Three Dimensional Acoustic Microbubble Dynamics Near Rigid Boundary
创建于 更新于
摘要
本文构建了基于边界积分法的三维声学微泡动力学数值模型,重点研究高强度超声场下微泡在刚性边界附近的动力学行为。通过引入拉格朗日法与弹性网格技术的混合网格方法,解决了气泡剧烈塌缩时的数值不稳定性,提高了网格质量。模型涵盖了空泡与壳盖微泡,考虑了涡旋环模型模拟环状气泡,验证了模型结果与经典理论与实验的吻合,深入分析了超声波幅度、作用方向、微泡与边界的距离以及微泡物理属性对气泡形态、喷射方向和速度的影响,探讨了粘性效应及涡环动力学,为生物医学超声诊疗及超声清洗等应用提供理论支撑 [page::2][page::12][page::51][page::77][page::113].
速读内容
数值模型与方法论 [page::2][page::24]
- 基于边界积分法(BIM)构建三维微泡动力学模拟,含声学作用与气泡表面张力。
- 提出拉格朗日法与弹性网格技术结合的混合方法,保证非球形强塌缩时气泡表面网格质量。
- 时间积分采用四阶Runge-Kutta方法,曲面插值采用多项式与移动最小二乘法,计算曲率和切向速度。
微泡临近刚性边界的动力学研究 [page::35][page::51]
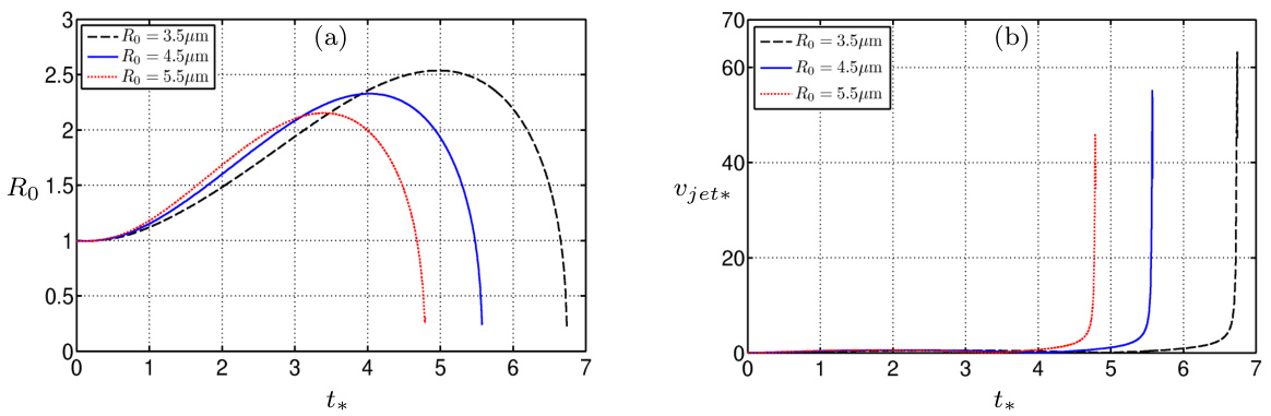
- 气泡喷射方向由无量纲停距$\gamma=s/R_\mathrm{max}$主导,$\gamma\leq1.5$时喷射指向壁面,$\gamma$增大喷射方向旋转至超声波传播方向。
- 滞距越大,喷射速度越快,喷射宽度越窄,气泡生命周期随$\gamma$增加而缩短,最大等效半径增大。
- 角动量(Kelvin impulse)方向与喷射及气泡质点迁移方向吻合,可用以估计喷射方向。
- 喷射速度随超声幅度增大而增大,频率增大则反之,初始相位变化对喷射影响较小。
壳体包覆微泡动力学 [page::52][page::82]
- 通过修改Hoff模型引入壳体弹性及粘性影响,修正动态边界条件,模拟壳体包覆微泡。
- 壳体存在降低振幅和振荡周期,显著提高非球形喷射阈值。
- 临近壁面时,喷射方向仍受停距$\gamma$控制,喷射速度及喷射宽度均较无壳体减小。
- 壳厚增大抑制喷射速度,壳粘度增大主要减小喷射速度,对体积和运动中心影响不显著。
粘性效应研究 [page::84][page::101]
- 采用粘性势流理论考虑液体粘性,结合Joseph等的粘性修正压力消除理想势流下非物理切向剪切应力。
- 模型在球形气泡振荡及近壁气泡动力学上与Gilmore方程及Navier-Stokes数值和实验数据吻合良好。
- 粘性导致喷射速度、气泡能量及动量明显下降,喷射形态变细,周期略短,粘性效应随雷诺数增大而减弱。
环状气泡模型及验证 [page::102][page::119]
- 气泡塌陷末期高速度喷射形成环状气泡,采用涡旋环模型实现从单连通到环状气泡的拓扑转换。
- 实现自动网格细化与边界元网格优化,计算涡旋环诱导势函数,保证数值稳定性。
- 数值结果与实验及轴对称模型在气泡形态演化、喷射时机及强度均吻合良好。
