隐含波动率曲面模型梳理――衍生品专题报告
创建于 更新于
摘要
本报告系统梳理隐含波动率曲面主要模型,包括随机波动率模型(Heston、SABR)、参数化模型(SVI及扩展)和动态模型(VGVV、SRV、LNV),详述模型假设、参数意义及模型优缺点,结合多张示意图说明参数对波动率曲线的影响,为期权定价与风险管理提供理论基础和实务参考[page::0][page::3][page::5][page::8][page::14][page::15][page::16]。
速读内容
隐含波动率曲面模型的起源及意义 [page::0][page::3][page::4]
- BSM模型奠定期权定价基准,假设波动率恒定,但实市场呈现波动率微笑与偏斜。
- 隐含波动率反映市场预期,准确模型有利于做市定价、奇异期权估值及风险管理。
- 期权波动率曲面模型分随机波动率、参数化、动态及基于插值等类别。
随机波动率模型核心及代表:Heston和SABR模型 [page::4][page::5][page::6][page::7]
- Heston模型假设波动率方差服从CIR过程,体现波动率的均值回复和价格-波动率负相关(杠杆效应)。
- SABR模型引入波动率的波动率,具备随机性及时间演变特征,适合构建隐含波动率曲面。
- 参数α、β、ρ、ν调控隐含波动率曲线整体位置、偏斜及曲率,具体可视化见图1-4。




参数化模型详解:SVI及变体 [page::8][page::9][page::10][page::11][page::12]
- SVI模型以五参数形式拟合隐含方差,参数a,b,σ,ρ,m分别控制整体水平、张角、平滑度、方向及水平位置。
- 图5-10展示各参数对隐含方差曲线的影响,图形直观反映参数变化带来的波动率形态调整。





- SVI-JW模型进一步转换参数,令参数更具市场直观意义。
- SVI模型无跨期和蝶式套利问题,SSVI模型为其无套利拓展。
其他参数化模型及基于熵的模型 [page::12][page::13]
- 多项式模型拟合波动率曲面但拟合能力和无套利性有限。
- 熵最大化方法构造风险中性概率分布,能精准提取尾部分布但依赖无套利数据。
- 加权位移对数正态分布模型通过加权BSM期权价格生成无套利波动率曲面,考虑长期分红影响。
动态模型及具体SRV、LNV模型介绍 [page::14][page::15]
- 动态模型直接描述隐含波动率曲面随时间演化的过程。
- VGVV模型基于希腊字母(Vega、Gamma、Vanna、Volga)解析隐含波动率动态。
- SRV模型假设隐含方差服从均值回复平方根过程,LNV模型服从均值回复对数正态过程,均含6个时变参数控制动态特征。
总结与风险提示 [page::15][page::16]
- 本文梳理了隐含波动率曲面主流模型及其理论基础,为后续中国期权市场应用研究奠定基础。
- 模型假设与实际市场存偏差,存在模型失效风险,投资需慎重评估。
深度阅读
隐含波动率曲面模型梳理――衍生品专题报告详尽分析
---
一、元数据与概览
报告标题: 隐含波动率曲面模型梳理――衍生品专题报告
分析师: 祝涛
发布机构: 渤海证券股份有限公司研究所
发布日期: 2020年2月18日
核心主题: 该报告围绕期权隐含波动率曲面模型,系统梳理了该领域主流的建模方法及其理论基础,涵盖随机波动率模型、参数化模型和动态模型,旨在帮助投资者理解波动率曲面的构建与应用,从而更合理地定价期权和管理风险。
主要信息传达:
- 传统BSM模型对波动率恒定且服从正态分布的假设无法解释市场中普遍存在的波动率微笑和偏斜现象,因此隐含波动率曲面模型应运而生。
