股指期货市场现状及交易策略
创建于 更新于
摘要
报告分析了股指期货市场的监管政策变化、市场规模和流动性演进,重点讨论了分红因素对期货基差的影响及其修正方法,介绍了市场主要参与者及其策略,重点展现了Alpha策略(市场中性策略)的构建与回测表现,公募和私募对冲产品的发展及资产配置,并详细阐述了多头套保(指数增强)等量化策略和套利交易机会。基于隔夜收益、买卖订单不平衡度、收盘折溢价等多因子构建了多条高夏普比率的量化日内交易策略,辅以短期动量和周内效应择时策略,实证其稳定盈利能力,为未来股指期货的量化交易提供了实用框架和方法论支撑 [page::3][page::16][page::18][page::20][page::39][page::41][page::42][page::49][page::50][page::53][page::54].
速读内容
监管政策演变与市场流动性演变 [page::2][page::3][page::4]
- 2015年中金所实施严格监管,限制日内开仓手数及保证金比例,导致股指期货成交量和持仓量出现断崖式下滑。
- 2017年以来监管趋于宽松,市场持仓回升但成交量仍未恢复至2015年高位水平。
- 2020年初主力合约IF、IH、IC日均成交分别为11.31、4.17和13.45万手,持仓分别为14.29、6.41和18.77万手。


分红与基差关系及修正方法 [page::8][page::9][page::10][page::11][page::12]
- 指数成分股现金分红导致股指期货出现贴水,分红点指数反映累计分红情况。
- 通过分红时点和金额预测,修正分红导致的基差,以期准确计算对冲成本。
- 2020年6月数据表明IH和IF合约受分红影响较大,分红修正基差显著减少负基差幅度。


Alpha策略及回测表现 [page::16][page::17][page::18][page::19][page::20][page::21]
- Alpha策略即市场中性策略,构建股票多头组合并配以股指期货空头对冲系统性风险。
- 股票多头组合基于多因子(风格、行为、财务、预期、行业)预期收益进行优化。
- 回测显示沪深300Alpha策略对冲月度和季度合约年化收益率约为7%,剔除深度贴水期后收益率提升至8.6%,夏普比率超过1.7。



公募及私募对冲产品 [page::22][page::23][page::24][page::25]
- 公募对冲产品自2013年起发展,2015年及2019年后规模明显回升,2020Q1行业规模334亿元。
- 公募对冲产品年化收益率约4%,夏普比率1.44,2019年累计收益7.13%。
- 私募对冲广泛应用机器学习、择时等策略,市场中性策略指数年化收益6%,夏普1.5。


多头套保与指数增强策略 [page::26]
- 指数增强基金利用股指期货贴水套利,期货保证金机制降低资金占用。
- 2020Q1共有27只基金持有股指期货多头,市值占基金净值10%以内。

套利策略及日历效应 [page::27][page::28][page::29]
- 期现套利受限于负基差条件,跨期套利依据期货价差的均值回归展开。
- 跨品种套利中,春节后多500空50及多IC空IH策略均表现显著的正收益,胜率超过80%。4月下半月多50空500及多IH空IC策略同样有效。


基于日内收益特征的隔夜交易策略 [page::31][page::33][page::34][page::35][page::36][page::37][page::38][page::39][page::40][page::41][page::42]
- 股指期货表现出显著的隔夜正收益,日内高点出现在上午10点左右,下午开盘后恢复负收益,存在交易时间段效应。
- 核心因子包括收盘价折溢价、买卖单不平衡度、基差变化率,均表现出显著的正收益和较高胜率。
- 三因子复合策略(折溢价、买卖单不平衡、基差变化率)年化收益达22%,夏普比率2.6,交易频率适中,实现稳健盈利。隔夜策略年化14.28%,夏普2.21。