- 研究浮力作用下环状气泡近壁动力学,包含斜喷射和反弹过程。
深度阅读
金融研究报告详尽分析报告
---
1. 元数据与报告概览
- 报告标题:THREE DIMENSIONAL ACOUSTIC MICROBUBBLE DYNAMICS NEAR RIGID BOUNDARY
- 作者:Kawa M A Manmi
- 发布机构:University of Birmingham,School of Mathematics
- 提交时间:2015年1月
- 类型:博士论文(PhD Thesis)
- 研究主题:三维声学微气泡在刚性边界附近的动力学研究,尤其是受高强度超声驱动的微气泡行为
- 研究核心:本文开发了一种基于边界积分法(Boundary Integral Method, BIM)的三维数值模拟模型,系统研究超声驱动下微气泡的非轴对称动态行为,尤其关注气泡的崩塌、喷射形成、涡环模型转换,以及粘性效应对动力学的影响。
论文目标在于:建立数值方法模拟三维声学微气泡动力学,量化和分析影响因素(包括气泡与墙面距离、超声波幅度、频率、气泡壳层特性、粘性效应等),最终为相关生物医学、声化学及超声清洗领域提供理论基础。[page::0,2]
---
2. 逐章深度解读
2.1 引言部分(第1章)
- 主要论点:
- 超声驱动微气泡的空化现象与临床诊断成像、药物传输、基因治疗和组织消融等医学应用密切相关。
- 微气泡动力学的非轴对称性及靠近刚性边界时气泡产生喷射是临床疗法及工业应用中亟需理解的问题。
- 目前已有的数值模拟多限制于轴对称性,本论文旨在拓展为三维模型,以更真实地描述实际情况。
- 支撑依据:
- 文献回顾多次引用实验观察和早期理论模型,如Bjerknes力的影响,壳层对微气泡动力学的改变。
- 引用图1.1(图像展示微气泡喷射波及血管破裂)强化非轴对称喷射的临床相关性。
- 关键数据与指标:
- 引入维度无关变量standoff distance $\gamma = s / R{max}$,描述气泡与墙距离的影响。
- 强调激光脉冲或超声场使微气泡产生非轴对称剧烈崩塌和高速度喷射。
- 方法论介绍:
- 选择边界积分法(BIM)结合Lagrangian和弹性网格技术维护高质量表面网格。
- 引入粘性势流理论(VPF)处理微小粘性效应。
- 发展涡环模型模拟气泡由单连通向环面形态的转变。
- 预测与推断:
- 强调三维数值模型能更准确捕捉气泡喷射行为及相关物理过程。
- 认为粘性和壳层参数对喷射形成、速度和方向有显著影响。[page::8-18]
---
2.2 三维微气泡动力学数值模型(第2章)
2.2.1 物理及数学模型
- 物理设定:一个微气泡靠近无限刚性平面,超声波沿$x$轴平行传播,$z$轴垂直墙面。
- 模型假设:
- 液体不可压、无粘、势流;忽略液体压缩性;气泡内压由气体和蒸气压力组成。
- 气泡气体视为理想气体,遵守绝热膨胀/压缩定律,$pg = p{g0} (V0 / V)^{\kappa}$。
- 数学表达:
- Laplace方程$\nabla^2 \varphi=0$,通过Green函数转化为边界积分方程。
