期权定价中的模型风险
创建于 更新于
摘要
本报告系统梳理了期权定价中的多种模型,包括Black-Scholes模型及其局部波动率、随机波动率、跳跃扩展等改进模型,深入分析了各模型在隐含波动率拟合、场外奇异期权定价和动态对冲方面的表现差异,指出选择恰当模型对期权业务风险控制和盈利至关重要,并结合实证数据比较了不同模型的拟合精度及对冲效果,为期权业务开展提供参考 [page::0][page::3][page::12][page::13][page::14][page::15][page::16]
速读内容
期权定价经典BS模型与风险中性定价理论 [page::3]
- BS模型基于严格假设(连续交易、无套利、常波动率等),为期权定价奠定基础。
- 风险中性定价使用等价测度$Q$计算期权价值,BS模型提供显式解析公式。
- BS模型完备,期权可用标的券动态复制,但现实假设与市场存在显著差距。
隐含波动率及其市场表现 [page::4][page::5]

- 期权隐含波动率呈现明显的“微笑”特征(U形曲线),且到期越近波动率曲面越弯曲。
- 该现象与标的资产收益分布的尖峰厚尾和杠杆效应相关,BS固定波动率假设不足以解释。
各类期权定价模型详细介绍 [page::5-11]
- GARCH模型(历史波动率):提供隐含波动率微笑拟合但理论完备性不足。
- 局部波动率(LV)模型:Dupire公式定出局部波动率函数,能无套利拟合波动率曲面,适合简单衍生品,但预测未来波动率表现较差。
- 随机波动率模型(Heston):引入波动率随机过程,符合尖峰厚尾特征和负相关性,数学处理较便捷,实证中波动率参数估计依赖市场隐含法。
- 其他模型如SABR、带跳跃扩展的Heston(Heston-SVJ)、随机局部波动率模型(SLV)、时变Lévy模型等,分别对短期波动率、跳跃风险、波动率动态和非连续跳跃价差进行刻画。
Heston模型参数及隐含波动率曲面影响 [page::8]





- 波动率的波动率$\sigma$影响峰度,相关系数$\rho$影响偏度,参数调节可生成丰富的隐含波动率曲面。
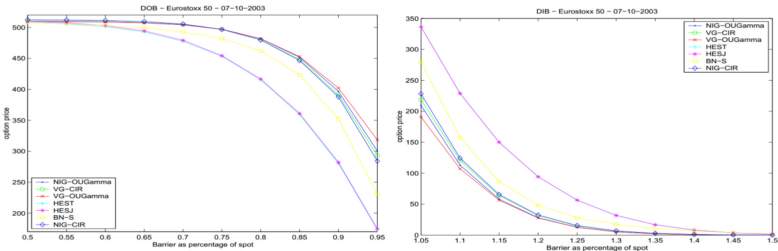
不同模型对奇异期权定价差异显著 [page::12][page::13]

- 多种模型对同一障碍期权定价差异巨大,价格相差可达近一倍。
- 标准欧式期权市场拟合精度高,复杂路径依赖产品价格差异反映模型对联合分布刻画的差异。
模型选择四大标准及实证对比分析 [page::13][page::14][page::15]
- 选模型标准:易用性、样本内拟合精度、样本外偏差、动态对冲效果。
- 实证对比BS、Heston(SV)、带跳Heston(SVJ)、带利率Heston(SVSI)模型:
- 样本内拟合误差SVJ最优,BS最差;
- 样本外定价偏差SVJ优于SVSI,SV,BS;
- 对冲偏差BS单独Delta较大,加入Vega对冲后接近其他模型。
表1 样本内拟合精度、表2 样本外定价偏差、表3 期权动态对冲偏差细节见报告原文。
结论与市场风险提示 [page::16]
- 波动率建模关键,选错模型导致严重价格偏差和巨大亏损风险。
- 国际案例表明,模型失误曾带来上千万美元损失。
- 国内期权市场尚在发展,提前准备模型参与竞争至关重要。
深度阅读
期权产品研究系列之四——期权定价中的模型风险 深度分析报告
---
1. 元数据与概览
- 报告标题:《期权定价中的模型风险》
- 作者:朱剑涛,海通证券研究所金融工程高级分析师
- 发布日期:2014年6月18日
