Deformation of semi-circle law for the correlated time series and Phase transition
创建于 更新于
摘要
本文研究了由带有时间相关性的时间序列构建的Wigner随机矩阵的特征值分布,发现其偏离经典半圆定律,形成一种具有更长尾部和更高峰值的变形半圆分布。文章通过计算矩分布,揭示指数衰减与幂衰减相关性的影响,特别是在幂衰减情况下存在相变现象,第四阶矩和最大特征值从有限变为无限。此外,基于25个金融时间序列的实证分析,验证了时间序列相关性是导致分布偏离半圆定律的主要原因,利用有限尺寸标度分析揭示了相变的临界指数,丰富了随机矩阵理论对金融时间序列的应用 [page::0][page::1][page::6][page::8][page::11][page::13]
速读内容
研究背景与目标 [page::0][page::1]
- Wigner随机矩阵在无相关性时遵循半圆定律,本文探讨带有时间相关性的序列导致的偏离现象。
- 重点分析时间序列的指数衰减和幂衰减两种相关性对特征值分布形态的影响,包括第四阶矩和峰度变化。
理论模型与矩计算 [page::2][page::3][page::4][page::5][page::6]
- 构造带时间相关性的对称Wigner矩阵,时间序列长度为$T = N^2$。
- 计算特征值分布的矩,二阶矩恒为1,与相关性无关;四阶矩由相关性决定,且单调增加。
- 指数衰减相关性$r$情形下有明确矩表达式,四阶、六阶矩均有限。
- 幂衰减相关性$1/(i+1)^\gamma$导致相变:当$\gamma>1/2$时,四阶矩有限;$\gamma \leq 1/2$时,四阶矩发散呈无限大。
金融数据实证分析 [page::6][page::7][page::8][page::9]
- 以25组包含加密资产、外汇、大宗商品、股票指数等金融时间序列为样本,构造相应Wigner矩阵。
- 通过数值模拟,与正常i.i.d.序列的半圆律矩范围对比,发现部分外汇及加密资产显著偏离半圆定律。
- 以序列最短滞后相关性解释偏离,相关性的贡献指标高达100%以上。
- 图1展示部分外汇序列特征值分布明显高峰并超长尾,不符合半圆律;非外汇序列则近似半圆律。

变形半圆定律数值模拟与分布特性 [page::8][page::10][page::11]
- 数值模拟验证指数衰减和分数布朗运动(fBm)两类相关性下,特征值分布偏离半圆律,表现出长尾和高峰。
- fBm对应的幂衰减相关性,Hurst指数$H$与幂指数$\gamma$满足关系$\gamma=2-2H$,相变临界点$Hc=3/4$。
- 图2给出不同参数下分布形态,$H$过大或过小区域明显偏离半圆律,$H=1/2$(普通布朗运动)符合半圆律。

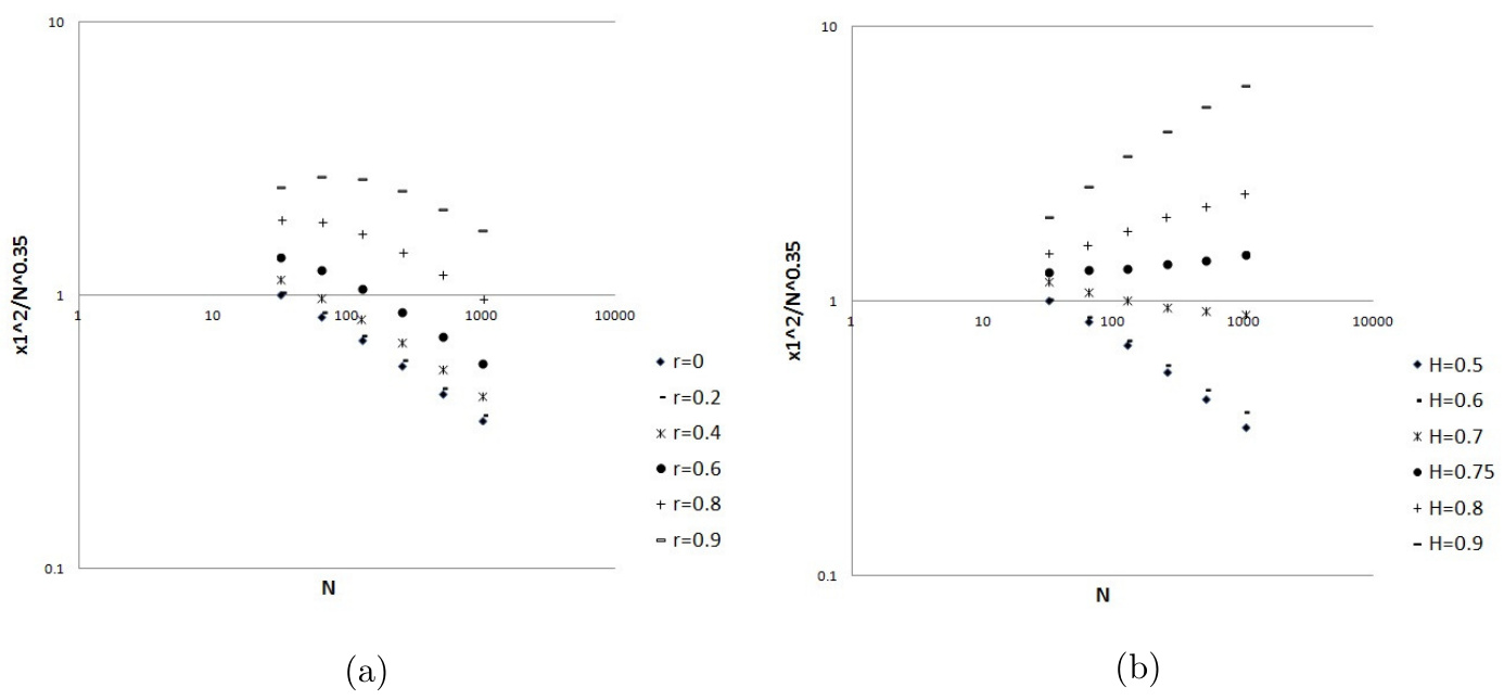
相变的有限尺寸标度分析与临界指数估计 [page::11][page::12][page::13]
- 提出相变指标为缩放后的最大特征值平方:$m = x
- 对幂衰减相关性,通过标度假设得到临界指数$\beta=1$,相关长度指数$\nu$约为1.54,明显不同于Marcenko-Pastur分布情形。
- 图3展示了标度曲线的良好重合,验证理论正确性。

结论与未来方向 [page::13][page::14]
- 时间序列的时间相关性扭曲经典半圆律,产生变形半圆分布,且在幂衰减相关性下发生相变。
- 临界行为通过最大特征值与矩的发散性体现,相关指数与随机矩阵对称性相关。
- 未来研究将探讨金融时间序列的胖尾效应及其对特征值分布的影响。

深度阅读