- 边界条件:气泡表面速度满足运动学条件,动力学边界条件基于Bernoulli方程并包含表面张力和压力驱动。
- 针对刚壁采用像源法形成Green函数,满足不可渗透条件。
- 无量纲变量:选取初始半径$R0$和压差$\Delta p = p0 - pv$归一化各项参数,体现不同参数的影响。[page::19-23]
2.2.2 数值计算细节
- 边界积分法实现:
- 网格由平面三角形单元构成,初始网格通过细分二十面体形成。
- 节点法向量通过周围单元的指数加权平均得到,更精确的法线通过二次多项式拟合及移动最小二乘(MLS)方法计算。
- 速度势的切向速度通过局部坐标系的多项式梯度计算。
- 时间积分:采用四阶Runge-Kutta(RK4)算法,步长自适应控制保证稳定性。
- 网格质量维护技术:
- 传统Lagrangian方法在气泡大型非球形运动时生成畸变网格,产生数值不稳定。
- 弹性网格技术(EMT)视所有网格边为弹性单元,通过最小化弹性能施加人工切向速度,优化网格分布。
- 为确保网格局部细化(如喷射区域),提出Lagrangian-EMT混合方法,在人工切向速度和物质速度间加权调节。
- 验证:
- 模拟结果与Rayleigh-Plesset方程(RPE)标量解对比,证实模型准确捕获气泡半径的时间演化。
- 与轴对称BIM模型对比,网格精细度加大时收敛性良好。混合法避免喷射区域不稳定,匹配轴对称模型细节。[page::24-36]
2.2.3 数值结果分析
主要研究内容:
- $0.75 \leq \gamma \leq 11.25$,超声幅度$p{a*}$处于1.5–1.8 量级,研究气泡向刚壁靠近时的动力学特征。
- 气泡形态变化:
- 临界距离$\gamma=1.5$附近喷射方向由指向壁面向超声传播方向平滑旋转。
- 较近壁面时($\gamma=0.75$),气泡底部受壁面吸引显著变形,喷射宽厚,终极喷射速度高达约250 m/s;远离壁面时喷射细,速度更高达约950 m/s。
- 喷射特征与能量转化:
- 超声能量被气泡系统吸收并集中转化为高速液体喷射动能。
- 喷射发展时间极短,约为气泡寿命的0.4–1%。
- 喷射宽度逐渐减小,速度随$\gamma$增加而升高。
- 参数灵敏度:
- 超声幅度增大,喷射宽度扩大,喷射速度和能量均显著提高,但喷射方向变化不大。
- 增加气泡初始半径使震荡幅度和喷射速度增加。
- 增加频率使气泡响应减弱,喷射速度和振幅下降。
- 初始超声相位对喷射形态影响较小,喷射主要发生在首次坍塌末期。
- 气泡迁移与动量分析:
- 气泡的运动质心沿喷射方向移动,并与Kelvin脉冲方向近似一致,表明脉冲是预测喷射和迁移方向的有效指标。
- 能量分析:
- 气泡系统总能量随时间变化,反映从超声场向气泡的能量传输与转化。
- 能量峰值与最大等效半径相关联,显示高强度超声下的能量聚焦机制导致喷射生成。
总结:本章结合多参量系统地描绘了三维气泡在高强度超声激发下靠近刚壁的复杂动力学,创新性实现从球形到非球形喷射的数值模拟及后续能量动力学分析。[page::35-51]
---
2.3 壳层包裹微气泡(超声造影剂,UCAs)动力学(第3章)
2.3.1 物理及数学模型