基于短期动量和日历效应的周内择时策略 [page::44][page::46][page::49][page::50][page::51][page::52][page::53]
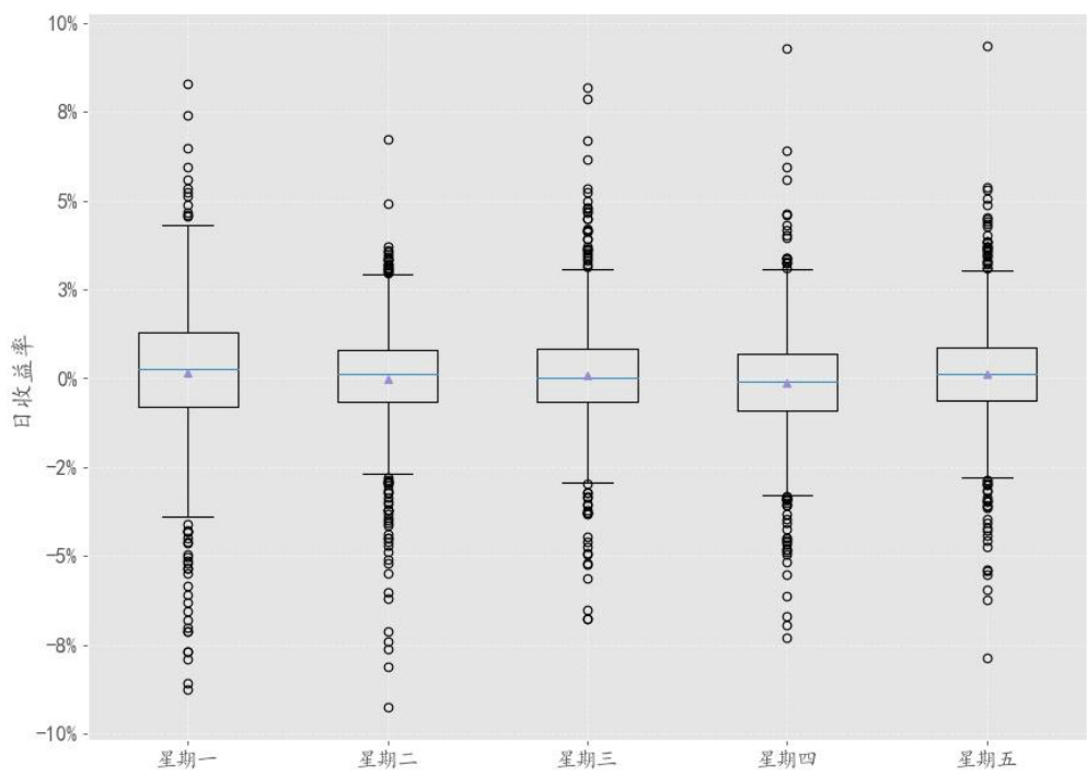
- 沪深300指数表现出周一正收益显著、周四负收益显著的周内效应。
- 按市场涨跌状态区分,牛市周一效应显著为正,下跌市周一效应显著为负。
- 构建周内多日综合择时策略显著提升收益,动量信号优于均线信号,多空收益率可达20%以上,夏普比率超1以上。
- 股指期货实证显示择时策略收益率长期优于基准,最大回撤明显缩小。





深度阅读
《股指期货市场现状及交易策略》详尽分析报告
---
1. 元数据与报告概览
- 报告标题:《股指期货市场现状及交易策略》
- 作者与发布机构: 海通证券研究所金融工程部,分析师冯佳睿、姚石
- 发布日期: 2020年6月23日
- 研究主题: 关注中国股指期货市场的发展现状、监管政策变动、市场流动性、基差及分红影响,以及股指期货的多种交易策略探索和实证分析。
- 核心论点:
- 监管政策历经严厉管控后逐步放松,市场流动性有所回升但未回到高峰。
- 分红因素对股指期货基差影响显著,须对分红时点与金额进行准确预测。
- 市场参与者包括套保者、套利者和投机者,他们驱动了不同策略的运用。
- 交易策略包括Alpha策略、指数增强、套利(期现、跨期、跨品种)及短期趋势与日历效应策略,均经过实证回测验证,显示出不同程度的收益与风险特征。
总体来看,报告系统而科学地梳理了中国股指期货市场历史脉络、微观结构、政策影响和多元交易策略,且以详实数据和实例支撑,为投资者提供策略参考和市场理解框架[page::0-1].
---
2. 逐节深度解读
2.1 股指期货监管政策变化
报告以详尽时间表回顾了2015年至2019年间中国金融期货交易所对股指期货的多项监管政策调整,包括日内单向开仓限制、保证金比例调整和平今仓手续费标准调整等,体现了监管对市场投机行为的限制与逐步放松的路径,特别是在2015年7-9月严厉阶段和2017年以后逐渐宽松的转变。
- 例如,2015年9月7日,将非套保持仓保证金比例由30%提高到40%,同时大幅限制日内开仓手数至10手,体现出管控流动性和风险的强化措施。
- 2017年2月、9月和2018年底,陆续调整保证金比例与日内限仓手数,逐渐释放流动性。
- 至2019年4月,日内开仓限制大幅提高至500手,手续费也大幅下降,市场环境明显宽松。
这些政策影响了市场参与者的交易行为和市场流动性,为后文市场规模和策略表现奠定监管基础[page::2].
2.2 股指期货市场规模和流动性
- 报告用图表和数据展示了沪深300股指期货自上市以来的成交量和持仓量变化趋势。2010年至2015年7月呈上升趋势,监管加强后出现断崖式下滑,2017年后随监管放松,持仓恢复正常但成交量仍显不足。