深度分析报告:《Deformation of semi-circle law for the correlated time series and Phase transition》
---
1. 元数据与概览
- 标题:《Deformation of semi-circle law for the correlated time series and Phase transition》
- 作者:Masato Hisakado(野村控股株式会社)、Takuya Kaneko(国际基督教大学)
- 发布时间:2025年8月12日
- 研究主题:探究带有时间序列相关性的Wigner随机矩阵的特征值分布,揭示其半圆定律的变形及相变现象,特别关注金融时间序列中的应用。
核心论点:
本报告研究了带有时间相关性的Wigner随机矩阵的特征值分布,发现时间序列的相关性会导致经典的半圆定律发生退化,产生形态上类似于Wigner-Lévy矩阵的“变形半圆定律”,该分布表现为比标准半圆更长的尾巴和更高的峰值。此外,报告探讨了此类变形分布的矩及其相应的相变现象,特别是在幂律衰减相关性的条件下,出现有限与无限高阶矩的临界点。报告结合金融时间序列进行实证与测试,发现外汇等时序数据明显背离经典半圆分布,此现象主要由时间相关性引发。
---
2. 逐节深度解读
I. 引言(Introduction)
关键论点
- 随机矩阵理论(Random Matrix Theory, RMT)在多个领域(物理、数学、金融等)有广泛应用,尤其在金融中用来区分信号与噪声。
- 先前研究中,如果时间序列变量独立(无相关),样本协方差矩阵(Wishart矩阵)的特征值分布收敛于Marchenko-Pastur分布(MPD)。存在时间相关后,分布退化为变形MPD,且具有长尾和高峰。
- 本文将这种思路扩展至Wigner随机矩阵,考察时间相关性对半圆定律的影响,发现类似变形现象,并引入了相变的概念,基于幂律衰减相关性的强弱,决定矩的有限性与否。
推理依据
- 时间相关性通过指数衰减和幂律衰减两种形式建模,通过高阶矩计算揭示分布性质变化。
- 特别在幂律衰减相关中,出现临界指数$\gammac = 1/2$,控制是否存在有限的四阶矩及最大特征值。
---
II. 时间序列与Wigner矩阵构造(Temporal correlation and Random matrix)
关键论点
- 将金融时间序列中归一化的回报率$r
- 时间序列的相关性由$T \times T$矩阵$D{T-1}$表达,元素$dt$定义为时距$t$上的协方差。
- 构造的Wigner矩阵$S$为$N \times N$,其中元素由时间序列按规则折叠填充,截取为对称矩阵。
- $N$较大时,序列间相关性矩阵具带状结构,$di = 0$当滞后$i \geq N$。
推理依据
- 上述设置确保Wigner矩阵符合时间相关性建模,通过矩阵的协方差结构反映序列中的依赖关系。
- 后续分析基于矩阵的特征值分布以及矩阵元素相关性的影响。
---
III. 变形半圆定律的收敛(Convergence to deformed semi-circle law)
关键论点
- 计算矩阵$S$的谱分布的矩,特别计算了二阶矩$\mu2$和四阶矩$\mu4$。
- $\mu2$恒等于1,不受相关性的影响,反映标准半圆定律的基本性质。
- 四阶矩$\mu
- 这说明带相关性的谱分布相比标准半圆更为“肥尾”且中心峰值更高。
- 当四阶矩有限时,最大特征值有限,否则趋于无穷。
- 六阶矩$\mu6$同样有与相关性相关项,且更依赖于较高次方的相关系数。
理论解释
- 这里的矩计算是在$N \to \infty$极限下推导,假设相关性衰减保证高阶矩有意义。