- 报告对主流的隐含波动率曲面模型进行了详细的分类和剖析,包括随机波动率模型(Heston、SABR)、参数化模型(SVI及扩展等)和动态模型(VGVV、SRV、LNV)。
- 每类模型的数学机制、参数意义以及其对波动率曲面的影响均有系统介绍,并配备了相关图形辅助理解。
- 强调实际应用中模型虽具理论优势,但均存在偏离现实的假设,存在失效风险。
[page::0,3,4,14,16]
---
二、逐节深度解读
2.1 引言与报告背景
报告首先回顾了Black-Scholes-Merton (BSM)模型的基本假设和公式,阐明BSM假设波动率为常数,标的资产价格服从几何布朗运动,尽管该模型奠定期权定价基础,但市场隐含波动率呈现的“微笑”及“偏斜”形态表明这一假设不充分。由此引出存在构建隐含波动率曲面的必要性,主要用于合理报价薄流动性期权、奇异期权定价以及风险管理。
报告引述Derman等和Homescu的分类框架,将隐含波动率曲面模型归入几大类,包括随机波动率模型、参数化模型、基于Levy过程模型、动态变化模型和插值模型,但本文聚焦前三者和动态模型。
[page::3,4]
2.2 随机波动率模型
- 核心观点
波动率实际上具有随机性、均值回复性和波动率聚集性,同时与标的价格呈负相关(杠杆效应),隐含波动率随行权价与期限变化,表现为微笑与期限结构,故波动率非恒定的假设更合理。随机波动率模型把波动率视作随机过程,并考虑与价格过程相关性,实现无套利的隐含波动率曲面建模。
- Heston模型
Heston模型假设资产价格服从几何布朗运动,波动率的方差遵循CIR过程,特点是方差均值回复且波动率自身带有随机性。模型包括五个参数:波动率均值回复速度a、长期均值$\bar V$、波动率方差的波动率$\eta$、两个维纳过程间相关系数$\rho$,其半解析框架通过逆傅里叶变换对期权价格定价,数学表达式详尽揭示了方差均值回复及协方差结构。此模型因数学复杂,主要用于期权定价而非直接构建波动率曲面。
此外,Bates(1996)和Bakshi(1997)先后在其基础上引入随机跳跃及随机利率,提高模型的期权定价性能和对冲效果。
- SABR模型
SABR模型专注于期权隐含波动率的建模,假设远期价格$F$及波动率$\alpha$均为随机过程,伴随参数$\beta$控制价格弹性,$\nu$为波动率本身的波动率,$\rho$为两个随机过程相关系数。四个参数分别调节隐含波动率曲线的位置、偏斜及凸度等形态。Hagan等用奇异摄动法给出近似显式隐含波动率表达式,更适合直接构建波动率曲面。
[page::4,5,6,7,8]
2.3 参数化模型
- 基本介绍
参数化模型通过设计特定函数形式,直接拟合市场隐含波动率曲面。其优点在于实现简单,计算效率高,适合实务应用。
- SVI模型
SVI模型启发于随机波动率模型,假设总隐含方差符合特定五参数函数形式:$w(k)=a+b[\rho(k-m)+\sqrt{(k-m)^2+\sigma^2}]$,其中$k=\ln(K/F)$为价值程度。各参数对应隐含波动率曲线的整体高度(a)、张角(b)、平滑程度(σ)、方向(ρ)和平移(m)。
绘制的图5至图10清晰展示了各参数对隐含方差曲线形态的影响,方便理解和调校。
通过准显示校准技术实现参数优化问题维度简化,提升模型拟合效率。此外,聚合了Gatheral对该模型“无套利”拓展的SVI-JW版本,使参数更具实务解释力,包括平值方差、偏斜程度和左右翼斜率等。
SVI模型的核心优势是兼顾拟合精度与计算简便,且可理论上确保无跨期套利和蝶式套利,解决静态套利问题。
- 其他参数化模型
报告提及多项式模型(Dumas等1996)用于拟合隐含波动率的二次多项式形态,尽管早期应用于石油市场,但存在无法彻底捕捉动态变化和无套利保证不足的缺陷。