- 2020年上半年日均成交量与持仓数据显示,IF合约成交11.31万手,持仓14.29万手;IH和IC合约活动亦持续增长,反映市场活跃度回暖。


- 表格详细统计了不同时间段这些合约的成交与持仓情况,尤其突出2015年调控前的高成交量和持仓,以及调控后几乎归零,直到2017年及以后逐渐恢复,2020年再次增长的态势。
IF合约2015年4月至9月间日均成交量高达180.8万手,远高于之后最低点1.74万手的流动性收缩期,复苏期间则回升至10.5万手以上[page::3-5].
2.3 股指期货微观流动性
微观流动性指标包括平均买一卖一相对价差和委托量,反映了市场深度和交易摩擦。
- IF、IH合约微观价差均较低(0.019%-0.027%),表明流动性较好;IC合约相对价差偏高(0.028%),流动性相对较弱。
- 委托量日均值显示IF流动性较好(约2.48手),IH(2.09手)和IC(1.98手)稍逊。



- 此部分反映市场微观结构的改善趋势,流动性明显提升,降低了交易成本,有利于多种交易策略的执行[page::6].
2.4 股指期货基差变化
- 2018年以来三大股指期货(IF、IH、IC)大多时间处于负基差状态,即期货价格低于现货指数价格,基差的变化受分红预期、市场波动等影响显著。
- 2019年底基差负值收敛,2020年疫情冲击导致负基差再次扩大。



- 负基差状态体现出期货价格打折出售,常对应市场悲观预期或较高的对冲、套利成本,对投资者构成策略上的挑战[page::7].
2.5 及 2.6 指数分红预测与分红修正基差
- 指数期货基差受成分股分红影响显著,因期货合约未对现金分红做修正,故期货价格含贴水。
- 报告详述了预测分红时点及金额的方法,包括股东大会公告日、分红实施公告日、股权登记日等平均时间间隔。
- 分红影响通过股息点指数展现,展示成分股累积分红对指数的影响轨迹。

- 分红修正基差表明,主力期货合约尤其是5-7月间分红对基差有较大修正作用,IF和IH基差修正幅度较大。

- 年化对冲成本考察显示IH期货对冲能带来正收益(-1.1%年化对冲成本),而IF和IC存在一定成本,市场对对冲策略的收益性和实用性提供了量化证明。


- 指数分红因素成为期货投资和套保策略设计不可或缺的基础考量[page::8-13].
2.7 股指期货市场参与者与交易策略
- 市场参与者结构分明:
- 套保者: 包括多头和空头套期保值,例如多头买入期货实现指数增强,空头卖出期货构建Alpha策略。
- 套利者: 涉及期现套利、跨期套利、跨品种套利。
- 投机者: 进行CTAs、趋势跟踪、日内交易等方向性策略。

- Alpha策略详解: 通过股票多头组合选股(风格、行为、财务、预期、行业因子),加以风险管理和权重优化,结合股指期货空头对冲,获得市场中性收益。


- Alpha策略回测表现良好,沪深300及中证500增强策略超额收益显著,收益波动适中,信息比率较高,2010-2020年均有持续的超额回报。

- 对冲策略通过月初调仓再平衡,结合当月与季月合约期货,实现较为稳定的年化收益(6%-8%),但经历了2015年股指期货深度贴水引发的回撤。

- 公募对冲基金经历了2013年起步,2015年规模高峰,2016-18年监管收紧增长放缓,2019年后规模快速恢复,规模最高时超330亿元。

- 私募对冲产品策略更丰富,含高频、机器学习等,收益波动率均高于公募,对市场追踪灵活性强。

- 指数增强基金利用股指期货多头策略做多贴水标的,借助保证金机制节省资金,2020年Q1相关持仓占比逐渐提升,其中IF份额最大,占86%[page::15-26].
2.8 套利策略(期现套利、跨期套利和跨品种套利)
- 期现套利: 基于考虑手续费、无风险利率及分红的无套利区间,期货价格偏离区间时实施套利,受负基差影响套利难度加大。
- 跨期套利: 利用不同交割月份合约价差的均值回复特征,策略依据价差的历史均值和标准差设计开仓和平仓规则。
- 跨品种套利及日历效应:
- 春节后买入中证500卖空上证50,5日、10日持有平均收益率分别为3.37%、5.17%,且胜率极高;
- 2016年以来,A股市场体现做多IC卖空IH同类套利机会。


