线性程度,建立数值与实验对标。
---
4. 风险因素及局限性
- 滞后模型仿真局限:
递归表达式虽提升计算速度,但不能完美描述滞后型材料复杂演化,滞后系数涉及多参数,需实验标定,缺少足够实验支持会影响模拟准确性。
- 网格单元大小与变形:
有限元计算精度依赖单元大小,小单元保证高频谐波捕捉大,但会面临数值稳定性和计算资源瓶颈。
- 三维模拟缺失:
当前递归表达式仅验证二维模型,三维情形尚未覆盖,可能存在额外复杂影响。
---
5. 批判性视角与细节
- 本文跳出了传统采用微裂纹模拟非线性现象的局限,提出从材料本构非线性变化直接构建递归表达式,具有理论创新性和实用价值。
- 然而,滞后行为模型虽然物理意义明确,实际模拟与真实材料复杂滞后动态存在差距,仿真结果偏离理论理想状态,反映该模型在应用时的局限与实验依赖。
- 波传播模拟因边界反射、衍射复杂,简单观察应力云图难以直观分辨细微非线性效应,主导指标为时间-频率特征及非线性参数,强调数据处理的重要性。
- 递归算法虽然计算资源节约,但不保证适用于所有非线性和滞后现象,算法稳定性和适用条件需进一步明确。
- 文中各章内容有系统衔接但有时对某些公式符号描述不够规范(文字排版欠一致),对读者理解带来轻微阻碍。
---
6. 结论性综合
本文围绕非线性超声检测背景,系统建立了三种材料本构非线性模型的递归表达式并实装于显式有限元仿真中。验证模型中:
- 一阶扰动模型产生不对称应力-应变特征,数值一致性验证了理论正确性;
- 二阶扰动呈现对称、奇次谐波产生,仿真与理论高度一致;
- 滞后模型再现材料老化的非对称滞后特性,强调了实际构建拟合重要性;
波传播仿真进一步揭示:
- 通过输入三角形波边界位移和5周期调制正弦激励,明确观察到了理论预期的二阶及三阶多阶谐波,且通过非线性系数\(\beta'\)定量刻画了谐波随传播距离的积累效应,且与已有实验数据保持良好一致;
- 递归表达式模式的成功实现为今后更准确、更高效的非线性超声检测数值模拟提供了坚实基础;
- 同时指出当前模拟在滞后材料建模复杂性及高频谐波采样的数值限制,为未来三维建模与参数标定工作奠定出研究方向。
综上,本文创新性地结合经典声学非线性范围内的材料本构行为展开数值模拟,结合有限元递归编程精确描述多阶材料非线性,详实验证与理论相符,极大地丰富了非线性超声仿真工具箱,具备广泛的工程实际推广价值。
---
附图索引(部分关键图示)
- 图1:不同非线性本构形式对应应力-应变及频谱特征
- 图7-8:一阶扰动验证应力-应变曲线及非线性增强趋势
- 图9-10:二阶扰动对应的非线性应力-应变及复杂曲线
- 图11-12:滞后模型应力时间曲线及应力-应变滞回
- 图13-14:波传播过程应力云图及一阶扰动时频分析
- 图15:非线性系数\(\beta'\)随传播距离变化与实验对比
- 图16:二阶扰动时的谐波生成及频谱表现
---
(全文引用页码均来自原文对应页码标注)