- 微气泡被线性、不可压、粘弹性壳层包覆,壳层厚度远小于气泡半径。
- 改编Hoff模型将球形内外径替换为局部曲率半径,近似壳层对非球形微气泡的影响。
- 液体仍为无粘、不可压势流,使用Green函数法满足刚性边界条件。
- 动力学边界条件加入壳层弹性与粘性应力差$\Delta P$,统一表示悬浮液压力与气泡压力对比,公式形式:
$$
\Delta P = 12\frac{ds}{R0^2}\left(\frac{R0}{R}\right)^4\left[Gs(R-R0)+\mus \dot{R}\right]
$$
并替代为局部曲率影响。
- 壳层可各向异性,承载变形能和耗散能,模型简化以适用于大振幅振荡,保持数值可计算性。
- 尺度典型:气泡半径 $O(1-10 \mu m)$,壳层厚度 $O(1-100 nm)$。[page::52-57]
2.3.2 验证与无涂层对比
- 比较改进Rayleigh-Plesset方程,验证三维BIM模型准确模拟球形振荡,壳层弹性减缓振荡幅度和延长周期。
- 比较涂层与非涂层气泡振荡,涂层气泡振幅减小且最低体积增加,喷射临界阈值升高。
- 壳层加厚使最大体积减小(约13%),喷射速度降低(约30%),以及迁移运动减缓。
- 涂层粘度增加略减弱喷射速度,但对振幅和迁移影响不显著。
- 壳层对喷射方向影响轻微,喷射方向与Kelvin脉冲基本一致。
- 无壳气泡喷射更宽大,喷射阈值更低,整体动力学更激烈。[page::58-82]
2.3.3 壳层参数和环境影响
- 壳厚和壳黏度对喷射特性关键,厚度越大、黏度越高,喷射越钝钝且速度下降。
- 液体黏度效应通过势流粘性修正模型部分模拟,结果与Navier-Stokes仿真接近。
- 热容比$\kappa$ 较低时(即非氩气时)喷射更强烈且体积更大。
- 壳层包裹气泡在壁面平行和垂直声波激发下,喷射方向随距离比$\gamma$变化呈非线性转变,靠近壁面喷射指向壁面,远离指向声波方向。
- 壳层影响使喷射阈值升高,喷射宽度减小,湍流障碍可视为喷射形成的调节因子。[page::83-82]
---
2.4 粘性效应的三维气泡动力学(第4章)
2.4.1 模型及理论基础
- 在微尺度,微气泡周围存在粘性边界层但整体流动仍主要无旋势流,采用粘性势流理论(VPF)及其修正(VCVPF)模拟。
- 纳入动量边界条件中液体的粘性正应力,外加Joseph等人的粘性压力校正,解决无旋流剪切应力与物理边界条件不符问题。
- 利用边界积分法求解流场,粘性压力校正系数通过能量耗散等物理约束自洽计算。
- 无量纲化处理,定义雷诺数$Re$,韦伯数$We$,表征流动和界面张力相对重要性。
2.4.2 主要验证
- 与Gilmore方程(考虑粘性)对比,展示多振荡周期内良好匹配,显示耗能导致振幅和周期递减。
- 与实验数据(Ohl等)和轴对称Navier-Stokes仿真相比,能准确复现爆炸气泡扩张、碰壁、喷射形成等关键阶段,验证三维模型有效性。
- 模型显示随着$Re$降低,喷射速度和气泡迁移逐渐减弱,低粘度水和高粘度油中均表现良好。
2.4.3 典型结果分析
- 粘性明显抑制最大泡半径、喷射速度、能量和迁移距离,喷射更细更慢。