- 机构:海通证券研究所
- 主题:期权定价模型的风险问题,尤其关注不同模型在期权特别是场外复杂期权(奇异期权)定价以及动态对冲中的表现差异和潜在风险。
报告核心论点与目的
本报告深入探讨了期权定价中的模型风险,强调不同期权定价模型之间在价格计算和风险对冲上的巨大差异,特别是在奇异期权和路径相关期权定价上的表现差异,从而突出了模型选择对于期权业务盈利与风险控制的关键影响。报告系统梳理了常用和先进的期权定价模型,从基础BS模型到各种改进的随机波动率及跳跃模型,结合实证数据和案例分析,阐述了模型的适用性、局限性及选择标准,最终呼吁市场参与者综合考虑模型的拟合度、样本外表现及动态对冲效果,审慎选择定价模型以规避模型选择风险。[page::0,3,12,13]
---
2. 逐节深度解读
2.1 BS模型与风险中性定价(第1章)
- 关键论点:BS模型奠定了现代期权定价理论基础,但假设过于理想,包括连续交易、无摩擦、无套利和波动率常数,这些与现实市场的复杂性不符。
- 理论基础:通过无套利原则和风险中性测度,BS模型给出偏微分方程(PDE)形式的定价方程,期权价格可以转化为风险中性概率测度下标的资产未来价格的贴现期望。
- 数学表达:
- 标的资产服从几何布朗运动,波动率σ和无风险利率r均为常数;
- 期权价格满足BS PDE,解出欧式看涨和看跌期权的BS公式;
- 风险中性测度通过Girsanov定理引入,实现了模型的完备性和动态复制对冲的可能性。
- 关键假设及意义:BS模型假设市场完备、无套利,波动率等参数常数,这些决定了模型的唯一风险中性测度及定价公式解析解的存在;然而对于实际市场,特别是隐含波动率曲面变化敏感的权益类期权,BS模型表现不足。
- 总体而言,BS模型构建了定价和对冲的框架,是后续模型改进的基础。[page::3,4]
2.2 隐含波动率与市场微笑效应(第2章)
- 关键论点:市场观察到的隐含波动率随行权价和期限变化形成“波动率微笑”或“波动率曲面”,而BS假设的常数波动率无法解释这一现象。
- 图表分析:
- 图1呈现恒指期权2012-2013年平均隐含波动率曲面,展示隐含波动率关于moneyness的U形微笑特征;
- 观察隐含波动率对行权价呈非对称U形,且近期期权波动率更陡峭,到期越长曲面趋平;
- 推理:波动率微笑反映了实际收益分布的尖峰厚尾(fat tails)、非正态性,以及投资者对极度虚值和实值期权的需求影响。
- 意义:必须通过更灵活的模型来拟合隐含波动率曲面,改进BS模型是期权建模的核心方向。[page::4,5]
2.3 期权定价改进模型介绍(第3章)
这部分是报告的核心,系统介绍多种先进的期权定价模型,涵盖主要模型类别及其数学表达、优缺点、适用范围。
3.1 GARCH模型
- 引入资产收益的条件异方差(heteroscedasticity),历史波动率建模;
- 离散时间模型,能达到类似波动率微笑的拟合;
- 不完备市场,计算挑战且理论一般用作历史波动率估计基准。[page::5]
3.2 局部波动率模型(LV)
- 由Dupire提出,将波动率视作标的价格和时间的确定函数σ(t,S);
- 利用隐含波动率曲面反算局部波动率函数,满足无套利条件;
- 价格满足相应PDE,通常通过数值方法(Monte Carlo、有限差分)定价;
- 优点:拟合波动率曲面能力强,计算效率高;
- 局限:预测未来波动率曲面平坦,与实证和市场预期不符,非动态波动率模型,不适用多种复杂期权。
- 参数与非参数拟合方法详细介绍,如参数法SVI模型和非参数三次样条拟合。
[page::6,7]