- 4月下半月亦存类似的跨品种套利机会,如多做IH空IC。


- 这些套利基础均为均值回复,统计数据支撑在多年份和不同市场状态下保持较好稳定性[page::27-29].
2.9 短期趋势及日内交易策略
- 股指期货和对应指数均表现出日内收益特征:
- 隔夜收益为正;
- 上午10点左右收益达到高峰;
- 下午开盘后5分钟收益为负;
- 指数收盘前15分钟长时间强劲上涨,超过期货。


- 日内收益在不同股指期货合约(IF、IH、IC)均有类似区间收益变化,隔夜走强,上午增长,下午盘初反弹后回落。



- 报告基于收盘折溢价、买卖单不平衡度、基差变化率等因子设计多头与多空策略,均表现出正收益,且多头策略表现优于多空策略。
- 三因子复合策略(收盘价低于结算价、买卖单不平衡度买多、基差下降中的任两条件满足即做多)年化收益22%以上,夏普2.69,回撤低,交易频率适中,实用性较强。


- 隔夜交易策略,使用14:55之后的成交数据生成交易信号,收盘前开仓,次日10点平仓,扣除交易成本后,年化收益14.28%,夏普2.21,回撤约3.7%。

- 趋势策略基于市场的短期动量和日历效应构建交易信号,利用周内效应和市场状态分层分析,进一步优化择时策略[page::30-43].
2.10 周内效应与指数择时策略
- 统计期内(2005-2020年)沪深300显示明显周一涨幅正向效应(均值0.17%、上涨概率58%),周四为负向效应,且牛熊市表现明显不同。
- 牛市周一涨幅显著高(0.61%平均涨幅),熊市周一表现反转为负(-0.35%),说明市场情绪对周内效应影响显著。


- 依据信号设计周一策略、周二三策略及复合策略,结合市场上涨或下跌状态制定买入卖出规则,回测表现表明复合策略能提供最高收益和较高的夏普比率。
- 股票和股指期货市场均验证了该策略,尤其动量信号优于均线信号,年化收益率可达15%-36%,峰度与波动率有差异,但整体有效。