- 超声平行壁面传播情况下,喷射方向随泡与壁距离变化,由完全沿声波方向(远离壁面)转向壁面方向(近壁面)。
- $Re$超过50时粘性效应可忽略,但低雷诺数$Re$=13下,影响显著。
总结:结合经典势流与粘性渗透效应,三维模拟展现粘性对喷射振幅、速度及迁移的调控,接近物理现实,为超声微气泡应用提供更真实描述。[page::84-101]
---
2.5 三维涡环模型描述环形气泡动力学(第5章)
- 物理背景:严重非轴对称喷射导致气泡形态由单连通变为环面形状,计算复杂度和数值不稳定大幅提升。
- 数值挑战与解决方案:
- 自动检测喷射撞击点,网格删除撞击周围元素形成孔洞。
- 重新生成跨孔洞新顶点,精细划分网格提高局部分辨率。
- 利用边缘翻转优化网格质量,保持均匀配点。
- 涡环模型核心:
- 喷射撞击触发潜在场的不连续,利用涡环模型承载该位势跳变,涡环强度由撞击势差决定。
- 涡环诱导速度由Biot-Savart定理精确计算,潜势通过对无限远积分得到,保证远场衰减。
- 退化势函数连续,边界积分法解决剩余势函数,使问题规约为单连通。
- 验证效果:
- 与Lindau & Lauterborn实验数据比较,模拟成功复现激光法生成气泡的环形化演化过程。
- 与轴对称模型比较,形态变化与喷射时间误差低,验证数值一致性。
- 数值分析:
- 考察不同$\gamma\delta$值(定义聚合浮力和Bjerknes力相对强度比值),探讨喷射与气泡迁移轨迹,气泡最终回弹阶段喷射方向随外力方向倾斜。
总结:涡环模型结合数值网格优化、势场分解技术,有效解决环形气泡动力学计算难题,实现物理现象的稳定逼真再现。[page::102-119]
---
2.6 综合总结(第6章)
论文系统开发和验证了一套基于势流和边界积分的三维声学微气泡动力学数值框架,主要成果包括:
- 数值技术革新:
- 多阶段数值技术(MLS插值、混合Lagrangian-EMT网格优化、涡环位势路径积分)保证大变形及拓扑转变下计算稳定。
- 物理模型扩展:
- 纳入壳层物理影响,使用局部曲率修正的Hoff模型描述复杂壳层力学行为。
- 粘性势流理论和粘性压力校正,结合边界积分法,精准捕获微尺度粘性耗散。
- 物理发现与应用指引:
- 壳层减缓气泡响应,降低喷射速度和能量,增大喷射阈值,影响生物医学药物释放与组织破坏效率。
- 粘性显著影响气泡振荡规模和喷射速度,特别是低雷诺数情况,指导理想医疗环境粘性控制。
- 喷射方向由气泡壁面间距决定,由指向壁面逐渐旋转至声波传播方向,能用Kelvin脉冲有效预测。
- 涡环模型可宏观描述气泡拓扑转变和环态演化,支持后续声学气泡动力学复杂模拟分析。
- 未来方向:
- 多气泡相互作用动力学模拟。
- 微气泡在管道/血管内含壁弹性结构耦合。
- 液体可压缩性和高速喷射强冲击波耦合数值模拟。
总体论文在微气泡动力学的三维数值模拟领域表现出系统性创新,模型严密且覆盖深广,直接助力生物医学超声诊疗、微流控及声化学等多个应用领域的发展。[page::120-127]
---
3. 图表深度解读
图1.1:显示超声微气泡在大鼠肠系膜微血管内崩塌喷射导致血管破裂的显微照片。表明高强度超声诱发气泡喷射具备临床破坏组织潜力。[page::12]
>