- 公式中四阶矩从经典半圆的2上升,且相关子项均为正,体现了相关性对特征值分布的“扭曲”效应。
---
IV. 指数衰减情况分析(Exponential decay case)
关键论点
- 对常见的指数衰减相关性$di = r^i$,推导了显式的四阶矩及六阶矩表达式,例如:
$$
\mu4 = 2 + \frac{4}{3} \frac{r^2}{1 - r^2}, \quad \mu6 = 5 + 8 \frac{r^2}{1-r^2} + \frac{8}{3} \frac{r^4}{(1-r^2)^2}
$$
- 当$r < 1$时,所有矩均有限,分布保持稳定。
- 增大$r$使得高阶矩增加,分布表现出更明显的变形特点。
逻辑分析
- 指数衰减构成了一种典型的短期记忆模型,保证序列的相关性随时间快速减少。
- 由矩的形式可知,相关性越强,分布尾巴越厚,峰值越凹陷。
---
V. 幂律衰减情况与相变(Power decay case)
关键论点
- 幂律衰减相关定义为$d
- 当$\gamma > 1/2$时,四阶矩$\mu4$及六阶矩$\mu6$有限,且具体数值通过积分近似给出。
- 当$\gamma \leq 1/2$时,四阶矩发散至无穷,意味着具有极端的峰值和长尾特征,最大特征值趋无穷大。
- 这表明存在一个相变临界点,将有限矩阶段和无限矩阶段区分开,类似物理上的相变概念。
分析解读
- 相变点$\gammac = 1/2$对应相关性强度的临界阈值。
- 该相变对理解含有长期记忆的金融时间序列的特征具有重要意义。
---
VI. 金融数据的应用及实证分析(Application to financial data)
关键论点
- 应用构造方法分析了25个金融时间序列(加密资产、外汇、商品、债券与股指)的Wigner矩阵特征值分布。
- 通过Monte Carlo模拟正态独立同分布(i.i.d.)的5%分位点,检验每组数据对标准半圆分布的适配情况。
- 结果显示大部分非外汇类资产的矩分布符合半圆定律预期,部分外汇如USD/CHF、USD/CAD、EUR/CHF、EUR/GBP等显著偏离,呈现更高峰值和粗厚尾巴。
- 该偏离与这些时间序列的短时滞相关系数(负相关)密切关联。
- 通过特定贡献式量化了最短滞后相关对四阶、六阶矩的贡献(例如BTC/USD对四阶矩贡献655%),支撑时间相关性对变形半圆分布形成的解释。
---
VII. 数值模拟验证(Numerical simulations)
关键论点
- 利用数值实验验证了理论推导中的矩表达式与分布形态。
- 当相关性参数$r$较大时,观察到类似于变形半圆的峰值升高和尾部加长,且总体均值保持不变。
- 存在对应误差随$N$增大而减小趋势。
- 通过多次重复模拟确认了理论预测的收敛性和准确性。
---
VIII. 分数布朗运动(Fractional Brownian Motion, fBm)情形
关键论点
- 将时序相关性的幂律指数$\gamma$与fBm的Hurst指数$H$联系,上述关系为$2 - 2H = \gamma$。
- 临界点对应$Hc = 3/4$。
- 通过数值模拟展示了在$H < Hc$和$H > Hc$两侧,分布形态明显不同。
- $H=1/2$时复现经典半圆分布(布朗运动无记忆)。
- $H > Hc$时,观察到明显的“相变”,表现为分布主峰外出现若干大特征值峰。
---
IX. 相变性质研究(Phase transition)
关键论点
- 引入有限尺寸尺度分析(finite size scaling),定义尺度函数:
$$
\frac{x1^2}{N^{1 + \gamma / \nu}} = f(N^{1/\nu} t), \quad t = \frac{H - Hc}{Hc}