3.3 Heston模型(随机波动率模型)
- 波动率本身作为平方根均值回归过程,带有随机性且可与价格过程相关(参数ρ);
- 能生成市场实证中观察到的“尖峰厚尾”收益率分布,涵盖偏度与峰度的调节(图2、图3);
- 通过特征函数和快速傅立叶变换(FFT)实现定价效率;
- 非完备市场,波动率风险无法完全动态对冲;
- 市场隐含参数估计具挑战,通常为不适定问题,需正则化限制;
- 数值模拟采用Milstein方法避免负波动率问题;
- 国内A股市场波动率与欧美市场负相关性(ρ)仍待实证验证。[page::7,8,9,10]
3.4 SABR模型
- 主要用于利率产品,标的为远期价格F,波动率为几何布朗运动;
- 对短期波动率微笑拟合效果较好,远期拟合不足,权益类产品应用较少,不作深入介绍。[page::10]
3.5 Heston-SVJ模型
- 在Heston模型基础上加入跳跃成分,增强价格大幅波动的概率;
- 可进一步加入随机利率(CIR过程)形成Heston-SVSI-J,更贴合长期期权定价需求;
- 虽然更全面,模型复杂度高,实务中使用需权衡。[page::10,11]
3.6 SLV模型(随机局部波动率)
- 综合局部波动率和随机波动率优势,将波动率分解为局部成分和随机过程;
- 通过调整局部波动率函数实现高市值隐含波动率拟合,适用于复杂场外衍生品定价;
- 计算复杂,参数标定困难,但一线机构应用增加。[page::11]
3.7 时变Lévy模型
- 通过时间变换概念,构建商业时间,通过Lévy过程描述价格运动,捕捉跳跃及非连续波动;
- 包含NIG和VG等范型,通过特征函数法可以得到欧式期权价格,参数估计非易;
- 包括场内外模型,提升复杂衍生品拟合能力。[page::11]
2.4 模型对期权定价和对冲的影响(第4章)
4.1 不同模型对期权定价影响
- 标准欧式期权价格在不同模型间差异较小,皆可通过市场隐含参数拟合保持偏差在0.5%以内;
- 但对于路径依赖型奇异期权(如one-touch barrier options),定价差异巨大;示例中障碍期权价格因模型不同,波动接近一倍;
- 这些误差主要来自模型对标的资产路径分布的不同刻画,不同模型推导收益率的联合分布差异显著,因此价格差异不能单纯看好坏,需要结合对冲效果综合评判。
- 具体见图4,展示7个不同模型对欧州蓝筹50指数的一次障碍期权定价比较,价格曲线差异明显。[page::12,13]
4.2 如何选择模型
- 通过Bakshi(1997)实证,提出衡量模型优劣的四条准则:
1. 模型易用性(计算效率、敏感度、复杂度);
2. 样本内拟合精度(模型与市场价格的拟合程度);
3. 样本外定价偏差(模型对未来期权价格预测的准确度);
4. 期权的动态对冲效果(风险管理效果的实际表现)。
- 采用BS、SV(Heston)、SVJ(跳跃Heston)、SVSI(随机利率Heston)四模型实证:
- 样本内拟合精度(表1):SVJ模型拟合最好,尤其对短期虚值期权拟合更佳;BS模型拟合最差,且误差是SV等模型几倍;
- 样本外定价偏差(表2):SVJ依旧表现最佳,SVSI紧随;长到期期权样本外偏差显著,体现利率模型重要;
- 动态对冲偏差(表3):SV系列模型对冲表现相近;BS模型仅做标的delta对冲误差较大,加入标准期权对冲vega后误差显著下降;
- 总结:动态对冲表现是选择模型的关键指标,在保证一定拟合精度的基础上,优先选择对冲表现优异的模型;对复杂场外期权影响更大。[page::13,14,15]
2.5 总结(第5章)