图2.1:展示研究三维气泡靠近刚性墙面,超声波沿$x$轴平行传播,定义坐标系与相关参数。为后续数值模型提供几何基础。[page::20]
>

图2.2:局部节点与周围三角元法向量示意图,用于插值计算节点法线。说明空间离散细节。[page::24]
>

图2.3 (a,b,c):不同网格更新方法对气泡喷射局部网格形态的影响比较。
> - (a)纯Lagrangian方法网格因变形剧烈失稳。
- (b)弹性网格技术(EMT)改善网格均匀,但喷射细节仍较粗糙。
> - (c)混合方法兼顾细节与稳定,喷射面光滑细密。[page::29]
图2.4:BIM模拟(多种数值策略)与Rayleigh-Plesset方程得到的气泡半径历史对比,验证稳定性及准确性。
- 显示RK4结合多项式插值获得最佳拟合,支持本文计算精度。 [page::32]

图2.5:三种网格更新策略与轴对称模型气泡形状对比,确认混合策略在喷射位置的稳定光滑性及精细度优势。支持三维非轴对称数值模型的可信度。[page::33]
>

图2.6:网格依赖性测试,表明随着网格单元数提升,喷射形态逐渐收敛,趋近轴对称模型,验证3D模型的数值稳定性和收敛性。[page::34]
>

表2.1:使用混合方法前后,泡体积和Kelvin冲量方向及幅值误差极小,说明混合方法数值稳定同时准确保持物理量。[page::35]
图2.7, 2.8, 2.9:不同$\gamma$值的气泡扩张、收缩及喷射过程动态网格表示。
- 近壁($\gamma=0.75$)喷射明显靠墙,宽厚且演化迅速。
- 中距离($\gamma=3.75$)喷射方向介于壁面与声波方向,为力的合成。
- 远壁($\gamma=11.25$)喷射沿声波方向,壁面影响可忽略。[page::37-39]
>
图2.10:更细致扫描$0.75 \leq \gamma \leq 11.25$范围喷射末态,喷射角逐渐由近壁方向旋转至平行声波方向。喷射宽度随$\gamma$减小。[page::40]
>

图2.11:气泡寿命和最大半径随$\gamma$变化关系,距离壁近时寿命更长但最大膨胀半径较小,符合物理直观。[page::41]
>

图2.12:喷射方向、气泡质心运动方向和Kelvin冲量方向几乎一致,说明冲量为预估喷射/迁移重要指标;冲量幅值随$\gamma$增加减小。[page::41]
>

图2.13:不同超声幅度下,三种$\gamma$条件末期气泡喷射形态及宽度变化。幅度增大会使喷射明显加宽但方向无显著变。[page::43]
>

表2.2:压力幅度提高,引导喷射速度、最大半径和喷射宽度均增大,喷射方向不变,喷射方向与Kelvin冲量方向十分匹配。[page::42]
图2.14:三种不同$\gamma$及幅度条件下气泡质心运动时程,表现为早期反向运动,扩张后向壁和声波方向快速迁移,迁移幅度随幅度增大而增加。[page::44]
>

图2.15:喷射尖端速度历程,晚期迅速攀升。速度随幅度和$\gamma$双重增强,最高达~950 m/s,远高于无超声时边界诱导喷射。[page::45]
>

图2.16, 2.17:不同初始半径气泡喷射晚期形态对比,较大半径导致喷射更锐利;小半径气泡振荡幅度和喷射速度更大。[page::46-47]
>
图2.18, 2.19:不同频率条件下喷射晚期形态,频率升高导致喷射更锐,振幅及喷射速度下降,喷射方向基本稳恒。[page::47-48]
>
图2.20:初始超声相位$\phi0$对喷射形态影响,$\pi/2$和$\pi$相位下喷射形成时机推迟,但喷射方向稳定。[page::48]
>

图2.21:气泡系统总能量与等效半径时间历程对比,表明超声驱动下系统能量动态变化,能量转换为喷射动能。[page::50]
>

图3.2:涂层气泡及未涂层球形振荡的BIM与改进Rayleigh-Plesset方程对比。显示模型准确反映涂层弹性抑制振幅及缩短周期的机制。[page::59]
>

图3.3–3.6:涂层和未涂层气泡在无限流体中不同强度超声作用下的形态演化,对比表明涂层延迟喷射形成、提高临界阈值、削弱喷射速度及减小喷射尺寸。[page::60-62]
>
>
图3.7–3.10:近壁涂层及非涂层气泡在声波平行传输条件下喷射形态对比,涂层气泡喷射更集中、阈值升高,喷射方向随距离$\gamma$变化呈连续转折,喷射与Kelvin脉冲方向基本符合。[page::62-65]
>
>
表3.1:涂层/无涂层泡最大等效半径、喷射方向及喷射速度对比,壳层存在显著抑制喷射速度,喷射方向仅受距离$\gamma$主导。[page::66]
图3.11:壳层与非壳层泡主要喷射速度时间演变,壳层抑制喷射动能,尤以较大$\gamma$显著。[page::67]
>