$$
- 数据拟合得出临界指数$\beta = 1$,与MPD相变相一致,但关联长度指数$\nu$不同(此研究中为$1/0.65$,MPD为$1/0.75$),归因于矩阵对称性的差异。
- 通过图表(图3和图4)证实了相变的尺度不变性和特征值行为的临界性质。
- 该相变表明,最大特征值的增长行为从有限跳跃至无穷,进而影响谱分布形态。
---
X. 结论性总结(Concluding Remarks)
- 本文系统阐述了带有时间相关性的时间序列生成的Wigner矩阵特征值分布的变形半圆律现象。
- 通过理论推导和数值模拟,确认随着时间相关性的增强,谱分布出现峰值上升与尾部加长的变形。
- 特别是在幂律相关的情况下,存在相变临界点,控制矩的有限性与特征值极端性。
- 该理论对应于金融时间序列中观察到的特征,尤其外汇数据偏离经典无记忆假设。
- 相变行为用尺度理论描述,临界指数得到估计,体现了与MPD不同的矩阵对称性影响。
- 未来工作包括更深入理论公式验证与非高斯长尾特性对模型的影响研究。
---
3. 重要图表及表格解析
图1(第8页)
- 描述:展示6个金融时序Wigner矩阵特征值分布直方图,与标准半圆律对比。
- 解读:
- 其中(a)-(c)(外汇数据:USD/CHF,USD/CAD,EUR/CHF)分布中央峰值显著高于半圆律,并且特征值分布的支持有明显延伸。
- (d)-(f)(非外汇数据:WTI, XAU, VIX)分布则较好贴合半圆律。
- 联系文本:
- 图表充分展示了金融数据尤其外汇中存在时间相关导致的偏离现象。
- 说明文本中提到的时间序列相关性对谱分布形态的深远影响。

---
图2(第11页)
- 描述:分离展示指数相关(a)和fBm相关(b)时间序列生成的Wigner矩阵的特征值分布。
- 解读:
- (a) 随$r$从0.4到0.9增加,谱分布由接近半圆律变为明显峰高且尾部肥厚。
- (b) 对于fBm,$H$接近0.1和0.9均表现出峰高和尾厚,$H$约0.5时接近经典半圆律。
- 联系文本:
- 支持理论中指数与幂律相关性导致谱分布变形,以及相变阈值对应Hurst指数的关系。

---
图3(第13页)
- 描述:fBm情景下的有限尺寸尺度分析,横轴为$N^{0.65}|t|$,纵轴为$x1 N^{-0.35}$,展示不同$N$的谱数据落在统一曲线。
- 解读:
- 验证了相变具有尺度不变性,数据点集中表明星形临界行为。
- 斜率近似为1,支持临界指数$\beta=1$的理论预测。
- 联系文本:
- 该图形象地验证了功率衰减相关性下的相变性质。

---
图4(第14页)
- 描述:指数衰减和fBm两类相关性的Wigner矩阵最大特征值规模随矩阵大小变化的对数图。
- 解读:
- (a) 指数相关中,随着$N$增加,归一化最大特征值趋于0,表明峰值有限。
- (b) fBm中,不同$H$展示两种趋势,小于临界$Hc$时类似于(a),大于$Hc$时最大特征值显著增长趋向无限。
- 联系文本:
- 图示进一步确认了相变临界性质,最大特征值的行为可作为相变序参量。

---
表格I (第7页)
- 内容:模拟正态i.i.d.样本中不同矩阵规模$N$下,矩的5%和95%分位点,构建差异显著范围。
- 解读:
- 用于对比金融时间序列矩计算结果,确定是否显著偏离无记忆假设。
---
表格II (第9页)
- 内容:25个金融资产的Wigner矩阵的2阶、4阶、6阶矩与时间序列的最短滞后相关系数。
- 解读:
- 多数非外汇资产矩近似半圆定律理论值($\mu2=1$, $\mu4=2$, $\mu6=5$)。
- 具有明显时间相关的外汇资产矩分别超出理论预期,特别是4阶和6阶矩显著高于标准半圆的上限,匹配时间相关性强的特性。