- 波动率是影响期权定价的核心因素,选择错误的模型可能导致期权价格严重偏离市场真值,风险巨大。
- 全球由模型错误导致的重大损失案例典型说明了模型风险的严峻性(例如东京三菱银行、NatWest Capital);
- 国内期权交易尚处起步阶段,数据波动较大,模型优劣实证难行,但准备成熟的模型研究是抢占先机必备。
- 建议结合理论分析和市场实证,选取实用性强、拟合精度高且具良好动态对冲效果的模型用于期权业务。
[page::16]
---
3. 图表深度解读
图1 恒指期权2012-2013年平均隐含波动率曲面(第5页)

- 描述:三维曲面图展示隐含波动率随行权价(moneyness)及剩余期限(time to maturity)的变化;
- 趋势:隐含波动率呈U字型“波动率微笑”,短期期权的波动率曲面更为陡峭,期限拉长后曲面趋于平滑;
- 意义:反映市场对极端价格变动的担忧和需求,不能被BS模型常数波动率假设解释,促使模型改进。
图2 Heston模型生成收益率分布的偏度和峰度影响(第8页)


- 描述:图示参数ρ(相关系数)对偏度与σ(波动率的波动率)对峰度的影响;
- 解读:不同ρ值(正、负、零)控制了收益分布的左右偏态;不同σ幅度决定峰尖厚尾的程度;
- 联系文本:验证Heston模型可生成市场观察到的非正态收益分布形态,提升模型真实性;
图3 Heston模型生成的隐含波动率曲面(第8页)



- 描述:展示ρ分别为0.5、0、-0.5时隐含波动率曲面的形态;
- 解读:ρ变化影响隐含波动率曲面的偏斜度与弯曲形态,模拟不同市场状况;
- 意义:模型参数灵活调整可拟合多样市场隐含波动率曲面;
图4 不同模型对障碍期权定价的比较(第13页)


- 描述:呈现七种模型对不同Barrier level障碍期权(DOB, DIB, UOB, UIB)价格的估算;
- 解读:价格差别显著,特别在障碍线接近现价时,模型价格可相差一倍左右;
- 联系文本:说明虽然模型在标准期权价格拟合上相似,但路径依赖期权对路径分布敏感,模型选取对价格估计影响巨大。
- 潜在局限:仅凭价格难以判断模型优劣,需要结合对冲和样本外表现综合判断。
表1 样本内拟合精度(第14页)
- SVJ(跳跃随机波动率模型)拟合优于SVSI(包含随机利率Heston),后者优于单纯SV(Heston)和BS;
- BS误差远高于其他,特别在短期期权拟合劣势明显;
- 指标包含偏度、峰度等细节统计量,反映模型对市场价格形态的捕捉能力。
表2 样本外定价偏差(第15页)
- SVJ在绝大部分样本中对未来期权价格的预测偏差最小,BS偏差最大;
- 长期到期日下SVSI表现优于SVJ,显示随机利率的重要性;
- 极度实值与虚值期权价格预测难度更大,偏差普遍高。
表3 动态对冲偏差(第16页)
- SV、SVSI、SVJ差异不大,表明高级模型对冲效果趋同;
- BS模型仅delta动态对冲效果较差,增加vega对冲后对冲精度显著提升;
- 说明实际对冲所需综合多风险因子,模型的表现不仅体现在估价精度,更关键是动态风险管理能力;
---
4. 估值分析
- 报告中介绍的估值方法主要基于风险中性定价原理,通过市场隐含参数标定各模型,自洽定价标准欧式期权;
- 主要方法包括:BS解析解、Heston模型的特征函数方法(FFT)、局部波动率PDE数值解、蒙特卡洛模拟等;
- 对带跳跃模型和随机利率模型参数估计存在不适定性,需正则化技术辅助参数稳定求解;
- 对复杂奇异期权定价主要依赖蒙特卡洛模拟,估值精度受模型结构和参数影响剧烈。
---