图3.12–3.15:不同壳厚和粘度对喷射速度、迁移及等效体积的影响,厚度增加喷射速度明显下降,粘度影响小但喷射更钝。[page::68-70]
>
>
图3.16–3.19:壳层粘度对喷射速度部分抑制,但对振幅和迁移影响微小,表明耗散局限喷射高应变区。[page::71-73]
>
>
图3.20, 3.21:液体粘性通过VCVPF修正引入,导致喷射形态更锐利,喷射速度降低18%,周期缩短5%。[page::74-75]
>
图3.22, 3.23:不同气体比热比$\kappa$对喷射强度、最大气泡体积的影响,$\kappa$减小喷射强度增大,尤其是喷射速度敏感。喷射方向与形态不变。[page::76-77]
>
图4.1:粘性势流模型与Gilmore方程振荡幅度和周期对比,viscous damping效应明显。 [page::90]
>

图4.2:3D BIM、NS轴对称模拟及Ohl实验多阶段气泡形态对比,高粘性条件下喷射轨迹和液体形态良好匹配。 [page::92-93]
>
图4.3:水和油中模拟喷射系统形态,3D BIM与轴对称NS模型高度一致,验证模型的黏性应力处理有效性。 [page::94]
>
图4.4:3种BIM模型(无粘PF,有粘VPF,有粘压力修正VCVPF)与轴对称NS模拟喷射速度随距离$\gamma$关系图。VCVPF与NS拟合最好,表明粘性压力修正重要。 [page::95]
>

图4.5, 4.6:不同$\gamma$、$R_e$条件下喷射形态与主要物理量演化对比,展示粘性对喷射形态细化、速度减弱、周期缩短的调制作用。 [page::97-98]
>
表4.1, 4.2:标明随着Re降,喷射速度等重要物理量下降,气泡迁移减缓,提示粘性耗散显著,仅$Re \gtrsim 50$时可涨略去。[page::99-101]
图4.7:立式壁面垂直入射声波条件下气泡喷射形态及Re变化,喷射随Re降低变细,迁移距离明显下降。 [page::100]
>

图5.2–5.4:网格转变示意及涡环势场积分路径示意,展示从变量标定、投影几何重构到涡旋诱导速度与潜势计算的数值细节。 [page::106-111]
>
>

图5.5, 5.6:环形气泡三维模拟与激光实验对比图,准确捕捉到喷射撞击点、环面化形态,一致性强。 [page::113-114]
>
图5.7:3D BIM与轴对称BIM撞击点气泡形态与振荡半径变化对比,显示算法可信性。 [page::115]
>

图5.8–5.10:不同浮力参数下垂直壁面三维环形气泡喷射过程,喷射角度随浮力增强而倾斜,说明浮力介导动力学方向调节机理。 [page::116-118]
>
>