基于熵的参数化模型透过最大化Renyi熵提取风险中性概率分布,用于刻画尾部分布但依赖输入价格无套利性。
基于加权位移对数正态分布模型,则在拟合价格的同时保证时间和空间无套利,结合BSM定价与多加权函数组合,具有较好的理论严谨性和实用性。
[page::8,9,10,11,12,13]
2.4 动态模型
该部分介绍的模型侧重隐含波动率曲面本身随时间的动态变化建模,区别于前述基于静态市场价格的参数拟合。
- VGVV模型
Carr和Wu(2010)提出了Vega-Gamma-Vanna-Volga动态模型,通过引入与期权价格相关的四个希腊字母影响隐含波动率曲面走势,结合布朗运动驱动,捕捉隐含波动率与标的价格的联合动态特征。
- SRV和LNV模型
两种基于波动率动态过程假设的模型:
- SRV (Square Root Variance)模型:假设隐含方差服从均值回复的平方根扩散过程,隐含波动率方程为关于标准化价值程度$z$和到期时间$\tau$的二次方程,具有六个时变随机系数描述动态演化。
- LNV (Lognormal Variance)模型: 假设隐含方差服从均值回复的对数正态过程,其隐含波动率满足四次方程形式,参数结构类似,也由六个时变随机系数控制。
两者通过不同的数学假设捕捉波动率的动态均值回复及路径特征,增强波动率曲面动态建模能力。
[page::14,15]
---
三、图表深度解读
3.1 SABR模型参数影响图1-4(页7)
- 图1(参数$\alpha$变化):隐含波动率整体位置随$\alpha$增加而右上移动,显示$\alpha$控制基础波动率水平。
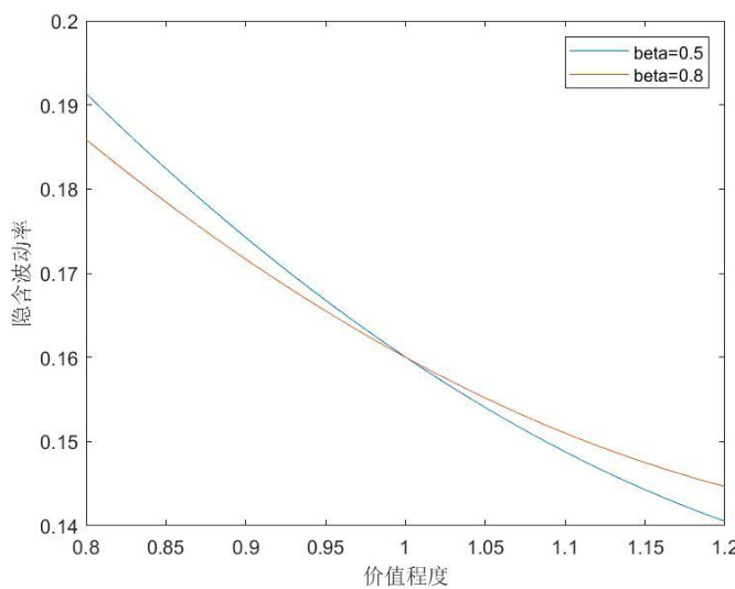
- 图2($\beta$变化):$\beta$调整曲线偏斜形状,较低$\beta$(0.5)其波动率较高价期权更陡峭,反之(0.8)较为平缓。
- 图3($\rho$变化):$\rho$调节曲线整体方向,负相关令曲线高波动率集中于低价值程度区域,正相关则相反。
- 图4($\nu$变化):$\nu$控制曲线的凸度,高$\nu$使曲线更陡峭凸起,表达波动率波动率的强度。
该组图清晰直观展示了SABR各参数对隐含波动率偏斜与笑形的调控机制。




3.2 SVI模型参数影响图5-10(页9-10)
该部分图展示SVI模型五参数对隐含方差曲线的影响:
- 图5:提升$a$参数,曲线整体上移,表示整体方差上升。
- 图6:参数$b$增加,翼部张角变大,即左右渐近线的夹角变大,隐含波动率曲面更陡峭。
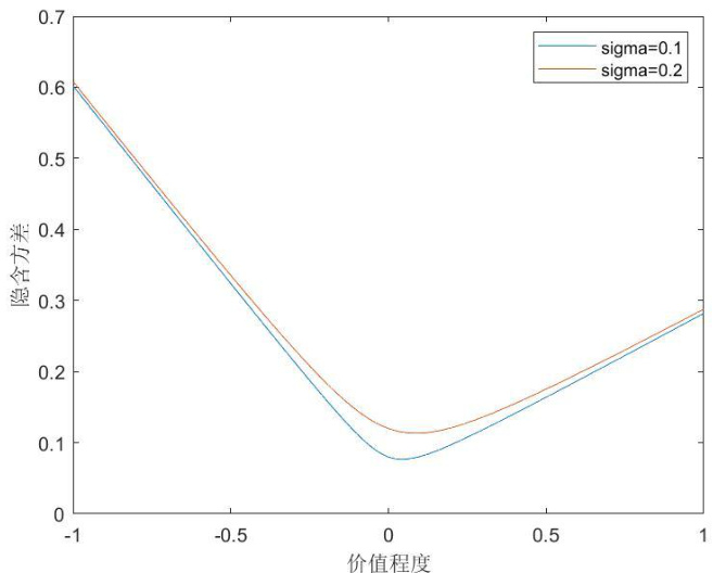
- 图7:$\sigma$增大使曲线顶点平滑,减小剧烈变化。
- 图8:$\rho$调整曲线旋转角度,负值时曲线顺时针转动,正值则逆时针。
- 图9-10:$m$参数控制波动率曲线左右平移,影响曲线中心位置。
该组图结合参数解释,更直观地理解SVI模型如何拟合隐含波动率表面。





---
四、估值分析
该报告重点在于隐含波动率曲面的建模与理解,未涉及具体期权的目标价或直接投资评级,因此传统意义的估值方法(如DCF、市盈率等)未被采纳。
但从期权定价角度来看:
- Heston模型通过半解析逆傅里叶变换计算期权价格,反映随机波动率的影响,相较于BSM更为贴近市场隐含波动率。
- SABR模型通过奇异摄动法得到近似隐含波动率公式,方便对波动率曲面进行准确拟合。
- SVI模型及其扩展则通过参数拟合隐含方差,使得波动率曲面既高效又理论一致,同时满足无套利要求。