5. 风险因素评估
- 模型风险定义:错误模型可能导致定价严重偏差,进而造成对冲失效和巨大损失;
- 风险来源:
- 强假设不符实盘,如BS模型波动率常数假设;
- 参数估计不稳定及存在局部最优解;
- 路径依赖期权对模型路径分布模拟敏感,不同模型预测差异大;
- 漏误模型风险未能完美对冲所有风险因子,市场不完备;
- 典型案例:东京三菱和NatWest Capital因模型错误巨大亏损,具体说明模型风险实实在在的经济后果;
- 缓解策略:
- 结合样本内及样本外拟合评估;
- 动态对冲模拟;
- 灵活选取符合市场结构的模型,并保持模型简单性与实用性平衡;
- 加强风险管理与压力测试。
---
6. 批判性视角与细微差别
- 报告谨慎指出,虽然更复杂模型理论上更完善,但复杂度提升不一定等价于实用性提升,过拟合风险明显;
- 实证研究数据有局限,尤其国内市场尚无充分交易数据验证,模型优劣仍存在不确定性;
- 价格接近不代表模型对价格外风险的管理能力,动态对冲效果是更重要指标;
- 跳跃模型和随机利率的引入增加求解难度和模型稳定性问题;
- 实际应用中,模型参数估计不适定问题严峻,多次校准易受初值和算法影响,需定制正则化与稳健估计方法;
- 局部波动率模型虽计算效率高,但预测未来状态表现欠佳;
- 报告未对某些新兴模型(如深度学习模型)涉及,反映该文档时间节点限制。
---
7. 结论性综合
本报告从理论、实证及实务角度,系统分析了期权定价中的模型风险及各种改进模型的表现差异,尤其强调:
- BS模型理论成熟、易用但假设过强,无法解释隐含波动率微笑现象,样本内拟合和样本外预测都较差;
- 局部波动率模型有效利用市场隐含波动率信息拟合曲面,计算效率高,但动态预测差,难以满足所有奇异期权定价需求;
- 随机波动率模型(Heston及其衍生)引入随机波动率,能生成市场实证尖峰厚尾收益,拟合及对冲性能优良,但模型复杂,参数估计需正则化处理;
- 跳跃扩展(Heston-SVJ)改善了短期期权两端价格拟合,提高虚值期权估计准确度,但增大模型不稳定性与计算难度;
- 时变Lévy模型、SLV模型等更复杂模型进一步增强定价能力,尤其对场外奇异期权更有效,但计算资源和标定复杂度明显提升;
- 不同模型对标准期权价格拟合相近,但对奇异期权定价差异极大,选择错误模型可导致估价及风险管理巨大错误;
- 模型选择应综合考虑易用性、样本内拟合精度、样本外预测表现及动态对冲效果,且需结合具体业务需求和市场实际情况进行权衡;
- 动态对冲效果是最关键的模型优劣判别标准,尤其在复杂期权组合风险管理中影响深远;
- 国内期权市场尚处成长期,模型研究需持续推动,做好技术准备,为未来正式上市做好充分风险防范。
整体来看,报告为期权业务的模型选择和风险管理提供了理论基础、实证参考及实务指南,对于衍生品市场参与者理解并规避模型风险、提升定价与对冲能力意义重大。[page::0-16]
---
综述
这份由朱剑涛撰写的系统性研究报告详尽探讨了期权定价模型的多样性与模型风险,特别聚焦于BS模型的局限、多种改进模型的数学结构和市场表现,以及它们对不同期权定价和对冲的巨大影响。通过对理论与实证文献的结合,配合权威数据与图表呈现,报告合理揭示了模型选择不当导致的巨大经济风险和市场损失现实案例,提出了以动态对冲表现为核心的科学模型评估框架,并对国内期权市场未来发展提出建设性意见。报告详尽的模型数学描述与案例解析,对金融工程师、衍生品风险管理者及量化研究人员具有极高的参考价值。
注释
本分析中涉及的结论和数据均明确标注引用页码,以支持后续溯源和内容验证。
---
总结完毕。