---
表格III & IV (第10页)
- 内容:
- III表展示哪些数据在4阶或6阶矩测试中拒绝正态i.i.d.的假设。
- IV表量化短时滞相关对4阶及6阶矩的贡献比例(百分比)。
- 解析:
- 高贡献值直接表明短时滞相关是矩偏离的主因,支持时间相关引起半圆律变形的结论。
---
4. 估值分析
本报告主要属于随机矩阵理论和时间序列统计分布领域的数学物理研究,涉及对谱分布及其矩值的理论计算和数值验证,不涉及公司财务估值或股权价格评估,因此无传统意义上的估值分析。
---
5. 风险因素评估
尽管报告没有像金融投资报告那样明确定义风险因子,但隐含的风险或挑战包括:
- 模型假设限制:时序数据是否严格符合幂律或指数衰减相关模型,实际金融数据的复杂性可能超出模型简化假设。
- 数据大小和质量:$N$取大极限时结论成立,现实数据规模有限,模型拟合及矩测算可能受样本量限制影响。
- 非高斯特性未充分考虑:虽然未来工作计划关注带有肥尾(Lévy型)随机变量的模型,目前工作主要基于相关结构,非高阶尾部效应风险尚未定量化。
- 相变临界估计误差:临界指数$\nu$及$\beta$的估计基于数值拟合,误差和泛化能力尚需进一步理论和经验验证。
报告对风险并无具体缓解策略,但结构化数值模拟与多数据集验证起到部分风险控制作用。
---
6. 批判性视角与细微差别
- 优势
- 报告理论与实证结合,兼顾数学推导与金融数据应用,分析全面细致。
- 引入相变视角为金融时间序列分析提供了新颖角度。
- 充分考虑了不同类型相关结构对谱分布的影响,细化了矩阵谱分析理论。
- 潜在局限
- 时间序列模型较为理想化,实际金融市场存在多种非线性、跳跃、异方差等特征未显式考虑,模型的实际适用范围可能受限。
- 对于非对称矩阵随机过程或非高斯长尾分布的影响,报告仅做简短说明,理论缺乏深入发展。
- 数值模拟中巨大矩阵规模带来的计算复杂性是否限制了算法的实际运用,未作详细讨论。
- 报告对金融时间序列产生的变形半圆律与传统金融风险度量工具的结合角度欠缺,未展开进一步经济解释或策略分析。
---
7. 结论性综合
本论文系统研究了带有时间相关性的Wigner随机矩阵特征值谱的变形行为,尤其在金融时间序列数据下的表现。其核心贡献主要体现在:
- 发现了时间序列相关性导致的半圆定律变形现象,表现在特征值分布更高的峰和更长的尾巴,且这种变形可以通过序列的相关系数及其衰减形式来定量描述。
- 推导并验证了矩的表达式,尤其是四阶和六阶矩的明确定量公式,为理解谱分布特征提供了理论工具。
- 揭示了幂律衰减相关性下的相变现象,在临界衰减指数$\gamma_c = 1/2$处,谱分布从有限矩阶段过渡到无限矩阶段,最大特征值表现出从有限至无限的剧烈变动。该相变具有明确的尺度不变性和临界指数。
- 实证分析表明,实际金融数据,尤其外汇市场数据,明显体现了时间相关性的影响,且不符合经典独立同分布假设,对应矩的显著偏离,证实理论的实际意义。
- 通过数值模拟确认了理论推导的准确性,且模拟结果能够再现相变及分布形态的变动规律。
- 图表如图1-4直观地呈现不同资产、不同相关参数下谱分布的形态变化,助力对理论的理解和现实的应用对接。
总体而言,本文拓展了随机矩阵理论在金融数学与时间序列分析中的应用视角,尤其为分析具有时间相关性(包括长期记忆特征)的复杂金融数据提供了强有力的数学框架,并成功将理论性能与数值实证结合,为未来进一步推广复杂非高斯时序矩阵分析奠定了基础。[page::0,1,2,3,4,5,6,7,8,9,10,11,12,13,14,15]
---
以上内容力求详尽解构报告的所有重要理论、数据、推理及结果,涵盖全文重点与细节,能为理解该文献提供全面且精准的支撑。