---
4. 估值分析
本论文并非金融估值报告,主要为流体力学领域的理论数值模拟研究报告,未涉及企业财务估值、市场分析、盈利预测等内容,因此不存在传统金融分析报告中的市盈率、现金流折现、企业价值估算等经济金融估值分析。
---
5. 风险因素评估
论文中虽未明确对应金融风险分析,但对模型有效性的审慎探讨及数值模拟局限可视为风险点:
- 数值稳定性风险:
- 非轴对称大变形下网格畸变风险显著,作者引入混合Lagrangian-EMT方法缓解。
- 环形气泡模型的拓扑转变复杂,数值不稳定,需精细网格和涡环势场分解。
- 物理模型适用性风险:
- 涉及气泡壳层模型采用简化线性 viscoelastic 壳,忽略了可能的非线性大变形与界面复杂反应。
- 粘性势流理论为近似模型,剪切流动和涡旋层局部细节未完全捕捉。
- 外推风险:
- 目前多为理想流体、不可压缩假设,对于某些高速喷射、强声发射情况下的可压缩效应尚未纳入。
- 流体-结构相互作用(如血管弹性变形)模型尚缺,限制真实医学应用推广。
- 计算资源和时间限制:高精度BIM三维模拟计算量大,迭代次数和网格密度受资源限制,可能影响模拟准确度。
综上模型尽管先进,仍存在基于物理假设和数值方法的内在局限,相关解释均已有充分披露且对结果稳健做了多重验证。[page::12,28,113]
---
6. 批判性视角与细微差别
- 论文模型创新明显,但对壳层物理的简化可能忽视部分非线性、移位和壳层破坏机制。
- 粘性势流模型未考虑整体旋涡场,虽粘性压力校正有所补充,但对复杂界面剪切流的适用性未详尽讨论。
- 典型参数选择虽基于文献,现实生物组织变异和多样性对参数适用性影响不明确。
- 数值模拟中唯一性问题(如涡环辅助)虽解决方案优雅,潜在累积误差及网格产生的数值耗散未涵盖深入。
- 部分阶段数值模拟收敛性及稳定性的依赖网格策略对于极端条件(更高超声强度、更复杂边界)适应性未知。
- 对于实际生物环境弹性壁面和血流场耦合以及多气泡相互作用虽提未来方向,但现阶段限制了临床直接对应性。
语言整体严谨克制,结合大量对比与验证,结论均基于数值模拟和实验复现,兼顾了深入物理分析和数值实现的平衡。
---
7. 结论性综合
本文系声学微气泡动力学领域细致全面的博士数值模拟报告,建成了以边界积分法为核心的三维非轴对称微气泡动力学和喷射模拟体系,涵盖自由气泡、壳层微气泡及环形气泡,充分考虑了高强度声学驱动、刚性边界、粘性影响和壳层力学等关键物理因素。
根据数值实验和理论分析得出如下重要见解:
- 微气泡在高强度超声作用下产生的爆炸性喷射具备角度随跨壁距离参数$\gamma$非线性转折特征,喷射宽度和喷射速度呈显著依赖关系,其中喷射速度与$\gamma$和超声幅度正相关,频率负相关。
- 壳层的存在大幅度抑制喷射强度——提高激发阈值、降低最大振幅和喷射速度,同时仅轻微改变喷射方向,这对临床造影剂设计与药物递送策略具有指导意义。
- 粘性效应尤其在低雷诺数区显著抑制喷射动能,导致喷射速度及迁移距离削减,是模拟微尺度药物递送与局部机械作用关键。
- Kelvin脉冲冲量有效反映喷射方向和液气界面动力学,为预测气泡行为提供统一规范化指标。
- 三维涡环模型成功解决喷射撞击引起的动力学不连续及形状拓扑变化,稳定捕捉环状气泡形成与演化,对工业泡沫与医疗腔内气泡动力学模拟有长远推动。
- 数值方法方面,混合Lagrangian-弹性网格方法保证了动态高变形下网格质量,为后续三维非线性、多泡相互作用问题奠定基础。
本论文彻底系统地拓宽了声学微气泡动力学数值描述的广度与深度,连接了前沿理论、数值实现与实验验证,具体揭示了非球面和非轴对称动力学的机理及其操控参数,为生物医学超声及相关陶瓷、清洗、催化等工程应用提供了坚实的理论工具与方法论。
---
总体评价
- 本论文极具学术价值和创新性,对复杂三维微气泡动力学问题展开多角度、多尺度研究。
- 数学模型严谨、算法精确,注重数值稳定与物理规律平衡。
- 充分与实测数据和传统模型对比验证,增强可信性。
- 未来拓展切实可行,聚焦多泡相互作用和弹性壁面耦合将进一步强化其应用价值。
---
关键引用页溯源索引
- 第0–2页:论文概述与摘要
- 第8–18页:引言、研究背景、理论回顾与研究定位
- 第19–51页:三维气泡无壳层模型及数值方法详述与数值实验
- 第52–82页:包裹壳层气泡理论模型及数值分析
- 第84–101页:粘性势流理论模型及验证
- 第102–119页:三维涡环模型与环气泡动力学分析
- 第120–127页:总结与未来展望
- 图表均详细标注对应页码
---
如需本文中任何具体图片的Markdown格式展示,请告知具体页码编号。