动态模型中的SRV/LNV则进一步根据波动率方差的均值回复动态描述隐含波动率的时间演化,增强了长期和短期期权估值的合理性。
整体来看,这些模型各有侧重:Heston和SABR适合理论定价,SVI适合市场拟合与实务应用,动态模型适合风险管理和对冲策略。
[page::5,7,8,10,11,14,15]
---
五、风险因素评估
报告明确指出:
- 各类隐含波动率模型均基于一系列理想化假设,如市场的连续性、无摩擦、风险中性测度下定价、参数稳定等。
- 现实市场中存在波动率跳跃、市场不完美、估计误差等因素,模型参数难以精确捕捉这些复杂行为。
- 参数化模型虽简单易用,但难保障永续无套利,需特别处理蝶式和跨期套利问题。
- 动态模型的六个时变参数跨度广,实际参数估计的稳定性及准确性存在挑战。
- 综合而言,这些模型存在可能因偏离现实假设而“失效”风险;投资者需结合实务调整和风险监控机制。
[page::0,16]
---
六、批判性视角与细微差别
- 理论与市场偏差: 报告虽提供了详尽模型理论基础,但多处暗示现实市场的复杂性难以被单一模型捕获,部分模型如Heston由于数学复杂性限制市场直接应用,参数估计也较为繁琐。
- 参数解释与拟合稳定性: SVI模型参数虽有解释,但仍偏抽象,需经验辅助调校,且拟合过程存在多解风险。
- 动态模型的实用性: SRV和LNV的动态过程提出框架良好,但实际参数识别及模型稳定性不足,报告未展开量化验证,有待关注。
- 风险提示笼统: 虽有风险提示,但针对具体模型的风险缓释措施或参数稳定性分析较少。
- 报告定位清晰: 该报告仍以理论梳理为主,实务应用、模型校准以及中国市场适用性留待未来深入研究。
[page::11,16,15]
---
七、结论性综合
渤海证券研究所的本份报告由资深分析师祝涛主笔,系统梳理了隐含波动率曲面模型领域的理论与实践框架。报告起始于经典BSM模型的局限,深入剖析了三类核心模型体系:
- 随机波动率模型 以Heston和SABR为代表,系统捕捉波动率的随机性及标的价格相关性,建立无套利定价框架,其中Heston适合定价复杂期权,SABR更适合隐含波动率曲面构建。
- 参数化模型 主要是工业界广泛使用的SVI模型及其扩展,通过五参数公式实现隐含方差曲面高效拟合,配备理论保障防止无套利机会,附以多项式、熵最大化和加权分布等辅助模型补充。详细的图示展示了每个参数的具体几何意义,增强理解。
- 动态模型 以Carr-Wu的VGVV方法及其延伸的SRV和LNV模型为核心,通过假设隐含方差动态演化过程,刻画波动率曲面随时间的变动特征,适合对冲和风险管理。
报告对每类模型的数学公式、参数意义及对波动率曲线形态的影响作出了详尽且清晰的技术阐释,并辅以多个图表直观呈现参数变动的效果,方便读者理解隐含波动率的结构。本报告强调,尽管模型理论丰富,实务应用中仍需警惕偏离市场假设带来的失效风险,且各模型间存在设计目标和适用性差异。
整体来看,报告具备较高的系统性和专业性,适合衍生品定价、金融工程及风险管理领域的专业人士深入理解隐含波动率曲面多样模型,提供理论基础和模型选择指引,并为未来在中国期权市场的应用研究奠定了框架。
[page::0-16]
---
附录:重要图表索引
| 图号 | 描述 | 经典页码 |
|---|------------------------------|--------|
| 图1-4 | SABR模型参数$\alpha,\beta,\rho,\nu$对隐含波动率曲线的影响 | 7 |
| 图5-10 | SVI模型五参数$a,b,\sigma,\rho,m$对隐含方差曲线的调节 | 9-10 |
---
(以上分析基于报告原文,并严格遵循报告结构及数据,不包含任何个人投资建议。)