- 交易成本、节假日调整纳入回测,保证了策略的实用参考价值[page::44-53].
---
3. 图表深度解读(精选)
- 监管政策时间线表(第2页):详细罗列了近5年内重要监管动作,体现出监管手段的严宽转换及频繁调整对市场活跃度的直接影响。
- 成交与持仓变化曲线图(第3-4页):
- 显示股指期货在监管从严后成交量骤降,后续逐步恢复,反映监管趋势与市场流动性的动态关系。
- 分别从成交量、持仓量角度定量描述市场复苏态势,证明监管政策放松对流动性改善效果明显。
- 微观流动性图(第6页):
- 两组指标揭示流动性细节,较低的买卖价差和相对稳健的委托量证实市场深度回升,支撑交易策略的执行效率。
- 分红点指数图(第8页)及分红程式相关图(10-11页):
- 反映指数分红的累积效应,图形如阶梯状累积分红,帮助理解期指贴水产生的机制及时点。
- 基差及修正后基差走势图(第7、12页):
- 基差负向延续,修正之后差异明显,特别是重要分红月份,直观呈现了分红因素对股指期货的价格影响。
- Alpha策略及增强策略净值图(第18-20页):
- 强化股票多头组合与股指期货对冲的策略回报显著优于基准指数,且优化组合风险控制表现优良。
- 套利跨品种相关收益率柱状和累积收益图(第28-29页):
- 直观展现春节后及4月下半月两个不同时段的买多卖空组合表现及收益稳定性,验证了套利机会的历史有效性。
- 日内收益分布及基差变化图(第31-34页):
- 详细揭示日内收益峰谷所属时间段,隔夜收益贡献较大,日内表现复杂,基差日内变化与交易者行为紧密关联。
- 多因子策略及隔夜策略净值及收益风险表(第36-42页):
- 多因子因子构造结合涨跌价差和订单流动方向,有效捕捉市场短期异动,策略年化收益达20%以上,风险控制优良。
- 周内效应及指数择时表现(第44-53页):
- 数据表明周一效应为正且显著,复合策略结合市场状态精细择时,大幅提升收益和回撤控制,指数和期货均得以验证。
整体图表分析呈现数据的内部一致性和逻辑完整性,辅以统计显著性检验、风险指标和市场状态区分,确保研究结论科学且有实用性。
---
4. 估值分析
本报告未直接涉及公司股价估值,估值方法主要体现在交易成本测算、对冲策略的隐含收益率以及对策略收益的风险调整(如夏普比率、Calmar比率等),通过这些指标来采访策略的“价值”,辅助投资者择时和配置选择。
---
5. 风险因素评估
- 因子失效风险: 交易策略高度依赖于统计因子,市场结构变动或政策干预可能导致历史因子失效。
- 模型假设风险: 如基差均值回复、分红预测准确度等均基于历史数据,未来可能产生偏差。
- 流动性风险: 尤其是在极端行情下,流动性骤降可能导致策略无法顺利执行或成本大幅增加。
- 历史规律稳定性风险: 周内效应、日历效应和套利机会的延续性不可保证,回撤风险存在。
- 政策风险: 股指期货交易受监管政策影响显著,可能随时收紧限制,影响市场表现。
- 报告未详细提出风险缓解措施,但通过多因子、复合策略等分散风险隐含缓解意图[page::54-55].
---
6. 批判性视角与细微差别
- 报告立足公开数据与实证方法,结构严谨,逻辑清晰。
- 然而,所有策略均基于历史数据回测,未充分探讨宏观环境突发变动和极端事件对策略的影响,建议投资者结合实时风险管理。
- 策略多集中于短期收益与日内交易,可能忽视持仓成本、交易滑点等微观市场摩擦的动态变化对长期效益的影响。
- 分红预测依赖公布的数据和模型,分红变化的非预期性可能使基差修正出现误差。
- 股指期货“负基差收敛”等重要市场状态分析较为简略,建议加强对市场情绪、资金流入、机构行为的深入剖析。
- 对套利策略的复杂度和实操难度未充分展开,可进一步评估策略因交易成本及执行难度带来的实际收益损耗。
---
7. 结论性综合
该报告系统呈现了中国股指期货市场的监管变迁、流动性演化、市场结构与参与者画像,并深入分析了基差的形成机制,特别是分红因素对期货价格的核心影响。通过详实数据和图表,报告证实了市场随着监管放松而逐步回暖,但成交量仍未恢复至此前高峰水平。
在交易策略方面,报告从Alpha对冲策略、指数增强、多种套利机会、短期趋势与日内交易、周内效应择时等多维度展开精细实证分析:
- Alpha策略通过优质股票多头与股指期货空头对冲获得稳定超额收益;
- 指数增强基金积极配置极具吸引力的贴水期货品种,实现资金效率最大化;
- 套利策略涵盖期现套利、跨期均值回复及跨品种套利,基于大量历史数据展现良好胜率;
- 日内及隔夜交易策略利用成交量、价格乃至盘口买卖单不平衡度因子,有效捕获短期收益机会,年化收益率超过20%,风险指标优异;
- 周内效应研究揭示明显的交易节奏和市场状态影响,构建的指数择时策略表现突出,尤其动量信号表现更优。
以上研究结合市场供需、监管规则及实证经济,形成了一套较为完整的股指期货交易决策框架,既关注基础面因素也兼顾市场微观结构和投资者行为,为市场参与者提供了丰富的策略工具和实际指导。
报告风险提示明确指出因子失效、模型假设错误、流动性风险以及历史规律不代表未来的潜在限制,态度谨慎而客观,体现了研究的严谨性。
总之,《股指期货市场现状及交易策略》报告全面详实,数据充分,战略指导明确,尤其在量化策略回测和微观结构把握方面尤为突出,对投资机构和专业投资者具有较高的参考价值[page::54-57].
---
参考图片示例(部分)
沪深300股指期货上市以来成交持仓情况[page::3]:

股指期货分红修正基差走势(IF合约)[page::12]:

复合策略1净值(IF)[page::39]:

股指期货隔夜策略净值(IF)[page::42]:

沪深300指数周内效应箱线图(按均线划分市场状态)[page::46]:

股指期货择时策略(动量信号)净值(IF)[page::53]:

---
以上为报告的全方位系统解析,覆盖了政策背景、市场结构、基差机制、核心因子构建、交易策略设计及实证表现,融合多角度深入研判,具备较强的专业性和指导性。